chevron_left
chevron_right
Todo
Apuntes
Ejercicios
Exámenes
Prácticas
publication
chevron_left
chevron_right

He publicado nuevos apuntes de 1º Cálculo I: EDOsLinealesOrden2.pdf

15 páginas

He publicado nuevos apuntes de 1º Cálculo I: RepasoBachillerFormulas.pdf

4 páginas

Apuntes/Formulario sobre Series Numéricas, Series Fundamentales, Criterios de Convergencia, todo lo necesario sobre este campo para realizar los exámenes de Calculo I

10 páginas

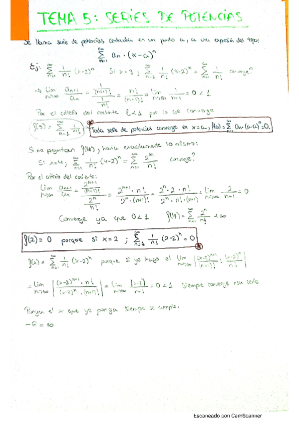
Apuntes/Formulario sobre Series de Potencias, Intervalo de Convergencia, Derivación e Integración, Series Fundamentales de Taylor, todo lo necesario sobre este campo para realizar los exámenes de Calculo I

5 páginas

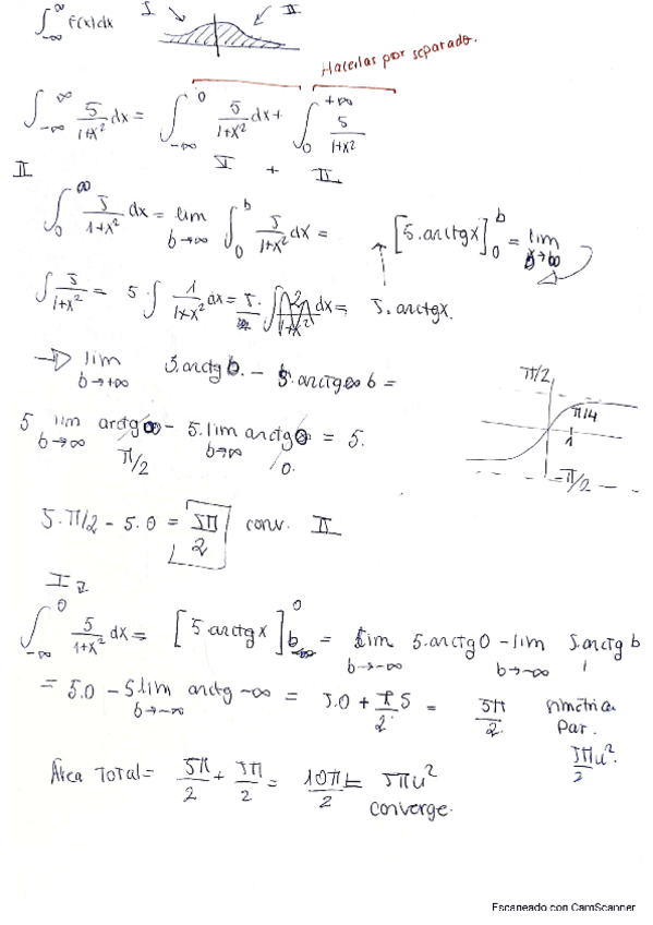
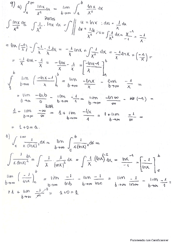
Apuntes/Formulario sobre Integrales Definidas e Indefinidas, TFC, Técnicas de Integración, todo lo necesario sobre este campo para realizar los exámenes de Calculo I. (ES NECESARIO SABER INTEGRAR CON FACILIDAD)

18 páginas

Apuntes/Formulario sobre Límites y Continuidad, todo lo necesario sobre este campo para realizar los exámenes de Calculo I

