chevron_left
chevron_right
Todo
Apuntes
Ejercicios
Exámenes
Prácticas
Test
chevron_left
chevron_right

Prácticas a papel de Matlab + Los apuntes de las mismas

26 páginas

Apuntes sacados del guion de prácticas, pero se incluyen explicaciones del código, puntos importantes, etc.

3 páginas

Son apuntes de las prácticas de matlab que iba diciendo la profe en clase

1 página

Son apuntes de las prácticas de matlab que iba diciendo la profe en clase

3 páginas

He publicado nuevos apuntes de 1º Cálculo I: Apuntes-Tema-1.pdf

2 páginas

He publicado nuevos apuntes de 1º Cálculo I: Apuntes-Tema-2.-Sucesiones-y-Series.pdf

3 páginas

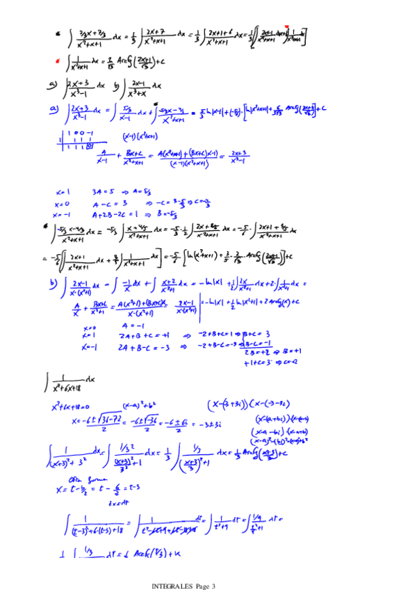
He publicado nuevos apuntes de 1º Cálculo I: Apuntes-tema-5.-Integracion.pdf

4 páginas

He publicado nuevos apuntes de 1º Cálculo I: Apuntes-tema-3.-Limites-y-continuidad.pdf

2 páginas

He publicado nuevos apuntes de 1º Cálculo I: Apuntes-tema-4.-Derivacion.pdf

2 páginas
Anónimo

@Anónimo

Es lo más parecido que vais a encontrar a un examen de Matlab a papel.

4 páginas
Anónimo

@Anónimo

Es lo más parecido que vais a encontrar a un examen de Matlab a papel.

5 páginas
Anónimo

@Anónimo

Es lo más parecido que vais a encontrar a un examen de Matlab a papel.

4 páginas

Resumen de fórmulas y demostraciones tema 4 derivadas cálculo I

3 páginas
Anónimo

@Anónimo

Es el equivalente a la 2º prueba de prueba de progreso de este año (25/26)

2 páginas
Anónimo

@Anónimo

Es el equivalente a parte de la 2º prueba de prueba de progreso de este año (25/26)

2 páginas

Resumen con fórmulas y explicaciones del tema de sucesiones y series de cálculo 1

2 páginas

He publicado nuevos apuntes de 1º Cálculo I: MiniResumentema3calculo1.pdf

2 páginas
Anónimo

@Anónimo

He publicado nuevos examenes de 1º Cálculo I: Primera Prueba de Progreso.pdf

2 páginas

He publicado nuevos examenes de 1º Cálculo I: Segunda-prueba-de-progreso.pdf

5 páginas

He publicado nuevos examenes de 1º Cálculo I: Primera-prueba-de-progreso.pdf

5 páginas
Anónimo

@Anónimo

He publicado nuevos apuntes de 1º Cálculo I: MATLAB-extraordinario-2021-RESUELTO.pdf

15 páginas

examenes

-

Exámenes MATLAB

Exámenes MATLAB (cálculo I) curso 2022/23

ExtraMatlabJun22v0.pdf
ExamenMatlabOrdinario.pdf
ExOrdMatlabC1.pdf

He publicado nuevos practicas de 1º Cálculo I: EXAMENES-RESUELTOS-matlab.pdf

8 páginas

He publicado nuevos apuntes de 1º Cálculo I: EXAMENES-MATLAB-RESUELTOS.pdf

8 páginas

He publicado nuevos test de 1º Cálculo I: Cuestionario-No2-Calculo-1.pdf

pdf

He publicado nuevos apuntes de 1º Cálculo I: Formulas-Trigonometricas.pdf

4 páginas

He publicado nuevos apuntes de 1º Cálculo I: TutoriaCalculo.pdf

11 páginas

He publicado nuevos apuntes de 1º Cálculo I: Ejercicio-de-integracion-para-nota-de-laboratorio-de-calculo.pdf

