chevron_left
chevron_right
Todo
Apuntes
Ejercicios
Exámenes
Trabajos
chevron_left
chevron_right

Recopilación de formulas mas usadas en examenes

1 página

apuntes

-

Autoevaluaciones

He publicado nuevos apuntes de 1º Cálculo I: Autoevaluaciones

01-Autoevaluacion-Temas-0-y-1-Enunciado.pdf
01-Autoevaluacion-Temas-0-y-1-Resuelto.pdf
02-Autoevaluacion-Temas-1-y-2-Enunciado.pdf
02-Autoevaluacion-Temas-1-y-2-Resuelto.pdf
03-Autoevaluacion-Temas-3-y-4-Enunciado.pdf
03-Autoevaluacion-Temas-3-y-4-Resuelto.pdf
Anónimo

@Anónimo

ejercicios

-

Ejercicios resueltos

He publicado nuevos ejercicios de 1º Cálculo I: Ejercicios resueltos

Tema-0-E-12-a-b-c-d-Resueltos.pdf
Tema-0-E-04-13-16-Resueltos.pdf
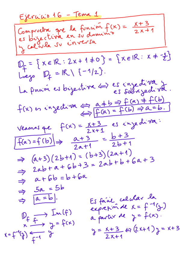
Tema-1-E-10-21-Resueltos.pdf
Tema-1-E-16-Resuelto.pdf
Tema-1-E-26-30-Resueltos.pdf
Tema-2-E-19-20-21-Resueltos.pdf
Anónimo

@Anónimo

He publicado nuevos apuntes de 1º Cálculo I: Resumen-Segundo-Parcial.pdf

7 páginas
Anónimo

@Anónimo

He publicado nuevos apuntes de 1º Cálculo I: Resumen-Tema-0.pdf

10 páginas
Anónimo

@Anónimo

He publicado nuevos apuntes de 1º Cálculo I: Resumen-Primer-Parcial.pdf

9 páginas
Anónimo

@Anónimo

He publicado nuevos trabajos de 1º Cálculo I: Entregable-01.pdf

11 páginas
Anónimo

@Anónimo

He publicado nuevos trabajos de 1º Cálculo I: Entregable-03.pdf

8 páginas
Anónimo

@Anónimo

He publicado nuevos ejercicios de 1º Cálculo I: Autoevaluacion-Temas-1-y-2.pdf

7 páginas
Anónimo

@Anónimo

He publicado nuevos ejercicios de 1º Cálculo I: Autoevaluacion-Temas-3-y-4.pdf

6 páginas
Anónimo

@Anónimo

He publicado nuevos ejercicios de 1º Cálculo I: Autoevaluacion-Temas-0-y-1.pdf

7 páginas
Anónimo

@Anónimo

He publicado nuevos examenes de 1º Cálculo I: Primer-Parcial-2023-2024.pdf

4 páginas

He publicado nuevos apuntes de 1º Cálculo I: MACRO RESUMEN CALCULITO.pdf

62 páginas

He publicado nuevos apuntes de 1º Cálculo I: CAL 2 - Límites y Sucesiones.pdf

19 páginas

He publicado nuevos apuntes de 1º Cálculo I: CAL 3 - Funciones- Derivadas, Teoremas....pdf

17 páginas

He publicado nuevos apuntes de 1º Cálculo I: CAL 4 - Series.pdf

6 páginas

He publicado nuevos apuntes de 1º Cálculo I: CAL 1 - Conjuntos Numéricos- Numeros Complejos y Definiciones.pdf

20 páginas
¡Estás al día!

¡Estás al día!

Has visto todos los archivos