Todo
Apuntes
Ejercicios
Exámenes
Otros
chevron_left
chevron_right

Resumen de los apuntes del Tema 6 - Aplicaciones de la Integral, de Cálculo I, con las fórmulas importantes destacadas y ejemplos resueltos

2 páginas

examenes

-

RECOPILACIÓN DE EXAMENES CON SOLUCIÓN

He publicado nuevos examenes de 1º Cálculo I: RECOPILACIÓN DE EXAMENES CON SOLUCIÓN

Examenes-del-curso-2019-2020.pdf
20202021PEC3soluciones.pdf
Examenes20172020sol.pdf
Aerogo.pdf

apuntes de academia, todo el tema 5

6 páginas

apuntes

-

Calculo I

academia RUFFO

Resumen-Calculo1.pdf
Tema2-Calculo1.pdf
Tema3-Calculo1.pdf
Tema4-Calculo1.pdf
Tema5-Calculo1.pdf
Tema6-Calculo1.pdf

apuntes

-

Calculo I

He publicado nuevos apuntes de 1º Cálculo I: Calculo I

Tema0-Calculo-1.pdf

Resumen de los apuntes del Tema 5 - La Integral, de Cálculo I, con todos los tipos y ejemplos resueltos de cada método de resolución de integrales

6 páginas
Anónimo

@Anónimo

He publicado nuevos examenes de 1º Cálculo I: Ejercicios-repaso-final-garrido.pdf

9 páginas
Anónimo

@Anónimo

Repaso final PE2 con ejercicios tipo examen de Pablo Garrido

20 páginas
Anónimo

@Anónimo

Formulario segunda parte Cálculo 1

9 páginas
Anónimo

@Anónimo

Formulario primera parte

7 páginas

ejercicios

-

Hojas de ejercicios

He publicado nuevos ejercicios de 1º Cálculo I: Hojas de ejercicios

Hoja-1.pdf
Hoja-2.pdf
Hoja-3.pdf
Hoja-4.pdf
Hoja-5.pdf
Hoja-6.pdf

Resumen de los apuntes del Tema 4 de Cálculo I: Aplicaciones de la derivada, de Garrido y Academia, con ejemplos resueltos incluidos

2 páginas

Resumen de los apuntes del Tema 3 - Funciones derivables, de Cálculo I de Garrido + Academia

2 páginas

He publicado nuevos apuntes de 1º Cálculo I: a.2-Limites-y-continuidad.pdf

9 páginas

Tema 1-Nociones Básicas Previas

4 páginas

He publicado nuevos apuntes de 1º Cálculo I: Integrales-Calculo-I.pdf

11 páginas

apuntes

-

Resúmenes C-1 Pape

He publicado nuevos apuntes de 1º Cálculo I: Resúmenes C-1 Pape

resumen4.pdf
resumen5.pdf
resumen3.pdf
resumen2.pdf
resumen1.pdf

Apuntes del Tema 2 de Cálculo I de Garrido + Academia, con ejemplos resueltos incluidos

2 páginas

Resumen de los apuntes del Tema 1 de Cálculo I de Garrido + Academia, con ejemplos

2 páginas

He publicado nuevos apuntes de 1º Cálculo I: a.0-Nociones-basicas.pdf

15 páginas

He publicado nuevos apuntes de 1º Cálculo I: Calculo-I-Tema-1-Garrido.pdf

4 páginas
Anónimo

@Anónimo

apuntes

-

Cálculo I

He publicado nuevos apuntes de 1º Cálculo I: Cálculo I

Resumen-de-todos-los-temas.pdf
Formulario-breve.pdf
PEC-1-resumen.pdf

apuntes

-

TODO CÁLCULO 1

Apuntes, ejercicios y formulario Cálculo 1

Tema-2-Derivabilidad.pdf
Tema-3-Maximos-y-minimos.pdf
Tema-5-La-integral-de-Riemann.pdf

teoría necesaria para aprobar cálculo I

2 páginas

He publicado nuevos apuntes de 1º Cálculo I: IntegralesRacionalesyTrigonometricas.pdf

2 páginas

He publicado nuevos apuntes de 1º Cálculo I: Apuntes-calculo.pdf

5 páginas

ejercicios

-

soluciones ejercicios cálculo 1

He publicado nuevos ejercicios de 1º Cálculo I: soluciones ejercicios cálculo 1

tema1-soluciones.pdf
tema2-soluciones.pdf
tema3-soluciones.pdf
tema4-soluciones.pdf
tema5-soluciones.pdf
tema6-soluciones.pdf

ejercicios

-

ejercicios cálculo 1 por temas

He publicado nuevos ejercicios de 1º Cálculo I: ejercicios cálculo 1 por temas

ProblemasTema1.pdf
ProblemasTema2.pdf
ProblemasTema3.pdf
ProblemasTema4.pdf
ProblemasTema5.pdf
ProblemasTema6.pdf
Anónimo

