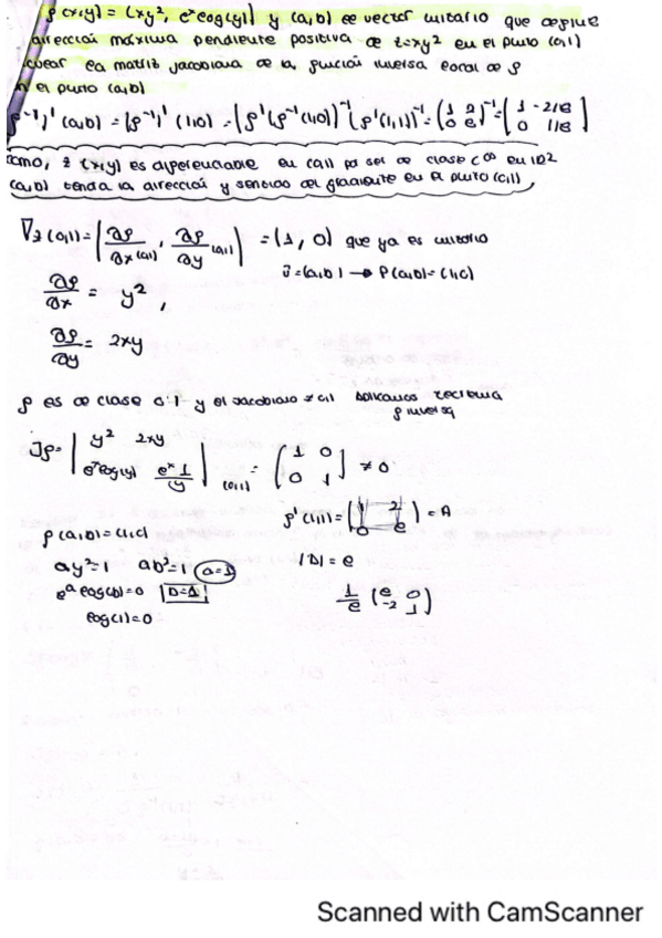
Todo
Apuntes
Ejercicios
Exámenes
PEC
chevron_left
chevron_right

He publicado nuevos apuntes de 1º Cálculo II: TEMA-1-Y-2-CALCULO-II.pdf

14 páginas

Resumen del Tema 1- Funciones de Varias Variables, de Cálculo II, con explicaciones y ejemplos de cada método

8 páginas

Propiedades trigonométricas (+truco del triangulo) y las pocas formulas que se deben saber para Calculo 2

6 páginas

apuntes

-

1º GITI- CÁLCULO II-APUNTES Y EJERCICIOS POR TEMAS

He publicado nuevos apuntes de 1º Cálculo II: 1º GITI- CÁLCULO II-APUNTES Y EJERCICIOS POR TEMAS

APUNTES-TEMA-1-CALCULO-II.pdf
EJERCICIOS-TEMA-1-CALCULO-II.pdf
APUNTES-TEMA-2-CALCULO-II.pdf
APUNTES-TEMA-3-CALCULO-II.pdf
APUNTES-TEMA-4-CALCULO-II.pdf
APUNTES-TEMA-5-CALCULO-II.pdf

He publicado nuevos apuntes de 1º Cálculo II: RESUMEN-CALCULO-II.pdf

15 páginas

Apuntes 24-25 a partir del Tema 3

5 páginas

He publicado nuevos apuntes de 1º Cálculo II: Calculo-II-no-incluye-topologia-Pape.pdf

16 páginas
Anónimo

@Anónimo

He publicado nuevos apuntes de 1º Cálculo II: Link-clase-Intensivo-Ruffo-Pape.pdf

1 página

He publicado nuevos apuntes de 1º Cálculo II: RegladelaCadenaFuncionCompuesta.pdf

3 páginas

apuntes

-

TODO TEORIA PAPE

He publicado nuevos apuntes de 1º Cálculo II: TODO TEORIA PAPE

Tema-0.pdf
Tema-1-Limites.pdf
Tema-2-Calculo-Diferencial.pdf
Tema-3-Teoremas.pdf
Tema-4-Maximos-y-Minimos.pdf
Tema-5-Integrales-Multiples.pdf

Apuntes 24-25 PEC1 (T1 y T2)

7 páginas

He publicado nuevos apuntes de 1º Cálculo II: PEC1-CALCULO-II.pdf

11 páginas

examenes

-

Recopilación de Examenes Con Solución

He publicado nuevos examenes de 1º Cálculo II: Recopilación de Examenes Con Solución

Recop-Pecs-2.pdf
Recop-Pecs-1.pdf

ejercicios

-

Ejercicios PEC-1 JC

He publicado nuevos ejercicios de 1º Cálculo II: Ejercicios PEC-1 JC

Ejercicios-Tema-1.pdf
Ejercicios-Tema-2.pdf

He publicado nuevos apuntes de 1º Cálculo II: resumenformulariocalculoII.pdf

12 páginas

He publicado nuevos ejercicios de 1º Cálculo II: calculo-ii-intensivo-jc-ejercicios.pdf

22 páginas

He publicado nuevos apuntes de 1º Cálculo II: calculo-ii-videos-intensivo-jc-temas-1-y-2.pdf

