chevron_left
chevron_right
Todo
Apuntes
Ejercicios
Exámenes
Prácticas
Test
Trabajos
chevron_left
chevron_right

Puede que os salgan preguntas de este archivo en la segunda prueba de progreso, así que mejor miradlo.

4 páginas

practicas

-

Practicas MATLAB

Ejercicios MATLAB Práctica 3 - INTEGRACIÓN DE FUNCIONES EN VARIAS VARIABLES

integraldefinida2.m
integraldefinida3.m
integralesdefinidas.m
integralesimpropias.m

practicas

-

Practicas MATLAB

Ejercicios MATLAB Práctica 2 - OPTIMIZACIÓN DE FUNCIONES EN VARIAS VARIABLES

calcularextremos.m
multiplicadorlagrange.m
optimizacion.m

practicas

-

Practicas MATLAB

EJERCICIOS MATLAB Practica 1 - REPRESENTACIÓN GRÁFICA Y LÍMITES DE FUNCIONES DE VARIAS VARIABLES

grafica1.m
grafica1simbolica.m
grafica2.m
grafica3.m
grafica4.m
grafica5.m

examenes

-

Examen Matlab Resuelto

Examen ordinario 24/25 de MATLAB resuelto

c2ej1.m
c2ej3.m
c2ej4.m
c2ej5.m
dibujatetraedro.m

examenes

-

Examen Matlab Resuelto

Examen de Matlab extraordinario 22/23 resuelto

c2e01.m
c2e02.m
c2e03.m
c2e05.m
c2ejer04.m
Miniatura no disponible
chasquido.mat

apuntes

-

Examen Matlab Resuelto

Examen extraordinario 23/24 de MATLAB resuelto

c2ej1.m
c2ej3.m
c2ej4.m
c2ej5.m
integraltipo2.m

examenes

-

EXAMENES MATLAB CALCULO 2

Examenes de MATLAB resueltos. Ordinario 22/23 y ordinario 23/24

Ordinario2223.m

examenes

-

Examenes Calculo2

Examenes de años anteriores calculo 2.

Miniatura no disponible
AlgunosExamenesAnosAnteriores.zip

apuntes

-

Practica 1 MATLAB 25/26

Ejercicios de la practica 1 de MATLAB corregidos por el profesor.

calculolimitesdobles.m
casopractico1.m
llamadapintocilindro.m
llamadapolares.m
pintocilindro.m
polares.m
Anónimo

@Anónimo

Apuntes top, además se entienden muy bien, abarcan toda la asignatura de Cálculo II y son útiles para aprobar.

20 páginas

Puede que os salgan preguntas de aquí en la prueba 1 o en la 2, así que mejor miradlo

4 páginas

Útil para sacar buena nota en la prueba y que no te pille de sorpresa.

5 páginas

He publicado nuevos apuntes de 1º Cálculo II: Tercera-Prueba-de-Progreso-Revision-del-intento--Campus-Virtual.pdf

5 páginas

He publicado nuevos examenes de 1º Cálculo II: Segunda-Prueba-de-Progreso-Revision-del-intento--Campus-Virtual.pdf

5 páginas

He publicado nuevos examenes de 1º Cálculo II: Primera-Prueba-de-Progreso-Revision-del-intento--Campus-Virtual.pdf

8 páginas

He publicado nuevos examenes de 1º Cálculo II: Segunda-Prueba-de-Progreso.pdf

6 páginas

He publicado nuevos examenes de 1º Cálculo II: Tercera-Prueba-de-Progreso.pdf

6 páginas

He publicado nuevos examenes de 1º Cálculo II: Primera-Prueba-de-Progreso.pdf

8 páginas
Anónimo

@Anónimo

He publicado nuevos examenes de 1º Cálculo II: EXAMEN-MATLAB-ORDINARIO-2425.pdf

1 página
Anónimo

@Anónimo

He publicado nuevos examenes de 1º Cálculo II: Tercera-Prueba-de-Progreso.pdf

6 páginas
Anónimo

@Anónimo

He publicado nuevos examenes de 1º Cálculo II: Segunda-prueba-de-progreso.pdf

6 páginas
Anónimo

@Anónimo

He publicado nuevos examenes de 1º Cálculo II: Primera-Prueba-de-Progreso.pdf

9 páginas
Anónimo

@Anónimo

He publicado nuevos examenes de 1º Cálculo II: MATLAB-ordinario-2324-RESUELTO.pdf

15 páginas
Anónimo

@Anónimo

He publicado nuevos examenes de 1º Cálculo II: MATLAB-ordinario-2223-RESUELTO.pdf

