Todo
Apuntes
Preguntas
Ejercicios
Exámenes
Otros
publication
Trabajos
chevron_left
chevron_right

Resumen tema Series de Fourier, Problemas de autovalores de Sturm-Liuville y EDP.

Imagen

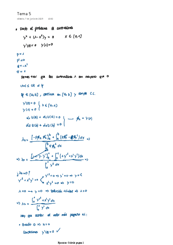
Apuntes tema 6: problemas de autovalores de Sturm-Liouville

5 páginas

Apuntes tema 5: Series de Fourier

4 páginas
Anónimo

@Anónimo

1º parcial resuelto 2017

16 páginas

Apuntes tema 4: Transformada de Laplace

4 páginas

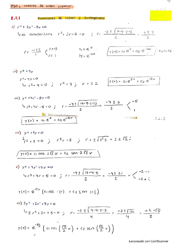
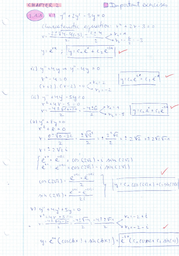
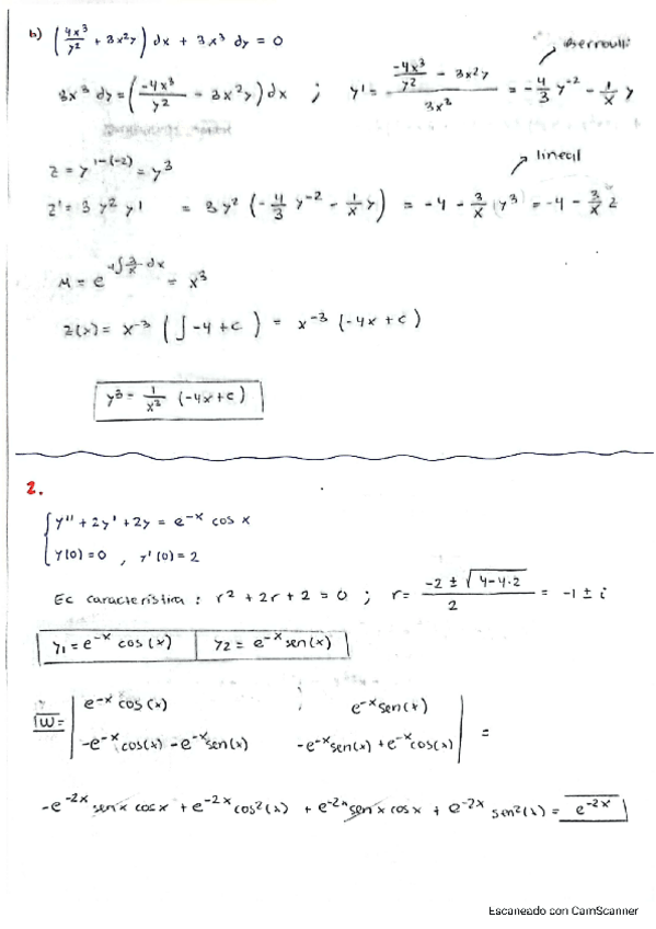
Apuntes tema 3: EDO lineales de orden superior

6 páginas

examenes

-

Pruebas de Cáculo 3

Les presento las pruebas de la unidad 1, 2 y 3 del ramo. Estos son examenes con respuesta para guiarse de como se hacen y ver cual es la mejor manera de poder hacerlas

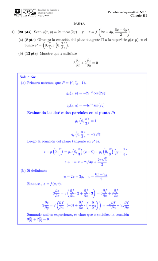
C3Prueba-1-2024-2-PAUTA.pdf
Rec-1-EDUCANDUS-2024-1.pdf
Rec-1-C3-2023-2-PAUTA.pdf
Rec-1-C3-2022-2.pdf
Rec-1-C3-2022-1.pdf
Rec-1-C3-2021-2.pdf

Apuntes tema 2: EDO de 1º orden

8 páginas

examenes

-

2024-25

He publicado nuevos examenes de 2º Cálculo III: 2024-25

G41Partial1solutions2024-25.pdf
G41Partial2solutions2024-25.pdf
Januaryexamsolutions2024-25.pdf

He publicado nuevos apuntes de 2º Cálculo III: Calculus-III-notes.pdf

36 páginas

He publicado nuevos ejercicios de 2º Cálculo III: Calculus-III--all-exercises.pdf

30 páginas

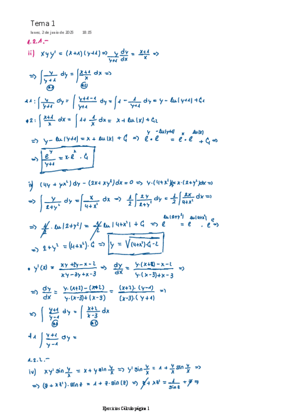
Apuntes completos tema 1

3 páginas

ejercicios

-

Ejercicios cálculo III

He publicado nuevos ejercicios de 2º Cálculo III: Ejercicios cálculo III

Ejercicios-T1.pdf
Ejercicios-T1.pdf
Ejercicios-T2.pdf
Ejercicios-T2.pdf
Ejercicios-T3.pdf
Ejercicios-T3.pdf
Anónimo

