chevron_left
chevron_right
Todo
Ejercicios
Exámenes
PEC
chevron_left
chevron_right

examenes

-

CERTAMENES ANTIGUOS

He publicado nuevos examenes de 1º Cálculo II: CERTAMENES ANTIGUOS

C1-certamen1trimestre12011.pdf
C1-certamen1trimestre12014.pdf
C1-certamen1trimestre22013.pdf
C1-certamen1trimestre32010.pdf
C1-pautacertamen1plev2014.pdf
C1-pautacertamen1trimestre22012.pdf

He publicado nuevos ejercicios de 1º Cálculo II: Practica-9.pdf

2 páginas

He publicado nuevos ejercicios de 1º Cálculo II: Practica-8.pdf

2 páginas

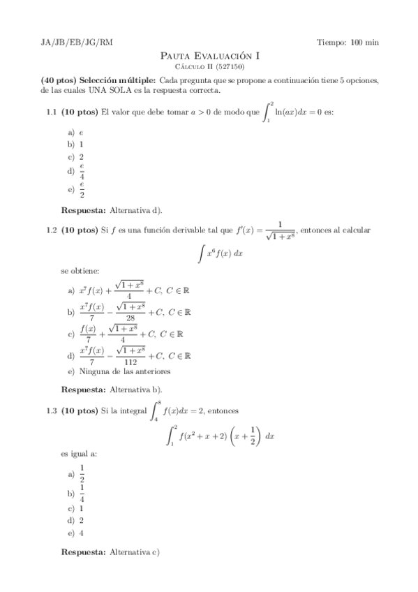
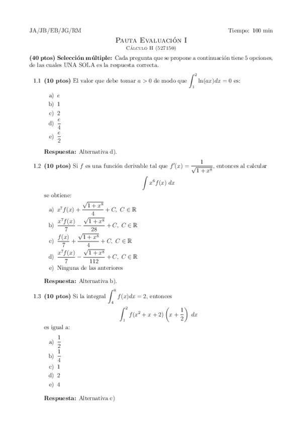
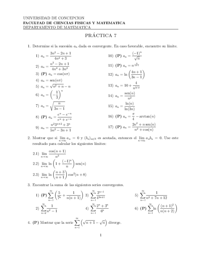
He publicado nuevos ejercicios de 1º Cálculo II: Practica-7.pdf

2 páginas

He publicado nuevos ejercicios de 1º Cálculo II: Practica-6.pdf

2 páginas

He publicado nuevos ejercicios de 1º Cálculo II: Practica-5.pdf

3 páginas

He publicado nuevos ejercicios de 1º Cálculo II: Practica-3.pdf

2 páginas

He publicado nuevos ejercicios de 1º Cálculo II: Practica-4.pdf

2 páginas

He publicado nuevos ejercicios de 1º Cálculo II: Practica-2.pdf

3 páginas

He publicado nuevos ejercicios de 1º Cálculo II: PRACTICA-1.pdf

2 páginas

He publicado nuevos pec de 1º Cálculo II: SYLLABUS-Cal-II-S-2-2022.pdf

7 páginas

He publicado nuevos examenes de 1º Cálculo II: Pauta-Certamen-2.pdf

4 páginas

He publicado nuevos examenes de 1º Cálculo II: Pauta-Certamen-1-C2.pdf

3 páginas
¡Estás al día!

¡Estás al día!

Has visto todos los archivos