5 páginas

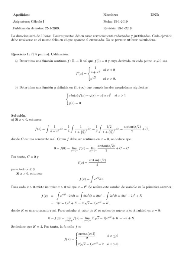
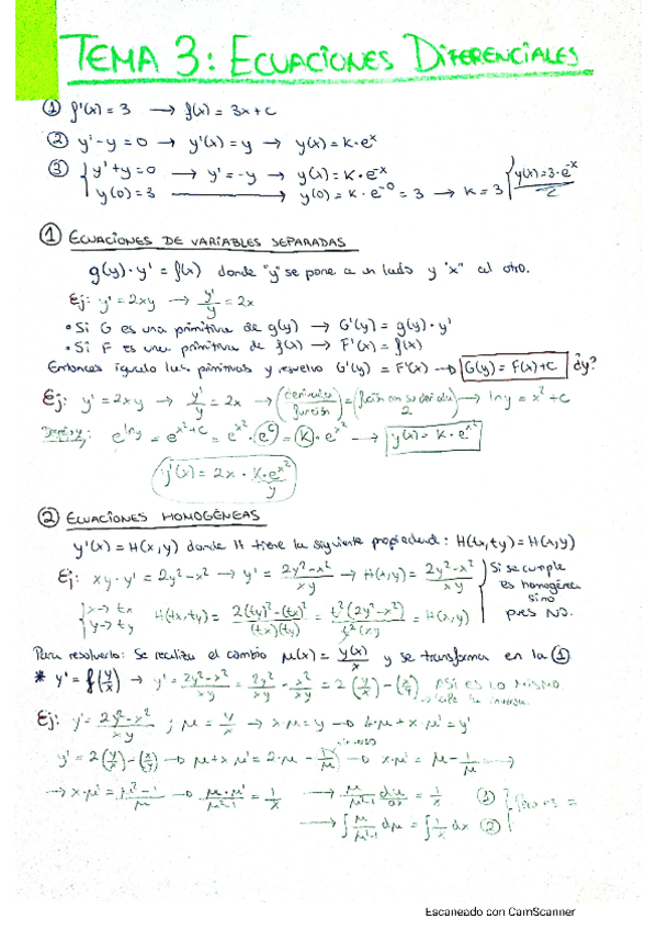
Apuntes/Formulario sobre Ecuaciones Diferenciales, todo lo necesario sobre este campo para realizar los exámenes de Calculo I

11 páginas

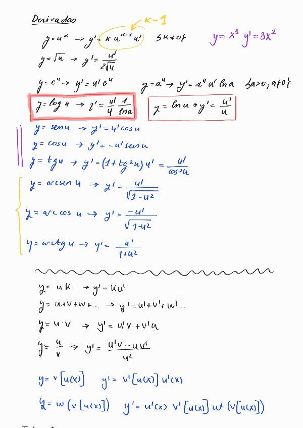
Apuntes/Formulario sobre Derivabilidad, L´Hopital y Teorema de Taylor, todo lo necesario sobre este campo para realizar los exámenes de Calculo I. (ES NECESARIO SABER DERIVAR FACILMENTE)

6 páginas

examenes

-

EXÁMENES (2015-2025)

Exámenes resueltos de la asignatura Cálculo I de la UPM Campus Sur, hay desde la convocatoria desde 2015 hasta el parcial de 2025. Perfectos para practicar de cara a cualquier examen de Cálculo I, ejercicios de todo tipo: Derivadas, Integrales, TFC, Serie

Calculo-I-enero-2015.pdf
Calculo-I-enero-2017.pdf
Calculo-I-julio-2021.pdf
Calculo-I-parcial2023-24.pdf
Examen-parcial-2021-22.pdf
Examen-parcial-2022-2023.pdf

He publicado nuevos apuntes de 1º Cálculo I: FORMULARIO-CALCULO-I-FINAL.pdf

4 páginas
Anónimo

@Anónimo

He publicado nuevos examenes de 1º Cálculo I: Calculo-I-enero-2025.pdf

4 páginas
Anónimo

@Anónimo

He publicado nuevos examenes de 1º Cálculo I: Calculo-I-julio-2024.pdf

5 páginas
Anónimo

@Anónimo

He publicado nuevos examenes de 1º Cálculo I: Calculo-I-enero-2024.pdf

7 páginas
Anónimo

@Anónimo

He publicado nuevos examenes de 1º Cálculo I: Calculo-I-julio-2023.pdf

6 páginas
Anónimo

@Anónimo

He publicado nuevos examenes de 1º Cálculo I: Calculo-I-enero-2023.pdf

5 páginas

He publicado nuevos ejercicios de 1º Cálculo I: Ejercicios-Sucesiones-y-Series.pdf

1 página

He publicado nuevos ejercicios de 1º Cálculo I: Ejercicios-Series-de-Potencias.pdf

2 páginas

He publicado nuevos examenes de 1º Cálculo I: 2025-11-11-Parcial-soluciones.pdf

4 páginas

Apuntes/Formulario sobre Trigonometría, todo lo necesario sobre este campo para realizar los exámenes de Calculo I

3 páginas

He publicado nuevos apuntes de 1º Cálculo I: Parcial 2022-2023 resuelto - LaOmegaDeFran.pdf