15 páginas
Anónimo

@Anónimo

examenes

-

Exámenes problemas

He publicado nuevos examenes de 1º Cálculo II: Exámenes problemas

2016Julio.pdf
2016Mayo.pdf
2017Junio.pdf
2017Marzo.pdf
2017MayoFinal.pdf
2017MayoParcial.pdf
Anónimo

@Anónimo

test

-

Pruebas de progreso

He publicado nuevos test de 1º Cálculo II: Pruebas de progreso

Primera-prueba-de-progreso.pdf
Segunda-prueba-de-progreso.pdf
Tercera-prueba-de-progreso.pdf

apuntes

-

Apuntes Cálculo II

He publicado nuevos apuntes de 1º Cálculo II: Apuntes Cálculo II

Apuntes-Tema-1.pdf
Apuntes-Tema-2.pdf
Apuntes-Tema-3.pdf
Apuntes-Tema-4.pdf
Apuntes-Tema-5.pdf
Apuntes-Tema-6.pdf

He publicado nuevos examenes de 1º Cálculo II: Examen-julio-2022-resuelto.pdf

8 páginas

He publicado nuevos examenes de 1º Cálculo II: Examen-mayo-2022-resuelto.pdf

7 páginas

He publicado nuevos ejercicios de 1º Cálculo II: Ejercicios-45-y-6-de-examenes-de-otros-anos-calculo-II.pdf

9 páginas

He publicado nuevos ejercicios de 1º Cálculo II: Ejercicios-12-y-3-examenes-otros-anos-calculo-II.pdf

14 páginas
Anónimo

@Anónimo

test

-

ejercicios pruebas de progreso

He publicado nuevos test de 1º Cálculo II: ejercicios pruebas de progreso

Ejercicios-para-primera-prueba-de-progreso-calculo-II.pdf
Ejercicios-para-segunda-prueba-de-progreso-Calculo-II.pdf
Ejercicios-para-tercera-prueba-de-progreso-calculo-II.pdf

examenes

-

Pruebas de progreso

He publicado nuevos examenes de 1º Cálculo II: Pruebas de progreso

Primera-Prueba-de-Progreso.pdf
Segunda-prueba-de-progreso.pdf
Tercera-prueba-de-progreso.pdf

He publicado nuevos apuntes de 1º Cálculo II: Resumen-matlab-de-todo-el-curso.pdf

11 páginas

He publicado nuevos apuntes de 1º Cálculo II: Resumen-matlab-calculo-2.pdf

6 páginas

He publicado nuevos apuntes de 1º Cálculo II: Resumen-completo-calculo-2.pdf

9 páginas

apuntes

-

Resumenes calculo 2

He publicado nuevos apuntes de 1º Cálculo II: Resumenes calculo 2

Resumen-segunda-mitad-calculo-2.pdf
Resumen-primera-mitad-calculo-2.pdf

He publicado nuevos apuntes de 1º Cálculo II: Apuntes-completo-Calculo-II.pdf

39 páginas
Anónimo

@Anónimo

apuntes

-

TEMA 06. Integrales sobre superficies

He publicado nuevos apuntes de 1º Cálculo II: TEMA 06. Integrales sobre superficies

Repaso-teorema-de-Stokes.pdf
Repaso-Gauss.pdf
Ejercicios-de-teorema-de-Stokes-y-Gauss-Ostrigradsky-o-de-la-divergencia.pdf
Anónimo

@Anónimo

apuntes

-

TEMA 05. Integrales sobre curvas

He publicado nuevos apuntes de 1º Cálculo II: TEMA 05. Integrales sobre curvas

Teorema-de-Green.pdf
Anónimo

@Anónimo

apuntes

-

TEMA 04. Integración múltiple

He publicado nuevos apuntes de 1º Cálculo II: TEMA 04. Integración múltiple

14-Ejercicios-integrales-dobles-18-19.pdf
Ejercicios-integrales-dobles-18-19.pdf
16-Ejercicios-integrales-triples-18-19.pdf
Integrales-triples-evaluacion-2.pdf
Anónimo

