Todo
Apuntes
Preguntas
Ejercicios
Exámenes
chevron_left
chevron_right

Resumen de los temas 3, 4 y 5 (los que entran en el segundo parcial) de Cálculo II 24/25

4 páginas

apuntes

-

Apuntes, ejercicios y formularios - Cálculo II

Todos los apuntes y ejercicios de cálculo II, con los problemas resueltos paso a paso y explicados, además de la teoría

Formulario T1 (Resumen) - CII.pdf
Formulario T2 (Resumen) - CII.pdf
Formulario T3 (Resumen) - CII.pdf
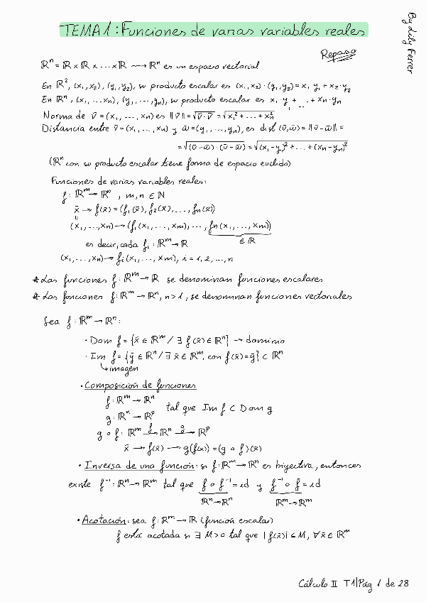
Tema 1. Funciones de varias variables reales.pdf
Tema 2. Integral doble.pdf
Tema 3. Integral de línea.pdf

ejercicios

-

Ejercicios

He publicado nuevos ejercicios de 1º Cálculo II: Ejercicios

Ejercicios-Segundo-parcial.pdf
Ejercicios-Varios.pdf

apuntes

-

Apuntes Tema2 al Tema6

He publicado nuevos apuntes de 1º Cálculo II: Apuntes Tema2 al Tema6

Apuntes-Tema3.pdf
Apuntes-Tema4.pdf
Apuntes-Tema5.pdf
Apuntes-Tema6.pdf
Apuntes-Tema2.pdf

He publicado nuevos apuntes de 1º Cálculo II: Tema-6-teoriahojas.pdf

16 páginas

He publicado nuevos apuntes de 1º Cálculo II: Tema-5-teoriahojas.pdf

11 páginas

He publicado nuevos apuntes de 1º Cálculo II: Resumen-calculo-II.pdf

4 páginas

He publicado nuevos apuntes de 1º Cálculo II: Tema-3-teoriahojas.pdf

10 páginas

He publicado nuevos apuntes de 1º Cálculo II: Tema-4-teoriahojas.pdf

9 páginas

He publicado nuevos apuntes de 1º Cálculo II: Tema-2-teoriahojas.pdf

7 páginas

He publicado nuevos apuntes de 1º Cálculo II: Tema-1-teoriahojas.pdf

12 páginas

He publicado nuevos apuntes de 1º Cálculo II: T.4-teoria-ejes.pdf

6 páginas

He publicado nuevos apuntes de 1º Cálculo II: Calculo-II-5-6-teoria-y-ejes.pdf

28 páginas

He publicado nuevos apuntes de 1º Cálculo II: Apuntes-Tema-1.pdf

4 páginas

examenes

-

Finales Resueltos

He publicado nuevos examenes de 1º Cálculo II: Finales Resueltos

julio-2016.pdf
febrero-2015.pdf
junio-2016.pdf
julio-2017.pdf
junio-2017.pdf

examenes

-

Exámenes Resueltos

He publicado nuevos examenes de 1º Cálculo II: Exámenes Resueltos

calculo2feb1516.pdf
calculo2jul1516.pdf
calculo2jul1314.pdf
calculo2feb1819.pdf
calculo2jul1718.pdf
calculo2jul1415.pdf

examenes

-

Exámenes Resueltos de clase

He publicado nuevos examenes de 1º Cálculo II: Exámenes Resueltos de clase

PruebaG2M2.pdf
G2M2.pdf

apuntes

-

apuntes de las clases

He publicado nuevos apuntes de 1º Cálculo II: apuntes de las clases

Clase-822021.pdf
clase-102.pdf
clase-112.pdf
clase-1502.pdf
clase-17-2.pdf
clase-182.pdf