3 páginas

He publicado nuevos apuntes de 1º Cálculo I: Parcial-2022-2023-resuelto-1.pdf

3 páginas

🔥CURSO CÁLCULO I 🔥

En moodlelaomegadefran tienes la única academia 100% online: ✅ Clases grabadas para ver cuando quieras, donde quieras (¡y las veces que quieras!) ✅ Toda la teoria ✅ Ejercicios resueltos paso a paso ✅ Exámenes explicados al detalle 📌 Mira precios y descuentos aquí 👉 moodlelaomegadefran.com 💬 Escríbenos por Instagram o WhatsApp: @laomegadefran / +34 661 116 626

He publicado nuevos apuntes de 1º Cálculo I: Tema-5-teoria-y-apuntes.pdf

7 páginas

He publicado nuevos apuntes de 1º Cálculo I: Tema-4-teoria-y-apuntes.pdf

5 páginas

He publicado nuevos apuntes de 1º Cálculo I: Tema-3-teoria-y-apuntes.pdf

13 páginas

He publicado nuevos apuntes de 1º Cálculo I: Tema-2-teoria-y-apuntes.pdf

14 páginas

He publicado nuevos apuntes de 1º Cálculo I: Tema-1-teoria-y-ejercicios.pdf

12 páginas

💡GARANTÍA DE APROBADO💡

👉 Accede a TODO el contenido que compres hasta que apruebes. 📌 Sin caducidad, sin límite de tiempo y sin prisas. En moodlelaomegadefran tienes la única academia 100% online que te da TODO lo que necesitas: ✅ Clases grabadas para ver cuando quieras (¡y las veces que quieras!) ✅ Toda la teoria ✅ Ejercicios resueltos paso a paso ✅ Exámenes explicados al detalle ✅ Laboratorios guiados Y además… si invitas a un amigo, ¡os *descontamos 20 €* a cada uno! 🤝 📌 Mira precios y descuentos aquí 👉 moodlelaomegadefran.com 💬 Escríbenos por Instagram o WhatsApp: @laomegadefran / +34 611 726 622 / +34 661 116 626

He publicado nuevos apuntes de 1º Cálculo I: Apuntes-Tema-4.pdf

4 páginas

He publicado nuevos apuntes de 1º Cálculo I: Resumen-Calculo-1.pdf

11 páginas

apuntes

-

calculo I

He publicado nuevos apuntes de 1º Cálculo I: calculo I

I.-FUNCIONES.pdf
III.-SECUENCIAS.pdf
IV.-SERIES.pdf
VII.-DERIVADAS.pdf
XI.-AREA-Y-VOLUMENES.pdf
XII.-INTEGRALES-IMPROPIAS.pdf

He publicado nuevos apuntes de 1º Cálculo I: Resumen Calculo I.pdf

9 páginas

He publicado nuevos apuntes de 1º Cálculo I: Ecuaciones Diferenciales Calculo I.pdf

2 páginas

He publicado nuevos ejercicios de 1º Cálculo I: Ejercicios Integrales Calculo I.pdf

6 páginas

He publicado nuevos ejercicios de 1º Cálculo I: Ejercicios Integrales Impropias Calculo I.pdf

8 páginas

He publicado nuevos apuntes de 1º Cálculo I: Calculo-I.pdf

6 páginas

He publicado nuevos apuntes de 1º Cálculo I: Resumen-Por-Temas-Calculo-I.pdf

10 páginas

He publicado nuevos ejercicios de 1º Cálculo I: Ejercicios-T6.pdf

7 páginas

He publicado nuevos ejercicios de 1º Cálculo I: Ejercicios-T5.pdf

8 páginas

He publicado nuevos ejercicios de 1º Cálculo I: Ejercicios-T4.pdf

5 páginas

He publicado nuevos apuntes de 1º Cálculo I: Apuntes-calculo.pdf

6 páginas

examenes

-

Examenes Resueltos

He publicado nuevos examenes de 1º Cálculo I: Examenes Resueltos

Calculo-I-enero-2017.pdf
Calculo-I-enero-2015.pdf
Calculo-I-julio-de-2020.pdf
Calculo-I-julio-2021.pdf
Calculo-I-enero-2014.pdf
Calculo-I-enero-2019.pdf

apuntes

-

Apuntes por temas

He publicado nuevos apuntes de 1º Cálculo I: Apuntes por temas

Tema6-Calculo.pdf
Tema2-Calculo.pdf
Tema5-Calculo.pdf
Tema1-Calculo.pdf
Tema4-Calculo.pdf
Tema3-Calculo.pdf

examenes

-

Exámenes

He publicado nuevos examenes de 1º Cálculo I: Exámenes

Final2013.pdf
Extraordinario2012.pdf
Extraordinario2016.pdf
Final2012.pdf
Final2017.pdf
Final2015.pdf

