Todo
Apuntes
Ejercicios
Exámenes
publication
chevron_left
chevron_right

🔥CURSO CÁLCULO I 🔥

En moodlelaomegadefran tienes la única academia 100% online: ✅ Clases grabadas para ver cuando quieras, donde quieras (¡y las veces que quieras!) ✅ Toda la teoria ✅ Ejercicios resueltos paso a paso ✅ Exámenes explicados al detalle 📌 Mira precios y descuentos aquí 👉 moodlelaomegadefran.com 💬 Escríbenos por Instagram o WhatsApp: @laomegadefran / +34 661 116 626

💡GARANTÍA DE APROBADO💡

👉 Accede a TODO el contenido que compres hasta que apruebes. 📌 Sin caducidad, sin límite de tiempo y sin prisas. En moodlelaomegadefran tienes la única academia 100% online que te da TODO lo que necesitas: ✅ Clases grabadas para ver cuando quieras (¡y las veces que quieras!) ✅ Toda la teoria ✅ Ejercicios resueltos paso a paso ✅ Exámenes explicados al detalle ✅ Laboratorios guiados Y además… si invitas a un amigo, ¡os *descontamos 20 €* a cada uno! 🤝 📌 Mira precios y descuentos aquí 👉 moodlelaomegadefran.com 💬 Escríbenos por Instagram o WhatsApp: @laomegadefran / +34 611 726 622 / +34 661 116 626

apuntes

-

APUNTES COMPLETOS CÁLCULO I

Apuntes Completos con Ejemplos!

T1-FUNCIONES-REALES-DE-VARIABLES-REALES.pdf
T2-INTEGRALES.pdf
T3-ECUACIONES-DIFERENCIALES.pdf
T4-SUCESIONES-Y-SERIES-DE-NUMEROS.pdf
T5-SERIES-DE-POTENCIAS.pdf

apuntes

-

Apuntes, ejercicios y formularios - Cálculo I

He publicado nuevos apuntes de 1º Cálculo I: Apuntes, ejercicios y formularios - Cálculo I

Tema 1. Derivadas de funciones de una variable real.pdf
Tema 2. Integrales.pdf
Tema 3. Ecuaciones diferenciales ordinarias.pdf
Tema 4. Series y sucesiones numéricas.pdf
Tema 5. Serie de potencias.pdf
Formulario T1 (Resumen) - Cálculo I.pdf

A día 01/01/2024

1 página

A día 01/01/2024

6 páginas

A día 01/01/2024

1 página

A día 01/01/2024

1 página

A día 01/01/2024

1 página

A día 01/01/2024

1 página

apuntes

-

PARCIAL 1 Apuntes

He publicado nuevos apuntes de 1º Cálculo I: PARCIAL 1 Apuntes

Continuidad-crecimiento-y-teoremas.pdf
Derivadas-Importante-y-Tg-en-un-punto.pdf
Extremos-absolutos-y-formula-especial.pdf
Integrales-importantes.pdf
Polinomio-de-Taylor.pdf
RESUMEN-GENERAL.pdf

apuntes

-

SERIES NUMERICAS

He publicado nuevos apuntes de 1º Cálculo I: SERIES NUMERICAS

Armonicas-geometricas-telescopicas-y-comparacion.pdf
Criterio-de-la-Razon-y-de-la-raiz.pdf
Teorema-de-Leibniz.pdf
Raabe-integral-impropia-y-RESUMEN.pdf

apuntes

-

ECUACIONES DIFERENCIALES

He publicado nuevos apuntes de 1º Cálculo I: ECUACIONES DIFERENCIALES

Ecuaciones-Diferenciales-I.pdf
Ecuaciones-diferenciales-II.pdf
Ecuacioines-diferenciales-III.pdf
Ecuaciones-diferenciales-IV.pdf
Ecuaciones-diferenciales-V.pdf

