Todo
Apuntes
Ejercicios
Exámenes
Prácticas
Test
chevron_left
chevron_right

He publicado nuevos examenes de 1º Cálculo II : Cuestionario-3.pdf

3 páginas

He publicado nuevos examenes de 1º Cálculo II : Cuestionario-1.pdf

4 páginas

He publicado nuevos examenes de 1º Cálculo II : Cuestionario-2.pdf

5 páginas
Anónimo

@Anónimo

He publicado nuevos apuntes de 1º Cálculo II : RESUMEN-TOPOLOGIA.pdf

Miniatura no disponible
1 página

apuntes

-

Apuntes matlab

He publicado nuevos apuntes de 1º Cálculo II : Apuntes matlab

Apuntesintegrales.pdf
Apunteslimites.pdf
Apuntesoptimizacion.pdf
Apuntesrepresentacion.pdf
CILINDRO.pdf
ESFERA.pdf

examenes

-

Solucion-Examen-Matlab-2023-24

Están tanto el pdf con la resolución + enunciados para que se pueda copiar y pegar, como los propios archivos de Matlab. Si se descarga la función directamente de wuolah puede que le cambie el nombre y no funcione, así que recomiendo pegarla del pdf

SOLUCIONES-EXAMEN-MATLAB-CALCULO-II-23-24.pdf
Miniatura no disponible
resuelvolimites.m
Miniatura no disponible
c2ej1.m
Miniatura no disponible
c2ej2.m
Miniatura no disponible
c2ej3.m
Miniatura no disponible
c2ej4.m

examenes

-

Examen Matlab 2023-24

Examen matlab ordinario (aprobado)

Miniatura no disponible
c2ej1.m
Miniatura no disponible
c2ej2.m
Miniatura no disponible
c2ej3.m
Miniatura no disponible
c2ej4.m
Miniatura no disponible
resuelvolimites.m

apuntes

-

APUNTES CALCULO II

Apuntes teoría calculo II

Apuntes-Tema-1.pdf
Apuntes-Tema-2.pdf
Apuntes-Tema-3.pdf
Apuntes-Tema-4.pdf
Apuntes-Tema-5.pdf
Apuntes-Tema-6.pdf

apuntes

-

Teoría de Cálculo 2

He publicado nuevos apuntes de 1º Cálculo II : Teoría de Cálculo 2

Tema-6C2.pdf
Tema-5C2.pdf
Tema-4C2.pdf
Tema-3C2.pdf
Tema-2C2.pdf
Tema-1C2.pdf

He publicado nuevos apuntes de 1º Cálculo II : Funciones-de-varias-variables..pdf

20 páginas

He publicado nuevos ejercicios de 1º Cálculo II : Ejercicios-optimizacion..pdf

16 páginas

He publicado nuevos apuntes de 1º Cálculo II : Derivadas-parciales-y-diferenciabilidad..pdf

23 páginas

He publicado nuevos apuntes de 1º Cálculo II : Resumen-MATLAB-Calculo-II.pdf

2 páginas

He publicado nuevos apuntes de 1º Cálculo II : Integrales-sobre-curvas.pdf

20 páginas

He publicado nuevos apuntes de 1º Cálculo II : Optimizacion..pdf

20 páginas

He publicado nuevos ejercicios de 1º Cálculo II : Ejercicios-de-integrales-sobre-curvas..pdf

5 páginas

He publicado nuevos apuntes de 1º Cálculo II : Integrales-Multiples..pdf

15 páginas

He publicado nuevos apuntes de 1º Cálculo II : Ejercicios-Integrales-Multiples..pdf

6 páginas

He publicado nuevos examenes de 1º Cálculo II : Examenes-repaso.pdf

3 páginas

He publicado nuevos ejercicios de 1º Cálculo II : Ejercicios-derivadas-parciales..pdf

22 páginas

He publicado nuevos ejercicios de 1º Cálculo II : Ejercicios-introductorios.pdf

8 páginas

He publicado nuevos apuntes de 1º Cálculo II : Integrales-sobre-superficies..pdf

17 páginas

He publicado nuevos ejercicios de 1º Cálculo II : Ejercicios-funciones-de-varias-variables..pdf

11 páginas

He publicado nuevos ejercicios de 1º Cálculo II : Ejercicios-de-integrales-de-superficie..pdf

9 páginas

He publicado nuevos examenes de 1º Cálculo II : Examen-Matlab.pdf

7 páginas

practicas

-

Scripts Matlab

He publicado nuevos practicas de 1º Cálculo II : Scripts Matlab

DefineMatriz.pdf
DetJacobiano.pdf
Integrales.pdf
MiBotella.pdf
MiImpresion.pdf
Optimizacion.pdf

