chevron_left
chevron_right
Todo
Apuntes
Ejercicios
chevron_left
chevron_right
Anónimo

@Anónimo

He publicado nuevos apuntes de 1º Cálculo I: ExamenResueltoBloque2Escrito1612.pdf

7 páginas

He publicado nuevos apuntes de 1º Cálculo I: ExamenResueltoBloque2Matlab1512.pdf

6 páginas

He publicado nuevos apuntes de 1º Cálculo I: ExamenResueltoBloque1Escrito1311.pdf

8 páginas

He publicado nuevos apuntes de 1º Cálculo I: ExamenResueltoBloque2Matlab1612.pdf

8 páginas
Anónimo

@Anónimo

He publicado nuevos apuntes de 1º Cálculo I: ExamenResueltoBloque1Matlab2710.pdf

6 páginas
Anónimo

@Anónimo

He publicado nuevos apuntes de 1º Cálculo I: ExamenResueltoBloque1Escrito2910.pdf

6 páginas
Anónimo

@Anónimo

He publicado nuevos apuntes de 1º Cálculo I: ExamenResueltoBloque1Matlab281020.pdf

9 páginas

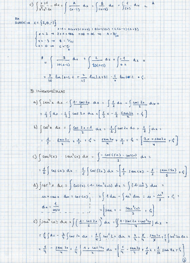
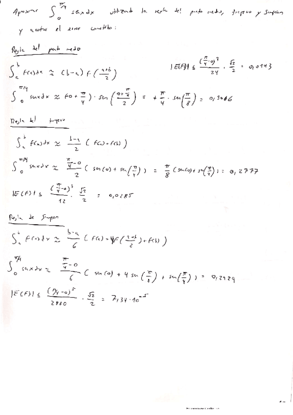
He publicado nuevos apuntes de 1º Cálculo I: Integralesejercicioparaentregar.pdf

4 páginas

ejercicios

-

Ejercicios resueltos

He publicado nuevos ejercicios de 1º Cálculo I: Ejercicios resueltos

ejercicios-48.pdf
ejercicios-42.pdf
ejercicios-41.pdf
ejercicios-44.pdf
ejercicios-45.pdf
ejercicios-43.pdf
¡Estás al día!

¡Estás al día!

Has visto todos los archivos