examenes

-

Exámenes

He publicado nuevos examenes de 1º Cálculo II: Exámenes

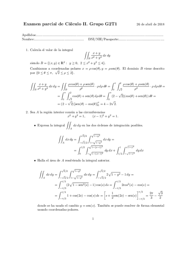
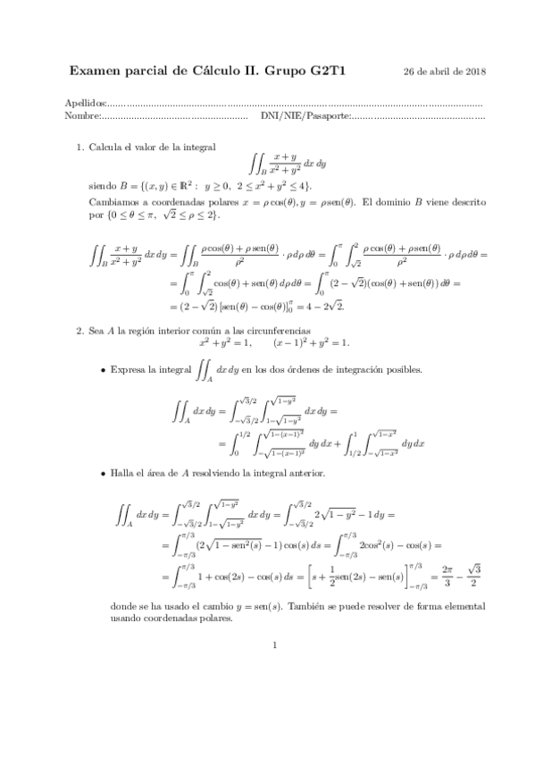
2018-03-22-Primer1Parcialsol.pdf
Parcial-Temas-5-y-6.pdf
2018-04-26-Segundo2Parcialsol.pdf
Primer-Parcial.pdf
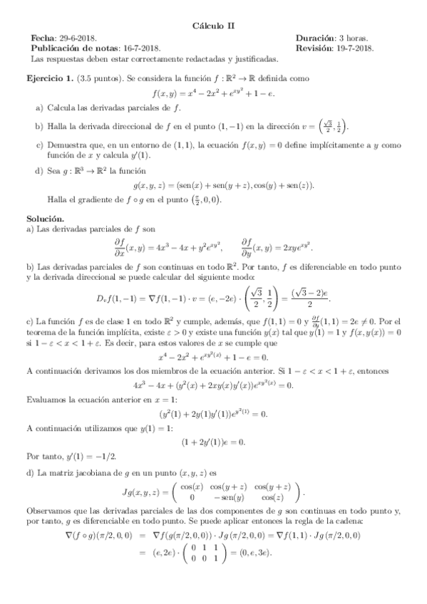
Julio2018.pdf
Final2019.pdf

He publicado nuevos apuntes de 1º Cálculo II: tema-4ejercicios.pdf

26 páginas

He publicado nuevos apuntes de 1º Cálculo II: apuntes-tema-6-ejercido.pdf

34 páginas

He publicado nuevos apuntes de 1º Cálculo II: apuntes-tema-5-calculo-II-1.pdf

28 páginas

He publicado nuevos apuntes de 1º Cálculo II: tema-4ejercicios.pdf

26 páginas

He publicado nuevos apuntes de 1º Cálculo II: APUNTES-CALCULO-II.pdf

12 páginas

He publicado nuevos apuntes de 1º Cálculo II: TEORIA-COMPLETA-TEMA-1.pdf

22 páginas

He publicado nuevos apuntes de 1º Cálculo II: PROBLEMAS-TEMA-1-1.pdf

17 páginas

He publicado nuevos apuntes de 1º Cálculo II: TEMA-2-teoriahojaEj2-3.pdf

21 páginas

He publicado nuevos apuntes de 1º Cálculo II: HOJA-3-INTEGRALES-DOBLES.pdf

19 páginas

apuntes

-

TEORIA T.3+HOJAEj 3

He publicado nuevos apuntes de 1º Cálculo II: TEORIA T.3+HOJAEj 3

TEORIA-T.pdf

CALCULO II COMPLETO

He subido la asignatura completa en un solo PDF (Toda la teoría + todos los ejercicios)

