chevron_left
chevron_right
Todo
Apuntes
Ejercicios
Exámenes
chevron_left
chevron_right

apuntes

-

EJERCICIOS RESUELTOS

He publicado nuevos apuntes de 1º Cálculo II: EJERCICIOS RESUELTOS

Practica-1.pdf
Practica-6-con-el-mejor-prof.pdf
PEI1032-con-el-mejor-prof.pdf
RPEI10526-con-el-mejor-prof.pdf

He publicado nuevos examenes de 1º Cálculo II: Parcial-1-2024-soluciones.pdf

2 páginas

He publicado nuevos examenes de 1º Cálculo II: Examenes-2024.pdf

2 páginas

He publicado nuevos apuntes de 1º Cálculo II: Calculo-2-Parte-2.pdf

20 páginas
Anónimo

@Anónimo

He publicado nuevos examenes de 1º Cálculo II: PEI-marzo-2023-resuelto.pdf

2 páginas
Anónimo

@Anónimo

He publicado nuevos apuntes de 1º Cálculo II: Apuntes-PEI-calculo-II.pdf

3 páginas

apuntes

-

Examenes resueltos

He publicado nuevos apuntes de 1º Cálculo II: Examenes resueltos

Examen-PEI1-2020-2021.pdf
Examen-PEI1-2018-2019.pdf
Examen-PEI1-2021-2022.pdf
Examen-PEI2-2020-2021.pdf
Examen-PEI2-2018-2019.pdf
Examen-PEI3-2018-2019.pdf

apuntes

-

Problema resueltos

He publicado nuevos apuntes de 1º Cálculo II: Problema resueltos

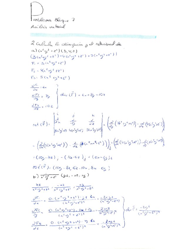
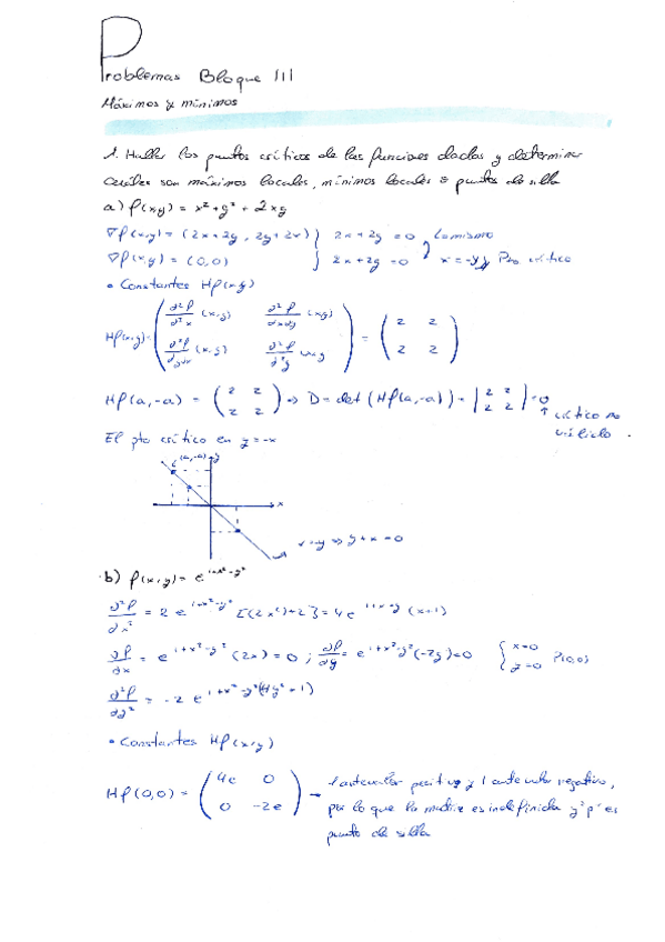
Problema-bloque-3.pdf
Problemas-bloque-2.pdf
Problemas-bloque-1.pdf
Problemas-bloque-4.pdf
Problemas-bloque-7.pdf
Anónimo

@Anónimo

apuntes

-

Presentaciones de teoría

He publicado nuevos apuntes de 1º Cálculo II: Presentaciones de teoría

Tema-2-2021-22-anotado3.pdf
Tema-3-2021-22-anotado2.pdf
Tema-4-2021-22-anotado2.pdf
Tema-5-2021-22-anotado2.pdf
Tema-6-2021-22-anotado1.pdf
Tema1-2015-16-print.pdf

