chevron_left
chevron_right
Todo
Apuntes
Ejercicios
Exámenes
chevron_left
chevron_right

examenes

-

Soluciones examen de enero curso 24 - 25 (Grupo Tarde)

Contiene las soluciones del examen de enero del año pasado que se realizo el día 13 de enero de 2025.

Pagina-1.png
Pagina-2.png
Pagina-3.png
Pagina-4.png
Pagina-5.png
Pagina-6.png

examenes

-

Soluciones examen de enero curso 18 - 19 (Grupo Tarde)

Contiene los ejercicios resueltos del examen de enero.

Pagina-1.png
Pagina-2.png
Pagina-3.png
Pagina-4.png
Pagina-5.png
Pagina-6.png
Anónimo

@Anónimo

Primer Examen Parcial 25-26 Tema Repaso

4 páginas

examenes

-

Solución tercer parcial curso 24 - 25 (Grupo Tarde)

He publicado nuevos examenes de 1º Cálculo I: Solución tercer parcial curso 24 - 25 (Grupo Tarde)

Enunciados-de-los-ejercicios.png
Enunciados-de-los-ejercicios.png
Pagina-1.png
Pagina-2.png
Pagina-3.png
Pagina-4.png

Segundo Examen Parcial Cálculo I 24/25

4 páginas

examenes

-

Segundo examen parcial curso 23 - 24 (Grupo Mañana)

He publicado nuevos examenes de 1º Cálculo I: Segundo examen parcial curso 23 - 24 (Grupo Mañana)

Hoja-de-enunciados.png
Hoja-de-enunciados.png
Pagina-1.png
Pagina-2.png
Pagina-3.png
Pagina-4.png

examenes

-

Segundo examen parcial curso 19 - 20 (Grupo Tarde)

He publicado nuevos examenes de 1º Cálculo I: Segundo examen parcial curso 19 - 20 (Grupo Tarde)

Hoja-de-enunciados.png
Hoja-de-enunciados.png
Pagina-1.png
Pagina-2.png
Pagina-3.png
Pagina-4.png

apuntes

-

Representación gráfica

He publicado nuevos apuntes de 1º Cálculo I: Representación gráfica

Pagina-1.png
Pagina-2.png

examenes

-

Solución 2º Examen curso 24-25 (Grupo Tarde)

Segundo parcial con soluciones del 18 de noviembre de 2024

Pagina-1.png
Pagina-2.png
Pagina-3.png
Pagina-4.png

examenes

-

Primer examen parcial curso 19 - 20 (Grupo Tarde)

Primer examen parcial con soluciones del 22 de octubre de 2019

Pagina-1.png
Pagina-2.png
Pagina-3.png

examenes

-

Soluciones primer examen curso 24 - 25 (Grupo Tarde)

Examen primer parcial del curso 24 - 25 con soluciones

Pagina-1.png
Pagina-2.png
Pagina-3.png
Pagina-4.png
Pagina-5.png
Pagina-6.png
Anónimo

@Anónimo

He publicado nuevos examenes de 1º Cálculo I: Extraordinaria2025Calculo1.pdf

6 páginas
Anónimo

@Anónimo

examenes

-

Examenes Calculo I 2024

He publicado nuevos examenes de 1º Cálculo I: Examenes Calculo I 2024

Parcial2.pdf
Parcial1-2309.pdf
Solucion-Examen-enero-2025.pdf

apuntes

-

Temario

He publicado nuevos apuntes de 1º Cálculo I: Temario

T1.-Continuidad-y-derivabilidad.pdf
Anónimo

@Anónimo

He publicado nuevos examenes de 1º Cálculo I: Parcial3-202425.pdf

6 páginas
Anónimo

@Anónimo

He publicado nuevos examenes de 1º Cálculo I: ordinaria-Cl.pdf

1 página
Anónimo

@Anónimo

He publicado nuevos examenes de 1º Cálculo I: Examn2-Calculo-l.pdf

1 página

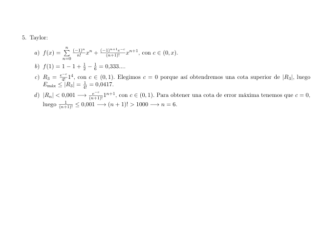
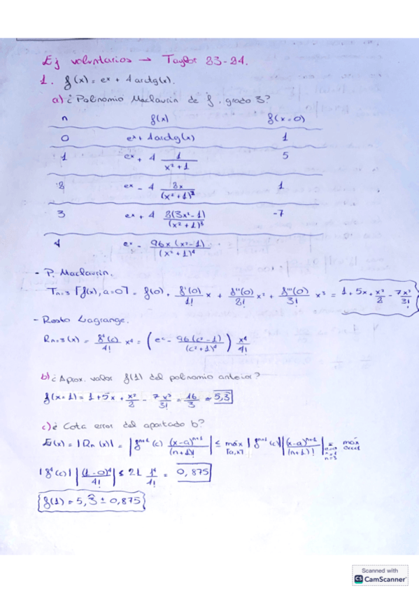
He publicado nuevos ejercicios de 1º Cálculo I: SOLUCION-Ejs-voluntarios-Taylor.pdf

