chevron_left
chevron_right
Todo
Apuntes
Ejercicios
chevron_left
chevron_right

He publicado nuevos ejercicios de 1º Cálculo II: Ejercicios-EDOS-2-orden.pdf

6 páginas

He publicado nuevos ejercicios de 1º Cálculo II: Ejercicios-EDOS-1-orden.pdf

21 páginas
Anónimo

@Anónimo

He publicado nuevos apuntes de 1º Cálculo II: ilovepdfmerged.pdf

15 páginas

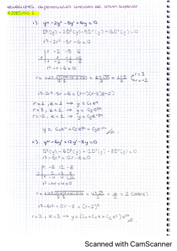
He publicado nuevos ejercicios de 1º Cálculo II: Ejercicios-ecuaciones-diferenciales-de-orden-superior.pdf

26 páginas

He publicado nuevos ejercicios de 1º Cálculo II: Ejercicios-ecuaciones-diferenciales-primer-orden.pdf

28 páginas

He publicado nuevos apuntes de 1º Cálculo II: Ejercicios-EDLs-de-orden-superior.pdf

9 páginas

He publicado nuevos apuntes de 1º Cálculo II: Ejercicios-transformada-de-Laplace.pdf

8 páginas

He publicado nuevos ejercicios de 1º Cálculo II: Ejercicios-EDOs-de-primer-orden.pdf

15 páginas

He publicado nuevos apuntes de 1º Cálculo II: sistemas-edos.pdf

2 páginas

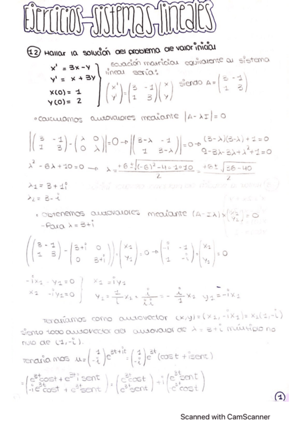
He publicado nuevos ejercicios de 1º Cálculo II: ejercicios-sistemas-lineales.pdf

5 páginas

apuntes

-

Ecuaciones diferenciales

He publicado nuevos apuntes de 1º Cálculo II: Ecuaciones diferenciales

Ecuaciones-diferenciales-teoria--ejercicios.pdf
Resumen-teoria-procedimientos-ecuaciones.pdf
ejercicios-ecuaciones-diferenciales.pdf

He publicado nuevos apuntes de 1º Cálculo II: Integral-de-superficie--teoria-y-ejerci.pdf

7 páginas

apuntes

-

Integral de línea

Cuenta con un documento con la teoría y algunos ejercicios y luego una hoja de ejercicios distintos.

Ejercicios-integral-de-linea.pdf
Teoria-con-ejemplos-integral-de-linea.pdf

Ejercicios resueltos de integral triple con el desarmo de los jacobianos.

7 páginas

Cuenta con teoría y ejercicios de integrales dobles además de un repaso de integrales de cálculo 1

10 páginas

He publicado nuevos apuntes de 1º Cálculo II: Ecuaciones-diferenciales.pdf

2 páginas
¡Estás al día!

¡Estás al día!

Has visto todos los archivos