He publicado nuevos apuntes de 1º Cálculo II: CIRCUITOS-II-COMPLETO.pdf

28 páginas

apuntes

-

TEMARIO COMPLETO +EJERCICIOS

He publicado nuevos apuntes de 1º Cálculo II: TEMARIO COMPLETO +EJERCICIOS

INTRODUCCION.pdf
TEMA5Funciones-Analiticas.pdf
TEMA6Integral-Compleja.pdf
TEMA4Integral-Curvilinea.pdf
TEMA-3-Integrales-Dobles.pdf
TEMA-1-Calc-Dif-Varias-Variables-.pdf

He publicado nuevos apuntes de 1º Cálculo II: TEMA6Integral-Compleja.pdf

5 páginas

He publicado nuevos apuntes de 1º Cálculo II: TEMA5Funciones-Analiticas.pdf

7 páginas

He publicado nuevos apuntes de 1º Cálculo II: TEMA4Integral-Curvilinea.pdf

6 páginas

He publicado nuevos apuntes de 1º Cálculo II: TEMA-3-Integrales-Dobles.pdf

5 páginas

He publicado nuevos apuntes de 1º Cálculo II: INTRODUCCION.pdf

2 páginas

He publicado nuevos apuntes de 1º Cálculo II: TEMA-2-Calc-Dif-De-Funciones-Vect.pdf

6 páginas

He publicado nuevos apuntes de 1º Cálculo II: TEMA-1-Calc-Dif-Varias-Variables-.pdf

8 páginas

apuntes

-

TEORÍA TODOS LOS TEMAS

He publicado nuevos apuntes de 1º Cálculo II: TEORÍA TODOS LOS TEMAS

TEMA4Integral-Curvilinea.pdf
TEMA5Funciones-Analiticas.pdf
TEMA6Integral-Compleja.pdf

ejercicios

-

EJERCICIOS CALCULO II

He publicado nuevos ejercicios de 1º Cálculo II: EJERCICIOS CALCULO II

EJERCICIOS-TEMA3.pdf
EJERCICIOS-TEMA3-2.pdf
TAREA1-TEMA5.pdf
EJERCICIOS-TEMA4.pdf
TAREA2-TEMA5.pdf

He publicado nuevos apuntes de 1º Cálculo II: Resumen-de-todos-los-temas.pdf

8 páginas

apuntes

-

Soluciones oficiales ejercicios

He publicado nuevos apuntes de 1º Cálculo II: Soluciones oficiales ejercicios

TEMA-6solucion.pdf
TEMA-4solucion.pdf
TEMA-5solucion.pdf
TEMA-2solucion.pdf
TEMA-1solucion.pdf
TEMA-3solucion.pdf

apuntes

-

Apuntes de clase

He publicado nuevos apuntes de 1º Cálculo II: Apuntes de clase

TEMA-3.pdf
TEMA-6.pdf
TEMA-5.pdf
TEMA-2.pdf
TEMA-4.pdf
TEMA-1.pdf

He publicado nuevos apuntes de 1º Cálculo II: Resumen-Numeros-Complejos.pdf

4 páginas

He publicado nuevos apuntes de 1º Cálculo II: Resumen-Numeros-Complejos2.pdf

6 páginas

apuntes

-

Apuntes-Resumen Cálculo II

He publicado nuevos apuntes de 1º Cálculo II: Apuntes-Resumen Cálculo II

Resumen-Calculo-2-T3.pdf
Resumen-Calculo-2-T5.pdf

examenes

-

Exámenes Parciales Cálculo II

He publicado nuevos examenes de 1º Cálculo II: Exámenes Parciales Cálculo II

CII1819PARCIAL-SOL.pdf
CII1718PARCIAL-SOL.pdf
CII1718PARCIAL-SOL-2.pdf

examenes

-

Exámenes Finales Cálculo II

He publicado nuevos examenes de 1º Cálculo II: Exámenes Finales Cálculo II

CII1314JUN.pdf
CII1011ENE.pdf
CII0910JUN.pdf
CII1314JULSOL.pdf
CII0910JUL.pdf
CII1112ENE.pdf

ejercicios

-

Ejercicios Cálculo II

He publicado nuevos ejercicios de 1º Cálculo II: Ejercicios Cálculo II

Ejercicios-temas-3-4.pdf
Ejercicios-temas-5-6.pdf
Ejercicios-temas-3-4-soluciones.pdf
Ejercicios-temas-5-6-soluciones.pdf
Ejercicios-temas-1-2.pdf
Ejercicios-temas-1-2-soluciones.pdf
¡Estás al día!

¡Estás al día!

Has visto todos los archivos