He publicado nuevos apuntes de 1º Cálculo I: TEMA-6.pdf

20 páginas

He publicado nuevos apuntes de 1º Cálculo I: TEMA-5-CON-EJS.pdf

16 páginas

He publicado nuevos apuntes de 1º Cálculo I: TEMA-4.pdf

22 páginas

He publicado nuevos apuntes de 1º Cálculo I: TEMA-3.pdf

40 páginas

He publicado nuevos apuntes de 1º Cálculo I: TEMA-2.pdf

30 páginas

He publicado nuevos apuntes de 1º Cálculo I: TEMA-1.pdf

56 páginas

apuntes

-

APUNTES TODOS LOS TEMAS

He publicado nuevos apuntes de 1º Cálculo I: APUNTES TODOS LOS TEMAS

TEMA-2.pdf
TEMA-6.pdf
TEMA-4.pdf
TEMA-1.pdf
TEMA-3.pdf
TEMA-5-CON-EJS.pdf

apuntes

-

RESUMEN TODOS LOS TEMAS

He publicado nuevos apuntes de 1º Cálculo I: RESUMEN TODOS LOS TEMAS

RESUMEN-TEMA-3-4-5-6.pdf
RESUMEN-TEMA-1-Y-2.pdf

apuntes

-

EJERCICIOS Y SOLUCIONES

He publicado nuevos apuntes de 1º Cálculo I: EJERCICIOS Y SOLUCIONES

Ejercicios-del-tema-4.pdf
Ejercicios-del-tema-3.pdf
Soluciones-del-tema-4.pdf
Soluciones-del-tema-3.pdf
Ejercicios-del-tema-11.pdf

He publicado nuevos apuntes de 1º Cálculo I: CALCULO-I-COMPLETO.pdf

52 páginas

He publicado nuevos apuntes de 1º Cálculo I: radio-de-convergencia.pdf

2 páginas

He publicado nuevos apuntes de 1º Cálculo I: series.pdf

10 páginas

He publicado nuevos apuntes de 1º Cálculo I: lineales-y-bernoulli.pdf

2 páginas

He publicado nuevos apuntes de 1º Cálculo I: teoria-t3-calculo.pdf

9 páginas

He publicado nuevos apuntes de 1º Cálculo I: Calculo-I-Tema-2.pdf

25 páginas

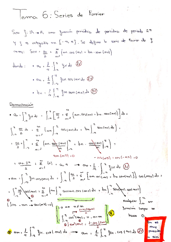
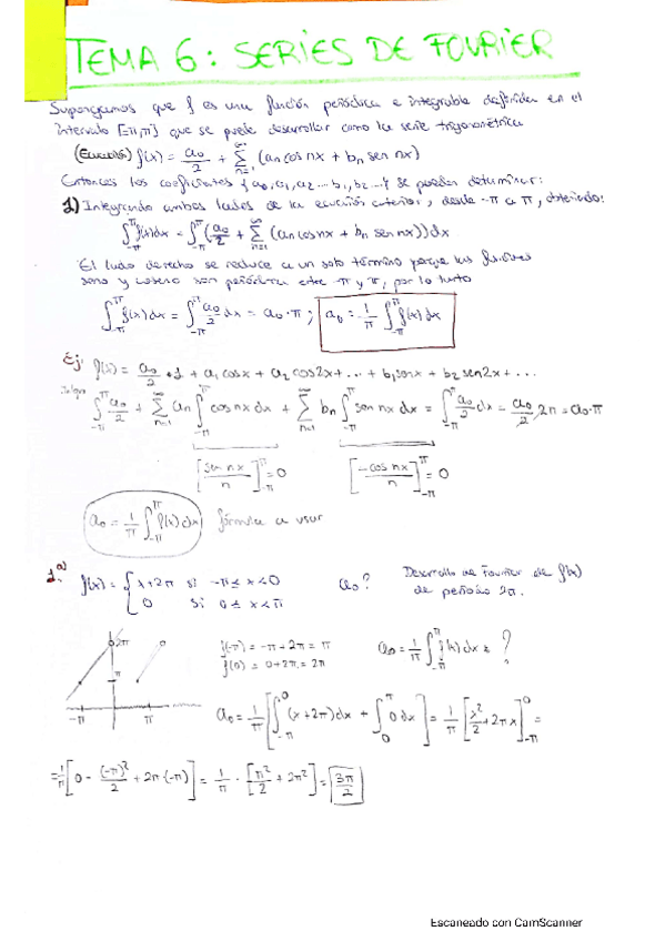
He publicado nuevos apuntes de 1º Cálculo I: Tema-6-Series-de-Fourier-1.pdf

6 páginas