@Anónimo

apuntes

-

TEMA 03. Optimización

He publicado nuevos apuntes de 1º Cálculo II: TEMA 03. Optimización

Ejercicios-polinomio-de-Taylor.pdf
Maximos-y-minimos-sobre-compactos.pdf
Anónimo

@Anónimo

apuntes

-

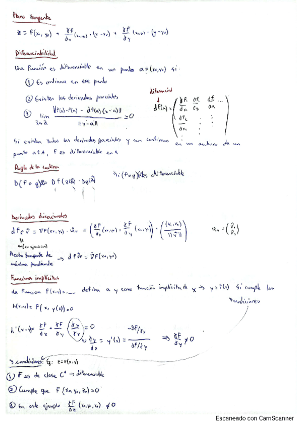
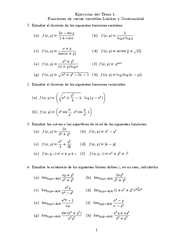
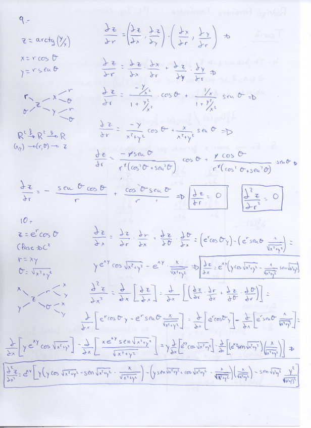
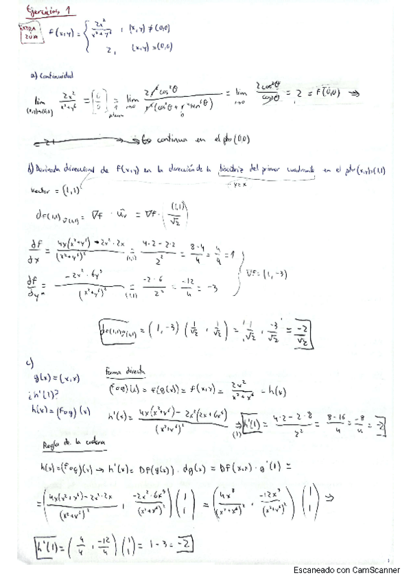
TEMA 01.Funciones. Límites y continuidad

He publicado nuevos apuntes de 1º Cálculo II: TEMA 01.Funciones. Límites y continuidad

Dominios-18-19.pdf
Ejercicios.pdf
Limites-dobles.pdf
Notas. Introducción.pdf
Anónimo

@Anónimo

practicas

-

Prácticas Matlab

He publicado nuevos practicas de 1º Cálculo II: Prácticas Matlab

Practica-0-errores.pdf
Practica-1.pdf
Anónimo

@Anónimo

examenes

-

Exámenes años anteriores

He publicado nuevos examenes de 1º Cálculo II: Exámenes años anteriores

2016-2017-Examen-final-ordinario.pdf
2015-2016-Examen-final-ordinario.pdf
2016-2017-Examen-final-extraordinario.pdf
2016-2017-Primer-examen-parcial.pdf
2015-2016-Final-Extraordinario.pdf
2015-2016-Primer-Examen-Parcial.pdf
Anónimo

@Anónimo

practicas

-

Matlab

He publicado nuevos practicas de 1º Cálculo II: Matlab

chuletario-matlab-3.pdf
chuletario-matlab-2.pdf
chuletario-matlab-1.pdf

He publicado nuevos apuntes de 1º Cálculo II: Resumen-calculo-2.pdf

2 páginas

He publicado nuevos practicas de 1º Cálculo II: Todas-las-practicas.pdf

10 páginas
Anónimo

@Anónimo

He publicado nuevos examenes de 1º Cálculo II: Examen-Parcial.pdf

4 páginas

apuntes

-

Apuntes y ejercicios

He publicado nuevos apuntes de 1º Cálculo II: Apuntes y ejercicios

Apuntes-y-ejercicios-Tema-1.pdf
Apuntes-y-ejercicios-Tema-2.pdf
Apuntes-y-ejercicios-Tema-3.pdf

He publicado nuevos apuntes de 1º Cálculo II: Resumenes.pdf

10 páginas

He publicado nuevos examenes de 1º Cálculo II: 2parcial-Jorge-Moreno.pdf

4 páginas

He publicado nuevos apuntes de 1º Cálculo II: EXAMEN-C-2-2020.pdf

1 página

He publicado nuevos apuntes de 1º Cálculo II: c2s3.m

He publicado nuevos apuntes de 1º Cálculo II: s2c2.m

He publicado nuevos apuntes de 1º Cálculo II: sesion1.m

He publicado nuevos apuntes de 1º Cálculo II: Ejercicios-Stokes-y-Divergencia.pdf

4 páginas

He publicado nuevos apuntes de 1º Cálculo II: Practica1.txt

word

Autoevaluación de los temas 3, 4, 5 y 6

11 páginas