user_2393238
TEMA-3-PARTE-7.pdf
1 página
Apuntes - TEMA-1-INTRODUCCION-A-LAS-ED.pdf
pdf
9 páginas
45
0
Apuntes - TEMA-2-ED-DE-PRIMER-ORDEN.pdf
20 páginas
30
Apuntes - Libro-calculo-II.pdf
200 páginas
23
Apuntes - PROBLEMAS-MEZCLAS-NEWTON-Y-T.pdf
10 páginas
19
Apuntes - Resumen-parcial-2.pdf
20
Apuntes - Tema-1.pdf
27 páginas
2
Apuntes - Temas-4-y-5.pdf
87 páginas
10
Apuntes - Tema-2.pdf
56 páginas
9
Apuntes - Resumen-parcial-2-practica.pdf
12
Apuntes - CUESTIONARIO.pdf
4
Apuntes - CUESTIONARIO-2.pdf
Apuntes - tema3.pdf
138 páginas
Apuntes - RESUMEN-PARCIAL-2.pdf
Apuntes - REPASO-PARCIAL-1.pdf
1
Apuntes - CUESTIONARIO-3.pdf
3
Apuntes - CUESTIONARIO-4.pdf
Apuntes - CUESTIONARIO-5.pdf
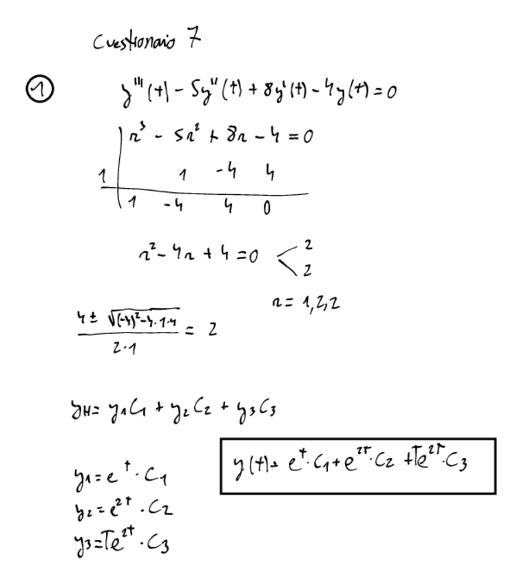
Apuntes - CUESTIONARIO-7.pdf
Apuntes - CUESTIONARIO-11.pdf
Apuntes - RESUMEN-CLASE-ANTES-PARCIAL-2.pdf