20 páginas

He publicado nuevos apuntes de 1º Cálculo II: Apuntes-de-Calculo-II.pdf

30 páginas

He publicado nuevos examenes de 1º Cálculo II: CalII-Septiembre-2005-soluciones.pdf

19 páginas

He publicado nuevos examenes de 1º Cálculo II: CalII-Junio-2004-soluciones.pdf

11 páginas

He publicado nuevos examenes de 1º Cálculo II: CalII-Febrero-2006-soluciones.pdf

18 páginas

He publicado nuevos examenes de 1º Cálculo II: CalII-Febrero-2005-soluciones.pdf

21 páginas

He publicado nuevos apuntes de 1º Cálculo II: formulario todo CÁLCULO II.pdf

6 páginas

He publicado nuevos apuntes de 1º Cálculo II: superficies importantes.pdf

1 página

He publicado nuevos apuntes de 1º Cálculo II: Integrales-triples-Calculo-II.pdf

9 páginas

He publicado nuevos apuntes de 1º Cálculo II: Calculo-II-completo.pdf

14 páginas

He publicado nuevos apuntes de 1º Cálculo II: FORMULARIO-TODO-CALCULO-II.pdf

4 páginas

He publicado nuevos apuntes de 1º Cálculo II: RESUMEN-TODO-CALCULO-II-RUFFO.pdf

24 páginas

He publicado nuevos apuntes de 1º Cálculo II: Tema 3: Diferenciabilidad + Ejercicios.pdf

33 páginas

He publicado nuevos apuntes de 1º Cálculo II: Tema 4: Integrales + Ejercicios.pdf

28 páginas

He publicado nuevos apuntes de 1º Cálculo II: CALCULO-II.pdf

10 páginas

He publicado nuevos apuntes de 1º Cálculo II: Extremos-condicionados-Calculo-II.pdf

10 páginas

He publicado nuevos apuntes de 1º Cálculo II: Calculo-de-extremos-3-variables-Calculo.pdf

5 páginas

He publicado nuevos apuntes de 1º Cálculo II: Ejercicios-Extremos-relativos-Calculo-II.pdf

15 páginas

He publicado nuevos apuntes de 1º Cálculo II: resumen-tema-3.pdf

4 páginas

He publicado nuevos apuntes de 1º Cálculo II: Teorema-funcion-implicita.pdf

8 páginas

He publicado nuevos apuntes de 1º Cálculo II: Taylor-CalculoII.pdf

14 páginas

He publicado nuevos apuntes de 1º Cálculo II: Regla-Cadena-Calculo-II.pdf

10 páginas

He publicado nuevos apuntes de 1º Cálculo II: Ejercicios-Leibniz.pdf

8 páginas

He publicado nuevos apuntes de 1º Cálculo II: Resumen-diferenciablidiad.pdf

2 páginas

He publicado nuevos apuntes de 1º Cálculo II: Derivadas-parciales-de-orden-superior-.pdf

13 páginas

He publicado nuevos apuntes de 1º Cálculo II: Leibniz-Calculo-II.pdf

1 página

He publicado nuevos apuntes de 1º Cálculo II: Derivada-direccional-Calculo-II.pdf

8 páginas

He publicado nuevos apuntes de 1º Cálculo II: Ejercicios-diferenciabilidad-derivadas.pdf

11 páginas

He publicado nuevos apuntes de 1º Cálculo II: Envolvente-Calculo-II.pdf

4 páginas

He publicado nuevos apuntes de 1º Cálculo II: Plano-tangente-Calculo-II.pdf

7 páginas

He publicado nuevos apuntes de 1º Cálculo II: Continuidad-Calculo-II.pdf

5 páginas

He publicado nuevos apuntes de 1º Cálculo II: Limites-Calculo-II.pdf

16 páginas

He publicado nuevos apuntes de 1º Cálculo II: Conceptos-importantes.pdf

17 páginas

He publicado nuevos apuntes de 1º Cálculo II: Repaso2-Pec-Calculo-II.pdf

4 páginas

He publicado nuevos apuntes de 1º Cálculo II: Repaso-Pec-CalculoII.pdf

8 páginas

He publicado nuevos apuntes de 1º Cálculo II: Teorema-de-la-funcion-Inversa-II-Calcu.pdf

6 páginas

He publicado nuevos apuntes de 1º Cálculo II: Teorema-funcionInversa-CalculoII.pdf

7 páginas

He publicado nuevos apuntes de 1º Cálculo II: Calculo-II-Topologia.pdf

11 páginas
Anónimo

@Anónimo

He publicado nuevos apuntes de 1º Cálculo II: Apuntes-ruffo-Calculo-II.pdf

186 páginas

He publicado nuevos apuntes de 1º Cálculo II: Tema 2: Derivación (Sucio) + Ejercicios.pdf

32 páginas

He publicado nuevos apuntes de 1º Cálculo II: FORMULARIO-T5-Curvas.pdf

2 páginas

He publicado nuevos apuntes de 1º Cálculo II: FORMULARIO-T4-Integrales.pdf

2 páginas

He publicado nuevos apuntes de 1º Cálculo II: Tema 1: Límites Y Continuidad + Ejercicios.pdf

22 páginas

He publicado nuevos apuntes de 1º Cálculo II: TEORIA-Y-EJERCICIOS-TEMA-1.pdf

9 páginas