@Anónimo

Apuntes inglés tema 1, 2 y 3

13 páginas

apuntes

-

CALCULO III - APUNTES PARA INGENIERIA

He publicado nuevos apuntes de 4º Cálculo III: CALCULO III - APUNTES PARA INGENIERIA

CALCULO-DIFERENCIAL-APUNTES-DE-CLASES.pdf
CALCULO-INTEGRAL-APUNTES-DE-CLASES.pdf
GUIA-CALCULO-III-REGLA-DE-LA-CADENA-Y-DERIVACION-IMPLICITA-DERIVADA-DIRECCIONAL-PLANOS-TANGENTES-Y-EXTREMOS-DE-FUNCIONES-CAMBIO-DE-VARIABLE.pdf
PROBLEMAS-RESUELTOS-DE-CALCULO-III.pdf
100-EJERCICIOS-DE-INTEGRALES-TRIPLES-EJERCICIOS-PARA-INGENIERIA-PLAN-COMUN.pdf

examenes

-

EXAMENES 2023-2024 Con Solución

He publicado nuevos examenes de 2º Cálculo III: EXAMENES 2023-2024 Con Solución

1-Parcial-23.pdf
1-Parcial-23.pdf
2-Parcial-23.pdf
2-Parcial-23.pdf

ejercicios

-

Ejercicios resueltos por temas

He publicado nuevos ejercicios de 2º Cálculo III: Ejercicios resueltos por temas

chapter-1.pdf
chapter-1.pdf
chapter-2.pdf
chapter-2.pdf
chapter-3.pdf
chapter-3.pdf

He publicado nuevos apuntes de 2º Cálculo III: APUNTES-CALCULO-III.pdf

25 páginas

He publicado nuevos apuntes de 2º Cálculo III: EDP.pdf

13 páginas

He publicado nuevos apuntes de 2º Cálculo III: EDO.pdf

11 páginas
Anónimo

@Anónimo

He publicado nuevos examenes de 2º Cálculo III: solexamordjan2019-Calc3.pdf

6 páginas

He publicado nuevos apuntes de 2º Cálculo III: ESQUEMA-SERIES-DE-FOURIER231120111306.pdf

2 páginas

He publicado nuevos apuntes de 2º Cálculo III: PROBLEMAS-DE-CONTORNO-Y-SERIES-DE-FOURIER231119120240.pdf

8 páginas

He publicado nuevos apuntes de 2º Cálculo III: EXAMENES-EVALUACION-CONTINUA-5o-PARCIAL.pdf

5 páginas

He publicado nuevos apuntes de 2º Cálculo III: ESQUEMARESUMEN.pdf

1 página

He publicado nuevos apuntes de 2º Cálculo III: EJERCICIOS-LIBRO-PROBLEMAS-4-PARCIAL.pdf

11 páginas

He publicado nuevos apuntes de 2º Cálculo III: ESQUEMARESUMEN-TERCER-PARCIAL240929124326-1.pdf

5 páginas

apuntes

-

EDO

He publicado nuevos apuntes de 2º Cálculo III: EDO

Capitulo-1-Ecuaciones-de-Orden-1.pdf
Capitulo-2-Sistemas-de-orden-1.pdf
Anónimo

@Anónimo

He publicado nuevos apuntes de 2º Cálculo III: Relaciones-trigonometricas.pdf

1 página
Anónimo

@Anónimo

He publicado nuevos apuntes de 2º Cálculo III: Tabla-de-derivadas.pdf

4 páginas

Últimas dos hojas lo mas importante

16 páginas

He publicado nuevos apuntes de 2º Cálculo III: PARCIAL-2-EDO.pdf

5 páginas

He publicado nuevos apuntes de 2º Cálculo III: PARCIAL-1-EDO.pdf

4 páginas

He publicado nuevos apuntes de 2º Cálculo III: CALCULO-III-RESUMEN-FORMULAS.pdf

8 páginas

examenes

-

EXÁMENES RESUELTOS

He publicado nuevos examenes de 2º Cálculo III: EXÁMENES RESUELTOS

PARCIAL-1-2023-RESUELTO.pdf
PARCIAL-2-2023-RESUELTO.pdf
Examenes-RESUELTOS-de-otros-anos.pdf