3 páginas
Anónimo

@Anónimo

He publicado nuevos ejercicios de 1º Cálculo I: Integrales-resueltas.pdf

2 páginas
Anónimo

@Anónimo

He publicado nuevos ejercicios de 1º Cálculo I: Derivadas-resueltas.pdf

1 página

He publicado nuevos apuntes de 1º Cálculo I: Tabla-Funciones-Derivada.pdf

2 páginas

He publicado nuevos apuntes de 1º Cálculo I: T1-Calculo-l.pdf

5 páginas
Anónimo

@Anónimo

He publicado nuevos examenes de 1º Cálculo I: Extraraord-Julio2024.pdf

2 páginas
Anónimo

@Anónimo

He publicado nuevos apuntes de 1º Cálculo I: Calculo-TEOREMAS-RESUMEN.pdf

1 página

He publicado nuevos ejercicios de 1º Cálculo I: GrASolcurvas17-18.pdf

4 páginas

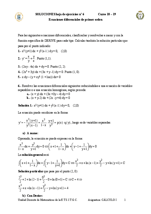
He publicado nuevos ejercicios de 1º Cálculo I: Solucionhojaecdif18-19.pdf

7 páginas

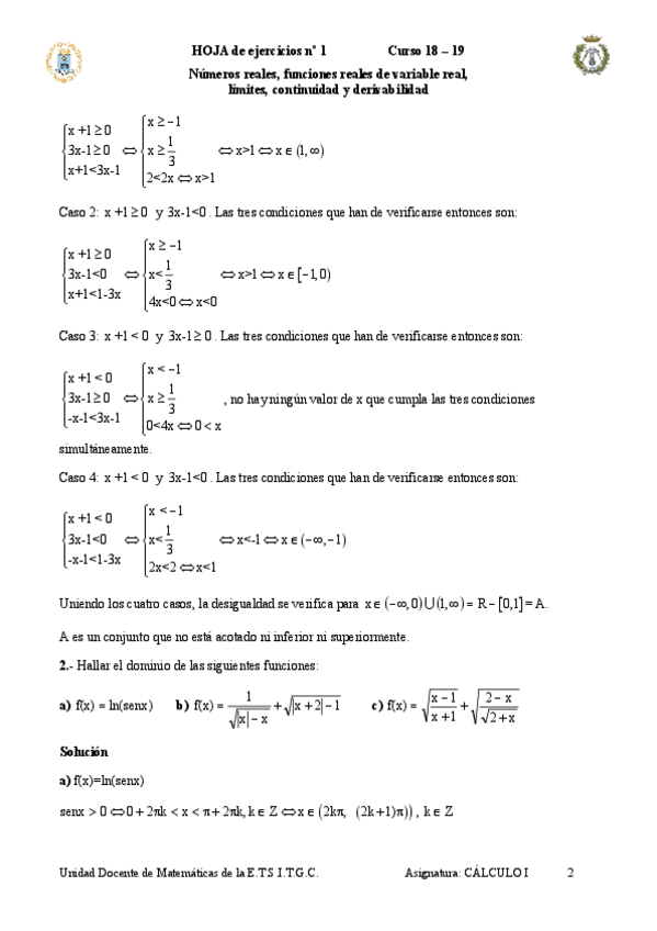
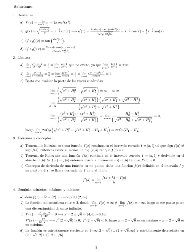
He publicado nuevos ejercicios de 1º Cálculo I: Solcontderiv2018-19.pdf

15 páginas

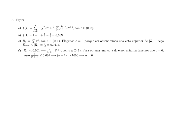
He publicado nuevos ejercicios de 1º Cálculo I: SolucTaylor18-19.pdf

7 páginas

He publicado nuevos examenes de 1º Cálculo I: Solucionesextraord27-6-18.pdf

11 páginas

He publicado nuevos examenes de 1º Cálculo I: ExOrdCalculoI17-18.pdf

12 páginas
¡Estás al día!

¡Estás al día!

Has visto todos los archivos