He publicado nuevos practicas de 1º Cálculo II : EJERCICIO-3-PRACTICA-2-CALCULO-II-TOPOLOGIA-2024.pdf

4 páginas

test

-

Cuestionarios

He publicado nuevos test de 1º Cálculo II : Cuestionarios

Cuestionario-1.pdf
cuestionario-3.pdf
CUESTIONARIO-2.pdf

He publicado nuevos apuntes de 1º Cálculo II : FormulasConicasCuadricas.pdf

2 páginas

He publicado nuevos apuntes de 1º Cálculo II : Matlab-chuletario.pdf

2 páginas

He publicado nuevos apuntes de 1º Cálculo II : Esquema-COMPLETO.pdf

6 páginas

ejercicios

-

Ejercicios Temas 1 al 5

He publicado nuevos ejercicios de 1º Cálculo II : Ejercicios Temas 1 al 5

EjerciciosT1.pdf
EjerciciosT2.pdf
EjerciciosT3.pdf
EjerciciosT4.pdf
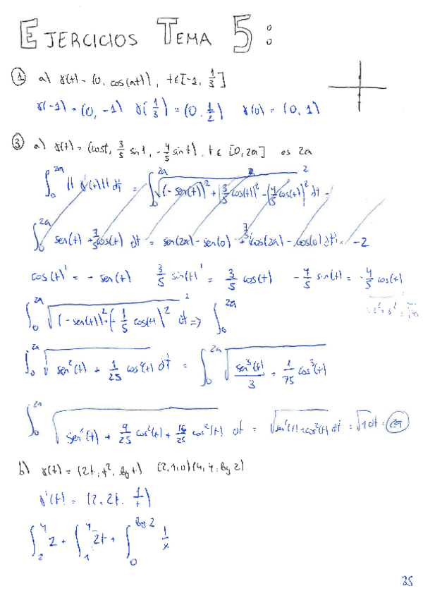
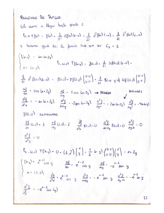
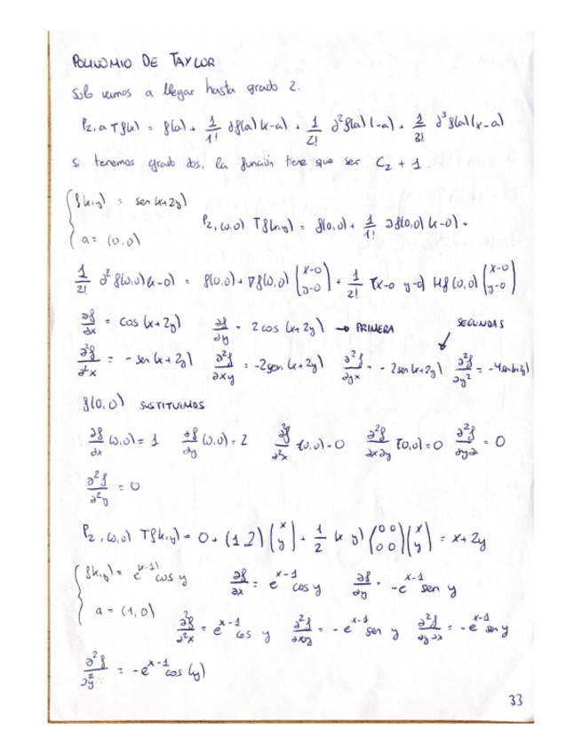
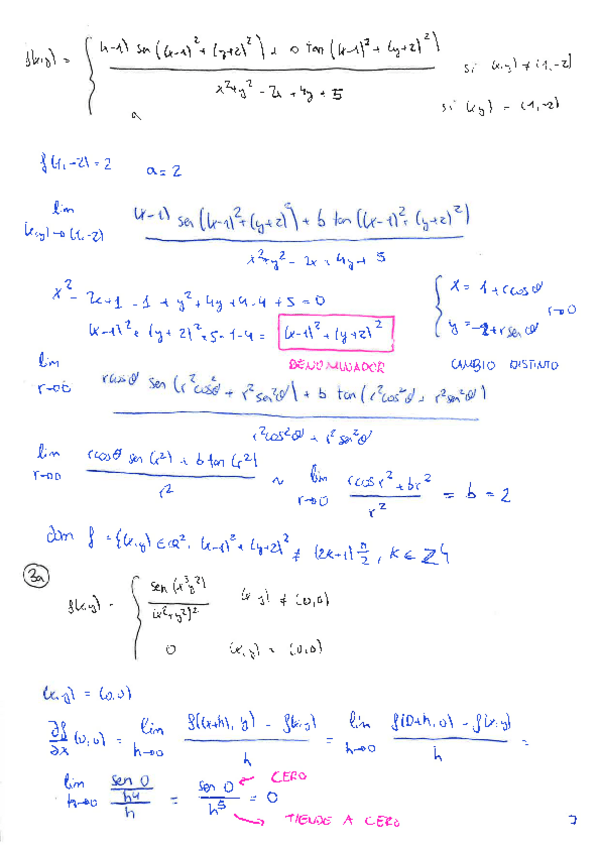
EjerciciosT5.pdf

