chevron_left
chevron_right
Todo
Apuntes
chevron_left
chevron_right

apuntes

-

Calculo 2 apuntes

He publicado nuevos apuntes de 2º Cálculo II: Calculo 2 apuntes

espaciovectorial.pdf
funcioneslimitesycontinuidadClculoII.pdf
transflineales.pdf

He publicado nuevos apuntes de 2º Cálculo II: Derivadas.pdf

3 páginas

He publicado nuevos apuntes de 2º Cálculo II: Algebra-lineal.pdf

1 página

He publicado nuevos apuntes de 2º Cálculo II: Matrices.pdf

5 páginas

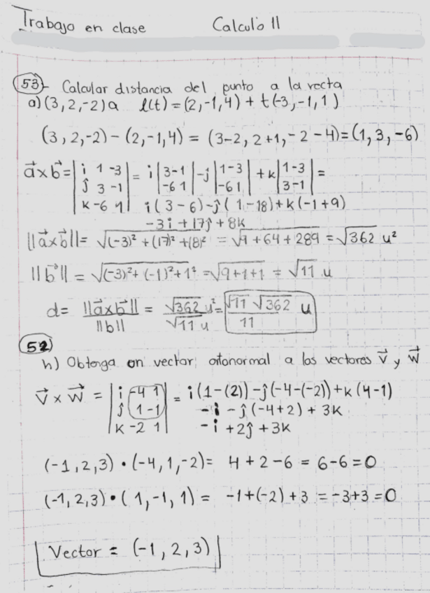
He publicado nuevos apuntes de 2º Cálculo II: Trabajo.pdf

4 páginas

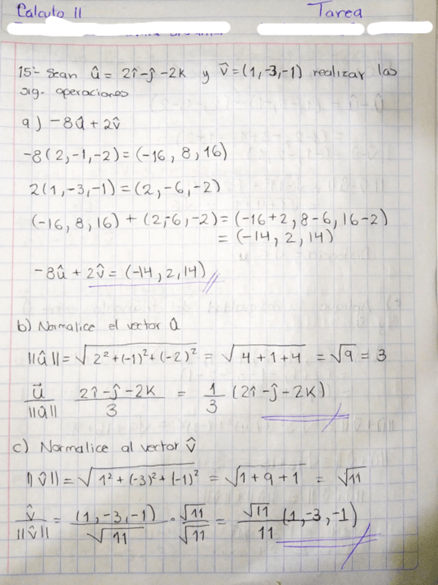
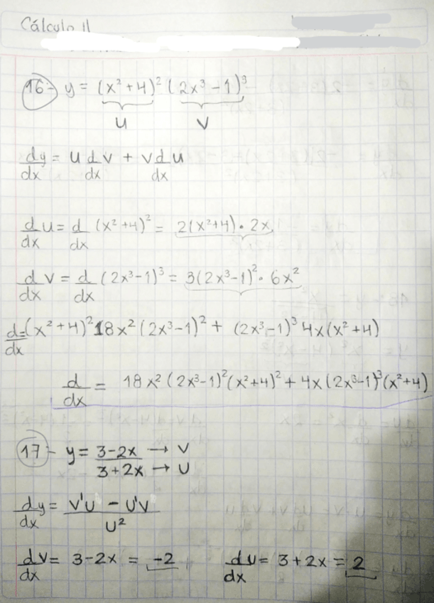
He publicado nuevos apuntes de 2º Cálculo II: Tarea.pdf

4 páginas
¡Estás al día!

¡Estás al día!

Has visto todos los archivos