2 páginas

He publicado nuevos examenes de 1º Cálculo I: EXAMEN-MATEMATICAS-EVAU-2023.pdf

11 páginas

examenes

-

Pruebas de progreso

He publicado nuevos examenes de 1º Cálculo I: Pruebas de progreso

Prueba-1-CI.pdf
Prueba-2-CI.pdf
Prueba-3-CI.pdf

examenes

-

examenes otros años calculo I

He publicado nuevos examenes de 1º Cálculo I: examenes otros años calculo I

examen-junio-2019-resuelto.pdf
examen-enero-2022.pdf

He publicado nuevos apuntes de 1º Cálculo I: resumen-teoria-calculo-I.pdf

14 páginas

He publicado nuevos apuntes de 1º Cálculo I: chuletario-matlab-calculo-I.pdf

3 páginas

ejercicios

-

Ejercicios resueltos

He publicado nuevos ejercicios de 1º Cálculo I: Ejercicios resueltos

T1Ejerciciosconapuntes.pdf
Anónimo

@Anónimo

apuntes

-

TEMA 05. Integración y aplicaciones

He publicado nuevos apuntes de 1º Cálculo I: TEMA 05. Integración y aplicaciones

1pdfsamINMEDIATAS.pdf
3pdfsamRACIONALES.pdf
Ejercicios-de-Samuel-2010-a-entregar-2.pdf
Ejercicios-de-Samuel-2010-a-entregar-1.pdf
5pdfsamINMEDIATAS.pdf
3pdfsamINMEDIATAS.pdf
Anónimo

@Anónimo

apuntes

-

TEMA 04. Derivadas y aplicaciones

He publicado nuevos apuntes de 1º Cálculo I: TEMA 04. Derivadas y aplicaciones

Optimizacion-2010-2011-1.pdf
Derivadas-Samuel-4.pdf
Optimizacion-2010-2011-2.pdf
Derivadas-Samuel-2.pdf
Ejercicios-Taylor-grado.pdf
Derivadas-Samuel-5.pdf
Anónimo

@Anónimo

apuntes

-

TEMA 03. Límites y continuidad

He publicado nuevos apuntes de 1º Cálculo I: TEMA 03. Límites y continuidad

Tema-3-Limites-y-continuidad.pdf
Continuidad-grado.pdf
Tema-3.pdf
Ejercicios-Tema-3.pdf
Guion-tema-3.pdf
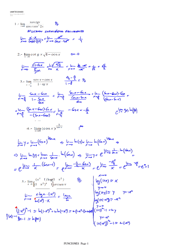
LIMITES-GRADO.pdf
Anónimo

@Anónimo

apuntes

-

TEMA 02. Sucesiones y series

He publicado nuevos apuntes de 1º Cálculo I: TEMA 02. Sucesiones y series

Apuntes.pdf
Guion-tema-1-.pdf
Guion-series-de-numeros-reales-y-series-de-potencia-16-17-.pdf
Documento-7-ene-2017-10-45.pdf
Ejercicios-Tema-2-Lista-completa.pdf
Examen-calculo-I-Tema-1.pdf
Anónimo

@Anónimo

apuntes

-

TEMA 01. Introducción

He publicado nuevos apuntes de 1º Cálculo I: TEMA 01. Introducción

Tema-1-Los-numeros-reales.pdf
tema-1.pdf
Previos.pdf
tema-1.pdf
Ejercicios-tema-1.pdf
Anónimo

@Anónimo

apuntes

-

Representación de funciones

He publicado nuevos apuntes de 1º Cálculo I: Representación de funciones

REPRESENTACION-DE-FUNCIONES-4.pdf
REPRESENTACION-DE-FUNCIONES-3.pdf
REPRESENTACION-DE-FUNCIONES-2.pdf
REPRESENTACION-DE-FUNCIONES-1.pdf
Anónimo