El examen de la extraordinaria de julio 2023 completamente resuelto paso a paso

5 páginas

He publicado nuevos apuntes de 1º Cálculo I: Tema-6-teoriahojas.pdf

7 páginas

He publicado nuevos apuntes de 1º Cálculo I: Tema-5-teoriahojas.pdf

5 páginas

He publicado nuevos apuntes de 1º Cálculo I: Tema-4-teoriahojas.pdf

11 páginas

He publicado nuevos apuntes de 1º Cálculo I: Tema-3-teoriahojas.pdf

5 páginas

He publicado nuevos apuntes de 1º Cálculo I: Tema-2-teoriahojas.pdf

7 páginas

He publicado nuevos apuntes de 1º Cálculo I: Resumen-calc-I.pdf

4 páginas

He publicado nuevos apuntes de 1º Cálculo I: Tema-1-teoriahojas.pdf

11 páginas

He publicado nuevos apuntes de 1º Cálculo I: Resumenes_Cálculo I.pdf

8 páginas
Anónimo

@Anónimo

examenes

-

Examenes

Examenes sobre la materia

17ejerciciosfinales.pdf
Ap-Derivadas-8.pdf
Ap-Derivadas-9.pdf
Ap-Derivadas-10.pdf
Ap-Integral-6.pdf
Ap-Integral-10.pdf

apuntes

-

Apuntes y Ejercicios Todos los Temas

He publicado nuevos apuntes de 1º Cálculo I: Apuntes y Ejercicios Todos los Temas

Tema-1-Funciones-de-variable-real.pdf
Tema-3-Ecuaciones-diferenciales.pdf
Tema-6-Series-de-Fourier-1.pdf
Tema-4-series-y-sucesiones.pdf
Tema-5-series-de-potencias.pdf
Tema-2-integrales-1.pdf

He publicado nuevos apuntes de 1º Cálculo I: Ejercicios-del-tema-1.pdf

4 páginas
Anónimo

@Anónimo

He publicado nuevos apuntes de 1º Cálculo I: Calc1-Entero.pdf

86 páginas
Anónimo

@Anónimo

ejercicios

-

Ejercicios - Cálc1

He publicado nuevos ejercicios de 1º Cálculo I: Ejercicios - Cálc1

T2Ejercicios-Calc1.pdf
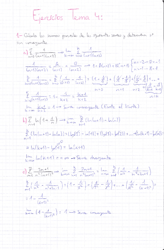
T4Ejercicios-Calc1.pdf
T3Ejercicios-Calc1.pdf
T6Ejercicios-Calc1.pdf
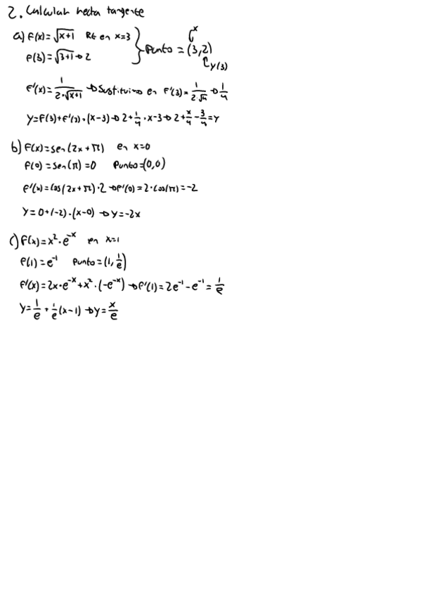
T1Ejercicios-Calc1.pdf
T5Ejercicios-Calc1.pdf
Anónimo

@Anónimo

apuntes

-

Teoría-Cálc1

He publicado nuevos apuntes de 1º Cálculo I: Teoría-Cálc1

T4Teoria-Calc1.pdf
T5Teoria-Calc1.pdf
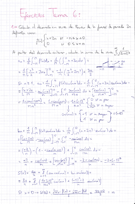
T6Teoria-Calc1.pdf
T2Teoria-Calc1.pdf
T1Teoria-Calc1.pdf
T3Teoria-Calc1.pdf

examenes

-

Examenes Resueltos

He publicado nuevos examenes de 1º Cálculo I: Examenes Resueltos

Calculo-I-enero-2015.pdf
Calculo-I-julio-de-2020.pdf
Calculo-I-enero-2016.pdf
Calculo-I-enero-2014.pdf
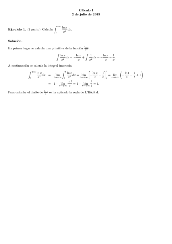
Calculo-I-julio-2019.pdf
Calculo-I-febrero-de-2021.pdf