Todo
Apuntes
chevron_left
chevron_right

He publicado nuevos apuntes de 1º Cálculo II: Tema-4-repaso-examen.pdf

7 páginas

He publicado nuevos apuntes de 1º Cálculo II: Tema-3-repaso-examen.pdf

15 páginas

He publicado nuevos apuntes de 1º Cálculo II: Tema-2-repaso-limites.pdf

4 páginas

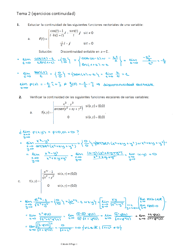
He publicado nuevos apuntes de 1º Cálculo II: Tema-2-repaso-continuidad.pdf

4 páginas

He publicado nuevos apuntes de 1º Cálculo II: Tema-1-ejercicios-repaso.pdf

2 páginas

He publicado nuevos apuntes de 1º Cálculo II: Tema-5-Integrales dobles-Calculo-II.pdf

12 páginas

He publicado nuevos apuntes de 1º Cálculo II: Tema-3-ejercicios-derivadas-parciales-y-diferenciales.pdf

16 páginas

Límites

6 páginas

Continuidad

2 páginas

Dominios

8 páginas
¡Estás al día!

¡Estás al día!

Has visto todos los archivos