apuntes

-

Hojas de ejercicios

He publicado nuevos apuntes de 1º Cálculo II: Hojas de ejercicios

Practica-32021-22.pdf
Practica-22021-22.pdf
Practica-12021-22.pdf
Anónimo

@Anónimo

ejercicios

-

Ejercicios Tema 7

He publicado nuevos ejercicios de 1º Cálculo II: Ejercicios Tema 7

Practica-72020-21.pdf
Indicacionessolp72020-21.pdf
Anónimo

@Anónimo

ejercicios

-

Ejercicios Tema 6

He publicado nuevos ejercicios de 1º Cálculo II: Ejercicios Tema 6

Practica-6.pdf
Indicacionessolp6-202021.pdf
Anónimo

@Anónimo

ejercicios

-

Ejercicios Tema 5

He publicado nuevos ejercicios de 1º Cálculo II: Ejercicios Tema 5

Practica-52020-211.pdf
Indicacionessolp5-202021.pdf

ejercicios

-

Ejercicios Tema 4

He publicado nuevos ejercicios de 1º Cálculo II: Ejercicios Tema 4

Practica-42020-21.pdf
Indicacionessolp42020-21.pdf
Anónimo

@Anónimo

ejercicios

-

Ejercicios Tema 3

He publicado nuevos ejercicios de 1º Cálculo II: Ejercicios Tema 3

Practica-32020-21.pdf
Indicacionessolp32020-211.pdf
Anónimo

@Anónimo

ejercicios

-

Ejercicios Tema 2

He publicado nuevos ejercicios de 1º Cálculo II: Ejercicios Tema 2

Indicacionessolp22020-21.pdf
Practica-22020-21.pdf
Anónimo

@Anónimo

ejercicios

-

Ejercicios Tema 1

He publicado nuevos ejercicios de 1º Cálculo II: Ejercicios Tema 1

Indicacionessolp12020-21.pdf
Practica-12020-21.pdf

apuntes

-

Mini resumen

He publicado nuevos apuntes de 1º Cálculo II: Mini resumen

Mini-resumen.pdf

apuntes

-

Apuntes completos por temas

He publicado nuevos apuntes de 1º Cálculo II: Apuntes completos por temas

Tema-4.pdf
Tema-1.pdf
Tema-5.pdf
Tema-2.pdf
Tema-3.pdf
Tema-6.pdf
Anónimo

@Anónimo

He publicado nuevos examenes de 1º Cálculo II: Calculo-2-Examenes-.pdf

12 páginas

He publicado nuevos apuntes de 1º Cálculo II: Calculo-2.pdf

13 páginas

He publicado nuevos apuntes de 1º Cálculo II: Teora.pdf

11 páginas

He publicado nuevos apuntes de 1º Cálculo II: Calculo-1.pdf

15 páginas

ejercicios

-

Cálculo2_Ejs

He publicado nuevos ejercicios de 1º Cálculo II: Cálculo2_Ejs

Ejstema4.pdf
Ejstema1.pdf
Ejstema7.pdf
Ejstema5.pdf
Ejstema2.pdf
Ejstema3.pdf

apuntes

-

Diapositivas teoría

He publicado nuevos apuntes de 1º Cálculo II: Diapositivas teoría

Leccion5Tema5CII.pdf
Leccion2Tema4CII.pdf
Leccion4Tema4CII.pdf
Leccion3Tema4CII1.pdf
Leccion1Tema4CII.pdf
Leccion6Tema5CII.pdf

ejercicios

-

Ejercicios resueltos

He publicado nuevos ejercicios de 1º Cálculo II: Ejercicios resueltos

Practica-4Ej1Ej5.pdf
P13-repaso.pdf
Practica4El12b18.pdf
Practica4Ej1921.pdf
Practica5.pdf
Practica4Ej612a.pdf

apuntes

-

Resumen cónicas y cuádricas Tema 1

He publicado nuevos apuntes de 1º Cálculo II: Resumen cónicas y cuádricas Tema 1

Resumencuadricas.pdf
Resumenconicas.pdf

apuntes

-

Apuntes Calculo 2

He publicado nuevos apuntes de 1º Cálculo II: Apuntes Calculo 2

ApuntesTema7.pdf
ApuntesTema6.pdf
ApuntesTema5.pdf

He publicado nuevos ejercicios de 1º Cálculo II: EjerciciosT45CAII1819sol.pdf

16 páginas

He publicado nuevos ejercicios de 1º Cálculo II: EjerciciosT123CAII1819sol.pdf

22 páginas

He publicado nuevos apuntes de 1º Cálculo II: CAIIResumen-contenidosT4-7.pdf

4 páginas

He publicado nuevos apuntes de 1º Cálculo II: CAIIResumen-contenidosT1-2.pdf

2 páginas

ejercicios

-

Soluciones Problemas por Temas

He publicado nuevos ejercicios de 1º Cálculo II: Soluciones Problemas por Temas

Indicacionessolp5.pdf
Indicacionessolp2.pdf
Indicacionessolp7.pdf
Indicacionessolp6-.pdf
Indicacionessolp4.pdf
Indicacionessolp1.pdf

ejercicios

-

Problemas por Temas

He publicado nuevos ejercicios de 1º Cálculo II: Problemas por Temas

Problemastema2.pdf
Problemastema5.pdf
Problemastema3.pdf
Problemastema1.pdf
Problemastema4.pdf
Problemastema6.pdf

He publicado nuevos apuntes de 1º Cálculo II: Miniresumen.pdf

2 páginas

He publicado nuevos apuntes de 1º Cálculo II: Macrorresumen Cálculo.pdf

62 páginas

He publicado nuevos apuntes de 1º Cálculo II: Macrorresumen Cálculo.pdf

62 páginas

apuntes

-

Apuntes de Academia Con Ejercicios Resueltos.

Teoría resumida con ejercicios resueltos.

Tema 1. Derivadas parciales..pdf
Tema 2. Aplicaciones geométricas de las parciales..pdf
Tema 3. Optimización de campos escalares.pdf
Tema 4. Campos vectoriales diferenciables (1).pdf
Tema 5. Integración múltiple..pdf
Tema 6. Integrales de línea..pdf

apuntes

-

Apuntes de Academia Con Ejercicios Resueltos.

Teoría resumida con ejercicios resueltos.

Tema 1. Derivadas parciales..pdf
Tema 2. Aplicaciones geométricas de las parciales..pdf
Tema 3. Optimización de campos escalares.pdf
Tema 4. Campos vectoriales diferenciables (1).pdf
Tema 5. Integración múltiple..pdf
Tema 6. Integrales de línea..pdf
¡Estás al día!

¡Estás al día!

Has visto todos los archivos