apuntes

-

Apuntes con ejemplos por temas

Apuntes de David

Tema1.pdf
Tema2.pdf
Tema3.pdf
Tema4.pdf
Tema5.pdf
Tema6.pdf

He publicado nuevos apuntes de 1º Cálculo II : donde-encontrar-las-cosas-Matlab.docx

word

He publicado nuevos test de 1º Cálculo II : CUESTIONARIO3.pdf

4 páginas

He publicado nuevos test de 1º Cálculo II : CUESTIONARIO2REP.pdf

6 páginas

He publicado nuevos test de 1º Cálculo II : CUESTIONARIO2.pdf

7 páginas

He publicado nuevos examenes de 1º Cálculo II : EXAMEN-MATLAB-CALCULO-II.pdf

6 páginas

examenes

-

Examenes de otros años

He publicado nuevos examenes de 1º Cálculo II : Examenes de otros años

CIIeml2021.pdf
CIIExtraMatlab2021.pdf
CIIOrdinario20211.pdf
ExamenFinalJulio.pdf
Extra2019.pdf
FinalExtraordinario.pdf
Anónimo

@Anónimo

He publicado nuevos apuntes de 1º Cálculo II : Teoria-y-ejercicios-de-todo-CII.pdf

64 páginas

He publicado nuevos ejercicios de 1º Cálculo II : CII-Ejercicios-Repaso.pdf

16 páginas

apuntes

-

Apuntes y Ejercicios Resueltos

He publicado nuevos apuntes de 1º Cálculo II : Apuntes y Ejercicios Resueltos

CII-T2.pdf
CII-T5.pdf
CII-T4.pdf
CII-T6.pdf
CII-T3.pdf
CII-T1.pdf

He publicado nuevos apuntes de 1º Cálculo II : Resumen-CII.pdf

7 páginas

He publicado nuevos examenes de 1º Cálculo II : CII-Examenes-resueltos.pdf

24 páginas

He publicado nuevos apuntes de 1º Cálculo II : Apuntes-CII-T.pdf

15 páginas

He publicado nuevos apuntes de 1º Cálculo II : Apuntes-CII-T.pdf

9 páginas

He publicado nuevos apuntes de 1º Cálculo II : Aputes-CII-T.pdf

19 páginas

He publicado nuevos apuntes de 1º Cálculo II : Apuntes-CII-T.pdf

17 páginas

He publicado nuevos apuntes de 1º Cálculo II : Apuntes-CII-T.pdf

17 páginas

He publicado nuevos apuntes de 1º Cálculo II : Apuntes-CII-T.pdf

14 páginas

He publicado nuevos apuntes de 1º Cálculo II : Ejer-CII-T.pdf

18 páginas

He publicado nuevos apuntes de 1º Cálculo II : Ejer-CII-T.pdf

6 páginas

He publicado nuevos apuntes de 1º Cálculo II : Ejer-CII-T.pdf

12 páginas

He publicado nuevos apuntes de 1º Cálculo II : Ejer-CII-T.pdf

12 páginas

He publicado nuevos apuntes de 1º Cálculo II : Ejer-CII-T.pdf

7 páginas

He publicado nuevos examenes de 1º Cálculo II : 2parcial-Jorge-Moreno.pdf

4 páginas

He publicado nuevos apuntes de 1º Cálculo II : Resumenes.pdf

10 páginas

apuntes

-

Apuntes y ejercicios

He publicado nuevos apuntes de 1º Cálculo II : Apuntes y ejercicios

Apuntes-y-ejercicios-Tema-3.pdf
Apuntes-y-ejercicios-Tema-2.pdf
Apuntes-y-ejercicios-Tema-1.pdf
Anónimo

@Anónimo

He publicado nuevos examenes de 1º Cálculo II : Examen-Parcial.pdf

4 páginas

He publicado nuevos practicas de 1º Cálculo II : Todas-las-practicas.pdf

10 páginas
¡Estás al día!

¡Estás al día!

Has visto todos los archivos