chevron_left
chevron_right
Todo
Apuntes
Exámenes
chevron_left
chevron_right

He publicado nuevos examenes de 1º Cálculo I: segundo-parcial-2014-con-soluciones.pdf

5 páginas

He publicado nuevos examenes de 1º Cálculo I: 2o-parcial-2013.pdf

1 página

He publicado nuevos apuntes de 1º Cálculo I: EJERCICIOS.pdf

1 página

He publicado nuevos apuntes de 1º Cálculo I: EJERCICIOS.pdf

1 página

He publicado nuevos apuntes de 1º Cálculo I: TEMA-4.pdf

1 página

He publicado nuevos apuntes de 1º Cálculo I: TEMA-2.pdf

1 página

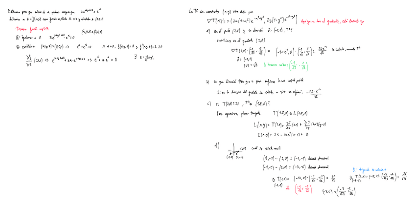
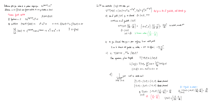
He publicado nuevos apuntes de 1º Cálculo I: MAXIMOS-Y-MINIMOS.pdf

1 página

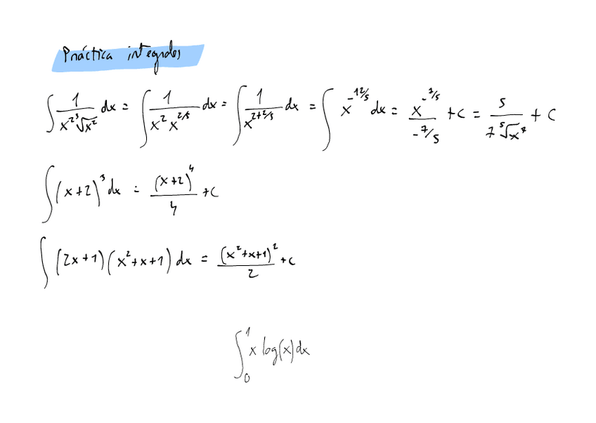
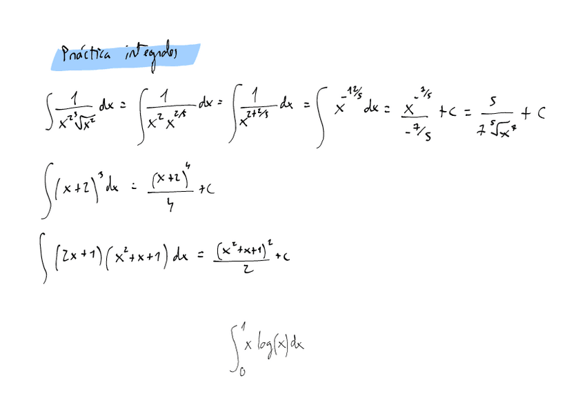
He publicado nuevos apuntes de 1º Cálculo I: PRACTICA-INTEGRALES.pdf

1 página

He publicado nuevos apuntes de 1º Cálculo I: TEMA-5.pdf

1 página

He publicado nuevos apuntes de 1º Cálculo I: TEMA-5-RESUMEN.pdf

1 página

He publicado nuevos apuntes de 1º Cálculo I: TEMA-1.pdf

1 página

He publicado nuevos apuntes de 1º Cálculo I: TEMA-4.pdf

1 página
Anónimo

@Anónimo

2o parcial 2023

1 página
Anónimo

@Anónimo

examenes

-

Exámenes cálculo 1

He publicado nuevos examenes de 1º Cálculo I: Exámenes cálculo 1

AG-junyjulio-201819.pdf
AG-generenero201718.pdf
1r-parcial-20172018.pdf
2n-parcial.pdf
AG-1r-parcial-2021.pdf
AG-generenero-201819.pdf

apuntes

-

Cálculo I Teoria

He publicado nuevos apuntes de 1º Cálculo I: Cálculo I Teoria

Numeros-complejos-Calculo.pdf
Integrales-multiples-Calculo.pdf
Funciones-de-dos-variables-Calculo.pdf

apuntes

-

Examen primer parcial

He publicado nuevos apuntes de 1º Cálculo I: Examen primer parcial

Midterm-1-2015-2016.pdf
Midterm-1-2017-2018.pdf
Midterm-1-2016-2017.pdf
Midterm-1-2018-2019.pdf
Midterm-1-2014-2015.pdf

apuntes

-

Examen segundo parcial

He publicado nuevos apuntes de 1º Cálculo I: Examen segundo parcial

Midterm-2-2015-2016.pdf
Midterm-2-2017-2018.pdf
Midterm-2-2014-2015.pdf
Midterm-2-2016-2017.pdf

apuntes

-

Examenes Finales

He publicado nuevos apuntes de 1º Cálculo I: Examenes Finales

Final-Exam-2017-2018.pdf
FinalExam-2014-2015.pdf
FinalExam-2016-2017.pdf
FinalExam-2013-2014.pdf
¡Estás al día!

¡Estás al día!

Has visto todos los archivos