Todo
Apuntes
Ejercicios
Exámenes
chevron_left
chevron_right

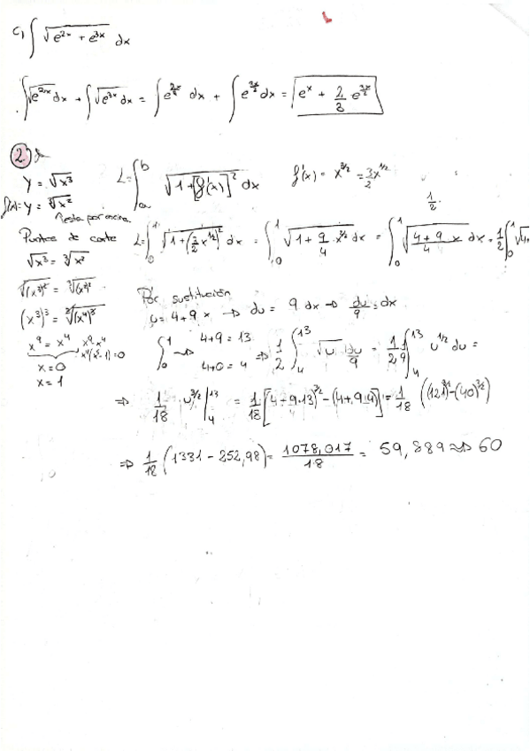
He publicado nuevos examenes de 1º Cálculo I: Resuelto_Recu-PEI1-enero2023.pdf

2 páginas

He publicado nuevos examenes de 1º Cálculo I: Resuelto_PEI2-enero2023.pdf

4 páginas

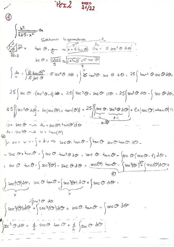
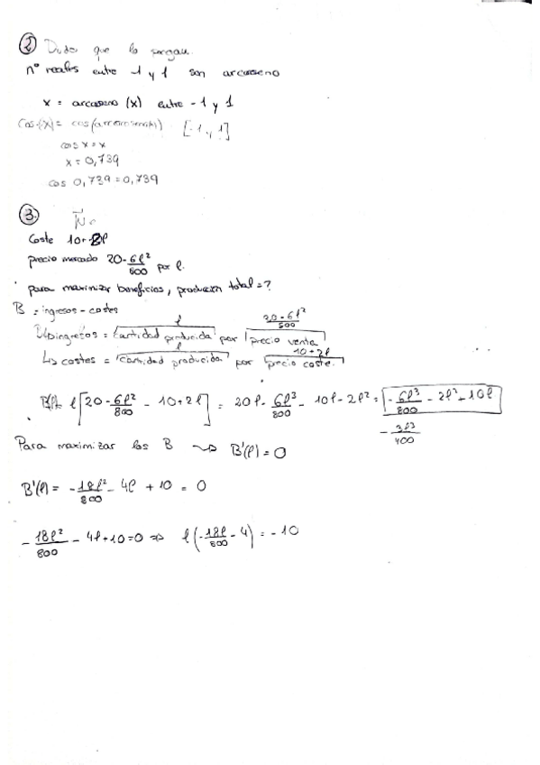
He publicado nuevos examenes de 1º Cálculo I: Resuelto_PEI2-enero2022.pdf

4 páginas

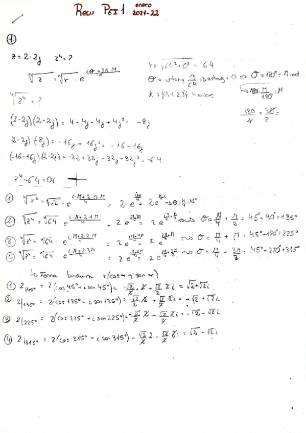
He publicado nuevos examenes de 1º Cálculo I: Resuelto_Recu-PEI-1enero-2022.pdf

3 páginas

apuntes

-

Resúmenes Temas

He publicado nuevos apuntes de 1º Cálculo I: Resúmenes Temas

Resumen-Tema-0.pdf
Resumen-Tema-1-3.pdf
Resumen-Tema-11.pdf
Resumen-Tema-12.pdf
Resumen-Tema-2-1.pdf
Resumen-Tema-223-1.pdf

He publicado nuevos apuntes de 1º Cálculo I: Apuntes-Calculo-I-2.pdf

24 páginas

apuntes

-

Exámenes

He publicado nuevos apuntes de 1º Cálculo I: Exámenes

PEI12-nov19-.pdf
PEI1-2-dic20-.pdf
PEI2-2-enero22-.pdf
PEI2-2mod-covid-feb21-.pdf
PEI22-enero20-.pdf
PEI12-nov21-.pdf

examenes

-

Modelos examen PEI1

He publicado nuevos examenes de 1º Cálculo I: Modelos examen PEI1

P12019-2020.pdf
PPP1diciembre.pdf

examenes

-

Modelos examen PEI2

He publicado nuevos examenes de 1º Cálculo I: Modelos examen PEI2

PPP2.pdf
PPP02.pdf

ejercicios

-

EJERCICIOS CALCULO I

He publicado nuevos ejercicios de 1º Cálculo I: EJERCICIOS CALCULO I

Ej-taylor.pdf
Ej.pdf
EJTema3-4enunciados.pdf
EJTema3-2enunciados.pdf
¡Estás al día!

¡Estás al día!

Has visto todos los archivos