@Anónimo

He publicado nuevos apuntes de 1º Cálculo I: Resumen-Calculo-I.pdf

32 páginas

He publicado nuevos ejercicios de 1º Cálculo I: Ejercicios-del-tema-6.pdf

2 páginas

He publicado nuevos ejercicios de 1º Cálculo I: Ejercicios-del-tema-5.pdf

1 página

He publicado nuevos ejercicios de 1º Cálculo I: Ejercicios-del-tema-4.pdf

1 página

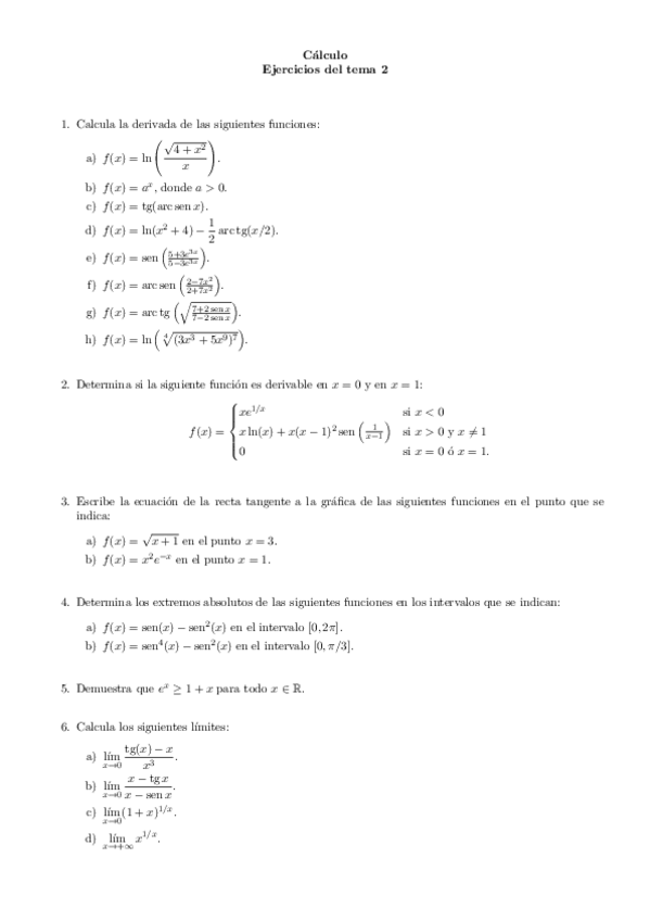
He publicado nuevos apuntes de 1º Cálculo I: Ejercicios-del-tema-2.pdf

2 páginas

He publicado nuevos ejercicios de 1º Cálculo I: EJERCICIOS-LIMITES.pdf

3 páginas

He publicado nuevos apuntes de 1º Cálculo I: resumenformulariocalculoI.pdf

13 páginas

He publicado nuevos apuntes de 1º Cálculo I: CONCEPTOS-BASICOS-CALCULO-I-TEMA-0.pdf

5 páginas

He publicado nuevos ejercicios de 1º Cálculo I: APUNTES-Y-EJERCICIOS-INDETERMINACIONES.pdf

3 páginas

examenes

-

examenes resueltos

He publicado nuevos examenes de 1º Cálculo I: examenes resueltos

Solucion-Examen-enero-2024.pdf
Solucion-examen-extraordinaria-2021.pdf
Solucion-examen-extraordinaria-2023.pdf
Solucion-examen-final-2020.pdf
Solucion-Examen-final-2022.pdf
Solucion-Examen-ordinaria-2021.pdf

He publicado nuevos apuntes de 1º Cálculo I: Tema-4.-Calculo-De-Primitivas.pdf

5 páginas

He publicado nuevos apuntes de 1º Cálculo I: Tema-6.-Taylor.-Series-de-potencia.pdf

7 páginas

He publicado nuevos apuntes de 1º Cálculo I: Tema-3.-Maximos-Y-Minimos.pdf

4 páginas

He publicado nuevos apuntes de 1º Cálculo I: Tema-1.-Limites.pdf

5 páginas

He publicado nuevos apuntes de 1º Cálculo I: Tema-2.-Continuidad-y-derivabilidad.pdf

11 páginas

He publicado nuevos apuntes de 1º Cálculo I: Tema-0.-Introduccion.pdf

8 páginas

He publicado nuevos apuntes de 1º Cálculo I: TODO-Calculo.pdf

36 páginas

He publicado nuevos apuntes de 1º Cálculo I: formulario todo CÁLCULO I.pdf

4 páginas

He publicado nuevos apuntes de 1º Cálculo I: graficas importantes.pdf

1 página

He publicado nuevos apuntes de 1º Cálculo I: relaciones trigonometricas.pdf

2 páginas

He publicado nuevos apuntes de 1º Cálculo I: desarrollos.pdf

1 página

He publicado nuevos apuntes de 1º Cálculo I: Tema-7-Taylor.pdf

11 páginas

He publicado nuevos apuntes de 1º Cálculo I: Tema-5-Integrales.pdf

15 páginas

He publicado nuevos apuntes de 1º Cálculo I: Tema-1-Conceptos-Basicos.pdf

11 páginas

He publicado nuevos apuntes de 1º Cálculo I: Tema-2-Limites.pdf

5 páginas

He publicado nuevos apuntes de 1º Cálculo I: Teoremas-Mas-importantes-Calculo-I.pdf

8 páginas

He publicado nuevos apuntes de 1º Cálculo I: Derivada-Enesima.pdf

7 páginas

He publicado nuevos examenes de 1º Cálculo I: Examenes-resueltos-curso-2019-2020.pdf

33 páginas

He publicado nuevos examenes de 1º Cálculo I: PEC3-2021-2022-soluciones.pdf

12 páginas
Anónimo

@Anónimo

He publicado nuevos apuntes de 1º Cálculo I: Calculo1-Indusbol.pdf

294 páginas
Anónimo

@Anónimo

He publicado nuevos ejercicios de 1º Cálculo I: Ejercicicos-Ruffo.pdf

10 páginas

He publicado nuevos apuntes de 1º Cálculo I: RESUMEN-CALCULO-I-INTENSIVO-RUFFO.pdf

10 páginas