Todo
Apuntes
Ejercicios
Exámenes
chevron_left
chevron_right

He publicado nuevos apuntes de 1º Cálculo I: CALCULOI.pdf

83 páginas

examenes

-

Enero y Febrero 2018

He publicado nuevos examenes de 1º Cálculo I: Enero y Febrero 2018

Enero-2018.pdf
Febrero-2018.pdf

ejercicios

-

Relaciones de ejercicios

He publicado nuevos ejercicios de 1º Cálculo I: Relaciones de ejercicios

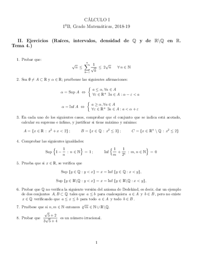
Rel2-Tema4.pdf
Rel1-Temas1-3.pdf
Rel3-Sucesiones.pdf
Anónimo

@Anónimo

apuntes

-

Relaciones de ejercicios

He publicado nuevos apuntes de 1º Cálculo I: Relaciones de ejercicios

Relacion-2-Tema-4.pdf
Relacion-1-Temas-1-2-y-3.pdf
Relacion-5-Continuidad.pdf
Relacion-3-Sucesiones.pdf
Relacion-4-Series.pdf
Anónimo

@Anónimo

apuntes

-

Examenes resueltos

He publicado nuevos apuntes de 1º Cálculo I: Examenes resueltos

Ordinario-resuelto.pdf
Parcial-1-resuelto.pdf
Extraordinario-resuelto.pdf
Anónimo

@Anónimo

apuntes

-

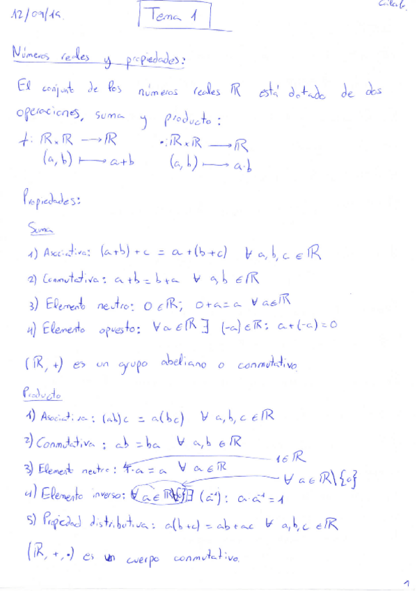
Apuntes Cálculo I

He publicado nuevos apuntes de 1º Cálculo I: Apuntes Cálculo I

Apuntes.pdf
Limites-funcionales.pdf
Definicion-intervalos.pdf
Funciones-elementales.pdf
Sucesiones-divergentes.pdf
¡Estás al día!

¡Estás al día!

Has visto todos los archivos