@Anónimo

practicas

-

Prácticas

He publicado nuevos practicas de 1º Cálculo I: Prácticas

Miniatura no disponible
biseccion.m
Miniatura no disponible
runge.p
Miniatura no disponible
funcion01.m
Miniatura no disponible
dfuncion.m
Miniatura no disponible
funcionpuntofijo.m
Miniatura no disponible
newtonraphson.m
Anónimo

@Anónimo

apuntes

-

Apuntes

He publicado nuevos apuntes de 1º Cálculo I: Apuntes

Trabajo2.pdf
Ecuaciones-de-las-conicas.pdf
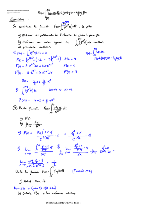
Ejercicios-teorema-fundamental.pdf
Trabajo2.pdf
Trabajo3.pdf
TRABAJO1.pdf
Anónimo

@Anónimo

examenes

-

Exámenes resueltos desde 2009

He publicado nuevos examenes de 1º Cálculo I: Exámenes resueltos desde 2009

2009-6.pdf
2009-2.pdf
2009-3.pdf
Dic-ITI-2010-1.pdf
2009-5.pdf
2009-4.pdf
Anónimo

@Anónimo

practicas

-

Matlab

He publicado nuevos practicas de 1º Cálculo I: Matlab

chuletario-matlab-1.pdf
chuletario-matlab-3.pdf
chuletario-matlab-2.pdf
Anónimo

@Anónimo

apuntes

-

APOYO FUNCIONES

He publicado nuevos apuntes de 1º Cálculo I: APOYO FUNCIONES

EJERCICIOS-CONTINUIDAD-Y-VARIABILIDAD.pdf
LIMITES-DE-FUNCIONES-CONTINUIDADES-DERIVADAS-etc.pdf
Anónimo

@Anónimo

apuntes

-

APOYO POLINOMIO TAYLOR

He publicado nuevos apuntes de 1º Cálculo I: APOYO POLINOMIO TAYLOR

POLINOMIO-DE-TAYLOR.pdf
EJERCICIO-POLINOMIO-DE-TAYLOR.pdf
Anónimo

@Anónimo

apuntes

-

APOYO SUCESIONES

He publicado nuevos apuntes de 1º Cálculo I: APOYO SUCESIONES

SUCESIONES.pdf
EJERCICIOS-SUCESIONES.pdf
Anónimo

@Anónimo

apuntes

-

APOYO NÚMEROS COMPLEJOS

He publicado nuevos apuntes de 1º Cálculo I: APOYO NÚMEROS COMPLEJOS

EJERCICIOS-DE-COMPLEJOS.pdf
INTRODUCCION-A-LOS-NUMEROS-COMPLEJOS.pdf
Anónimo

@Anónimo

apuntes

-

APOYO INTEGRALES

He publicado nuevos apuntes de 1º Cálculo I: APOYO INTEGRALES

INTEGRALES.pdf
EJERCICIOS-INTEGRALES.pdf

ejercicios

-

Ejercicios

He publicado nuevos ejercicios de 1º Cálculo I: Ejercicios

Ejercicios-Tema-3.pdf
Ejercicios-Tema-4.pdf
Ejercicios-Tema-1.pdf
Ejercicios-Tema-2.pdf

apuntes

-

Apuntes

He publicado nuevos apuntes de 1º Cálculo I: Apuntes

Apuntes-Tema-3.pdf
Apuntes-Tema-4.pdf
Apuntes-Tema-5.pdf
Apuntes-Tema-1.pdf

He publicado nuevos apuntes de 1º Cálculo I: Resumen-Temas-1-5.pdf

6 páginas

He publicado nuevos apuntes de 1º Cálculo I: Resumen-Temas-1-y-2.pdf

12 páginas

practicas

-

Matlab

He publicado nuevos practicas de 1º Cálculo I: Matlab

Practica1.pdf
Sesion-2.pdf
Fibonacci.pdf
Cosas-Varias.pdf
Sesion-3.pdf

apuntes

-

Me_Llamo_Earl- Calculo 1

He publicado nuevos apuntes de 1º Cálculo I: Me_Llamo_Earl- Calculo 1

Examenes-Calculo-1part1.pdf
Parametrizacion-de-curvas.pdf
Libro-de-integrales-resueltas.pdf
Examenes-Calculo-1part2.pdf
integracion.pdf
Examenes-Calculo-1part4.pdf