He publicado nuevos apuntes de 2º Cálculo III: APUNTES-de-TODA-la-asignatura.pdf

58 páginas

ejercicios

-

EJERCICIOS de TODOS los temas

He publicado nuevos ejercicios de 2º Cálculo III: EJERCICIOS de TODOS los temas

Todos-los-EJERCICIOS-RESUELTOS-en-CLASE.pdf
MAS-EJERCICIOS.pdf

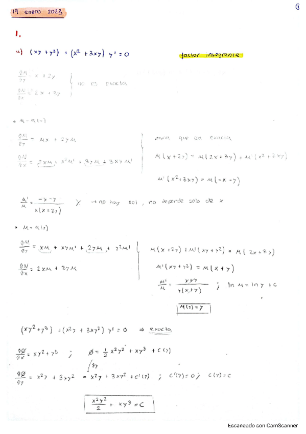
He publicado nuevos apuntes de 2º Cálculo III: Examen-20-enero-2022.pdf

7 páginas

He publicado nuevos apuntes de 2º Cálculo III: Examen-19-enero-2023.pdf

6 páginas

apuntes

-

Solución Ejercicios

He publicado nuevos apuntes de 2º Cálculo III: Solución Ejercicios

EJS-EDOs-de-primer-orden.pdf
EJS-EDOs-de-primer-orden.pdf
EJS-EDOs-lineales-de-orden-superior.pdf
EJS-EDOs-lineales-de-orden-superior.pdf
EJS-Metodo-de-separacion-de-variables-en-EDPs.pdf
EJS-Metodo-de-separacion-de-variables-en-EDPs.pdf

apuntes

-

Autoevaluaciones

He publicado nuevos apuntes de 2º Cálculo III: Autoevaluaciones

Autoevaluacion-1.pdf
Autoevaluacion-1.pdf
Autoevaluacion-2.pdf
Autoevaluacion-2.pdf
Autoevaluacion-3.pdf
Autoevaluacion-3.pdf

apuntes

-

Teoria

He publicado nuevos apuntes de 2º Cálculo III: Teoria

Cosas-que-hay-que-saber.pdf
Cosas-que-hay-que-saber.pdf
EDOs-de-orden-superior.pdf
EDOs-de-orden-superior.pdf
EDOs-de-primer-orden.pdf
EDOs-de-primer-orden.pdf

He publicado nuevos apuntes de 3º Cálculo III: Formulario-Calculo-III.pdf

5 páginas

He publicado nuevos trabajos de 3º Cálculo III: Quiz-I.pdf

7 páginas

He publicado nuevos trabajos de 3º Cálculo III: Quiz-II.pdf

14 páginas

He publicado nuevos trabajos de 3º Cálculo III: Quiz-III.pdf

22 páginas

examenes

-

coleccion examenes finales (solucionados)

He publicado nuevos examenes de 2º Cálculo III: coleccion examenes finales (solucionados)

2015-extraord.pdf
2015-extraord.pdf
2015-ordinario.pdf
2015-ordinario.pdf
2016-ordinario.pdf
2016-ordinario.pdf
Anónimo

@Anónimo

He publicado nuevos apuntes de 4º Cálculo III: Imagen-de-WhatsApp-2024-05-08-a-las-01.11.03de83deda.jpg

Imagen

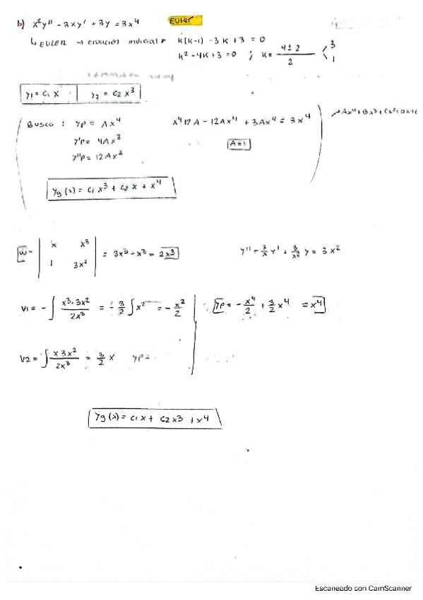
He publicado nuevos apuntes de 3º Cálculo III: Euler.pdf

162 páginas

He publicado nuevos apuntes de 1º Cálculo III: ejercicio-5.1.pdf

1 página

He publicado nuevos apuntes de 1º Cálculo III: 5.2-DIBUJO.pdf

1 página

He publicado nuevos apuntes de 1º Cálculo III: ejercicio-5.4.pdf

1 página

He publicado nuevos apuntes de 1º Cálculo III: ejercicio-5.3.pdf

1 página

He publicado nuevos apuntes de 1º Cálculo III: ejercicio-5.2.pdf

1 página

He publicado nuevos apuntes de 1º Cálculo III: ejercicio-3.1.pdf

1 página

He publicado nuevos apuntes de 1º Cálculo III: ejercicio-2.2.pdf

1 página

He publicado nuevos apuntes de 1º Cálculo III: ejercicio-2.1.pdf

1 página

He publicado nuevos ejercicios de 1º Cálculo III: PARCIALEJERCICIOS.pdf

11 páginas
Anónimo

@Anónimo

He publicado nuevos apuntes de 2º Cálculo III: Apuntes-Calculo-III.pdf

5 páginas