Cálculo Infinitesimal y Numérico

Todo
chevron_left
chevron_right

apuntes

-

FORMULARIOS CIN

He publicado nuevos apuntes de 1º Cálculo Infinitesimal y Numérico: FORMULARIOS CIN

CIN-TEMA-1-FORMULARIO.pdf
CIN-TEMA-2-FORMULARIO.pdf
TEMA-4-FORMULARIO-CIN.pdf
resumen-tema-3-con-ejercicio-resuelto.pdf

Todos los temas

20 páginas

Tema 2 de interpolación polinomial

3 páginas

Tema 1. Resolución de ecuaciones no lineales.

4 páginas

He publicado nuevos apuntes de 1º Cálculo Infinitesimal y Numérico: Series-de-Potencias.pdf

3 páginas

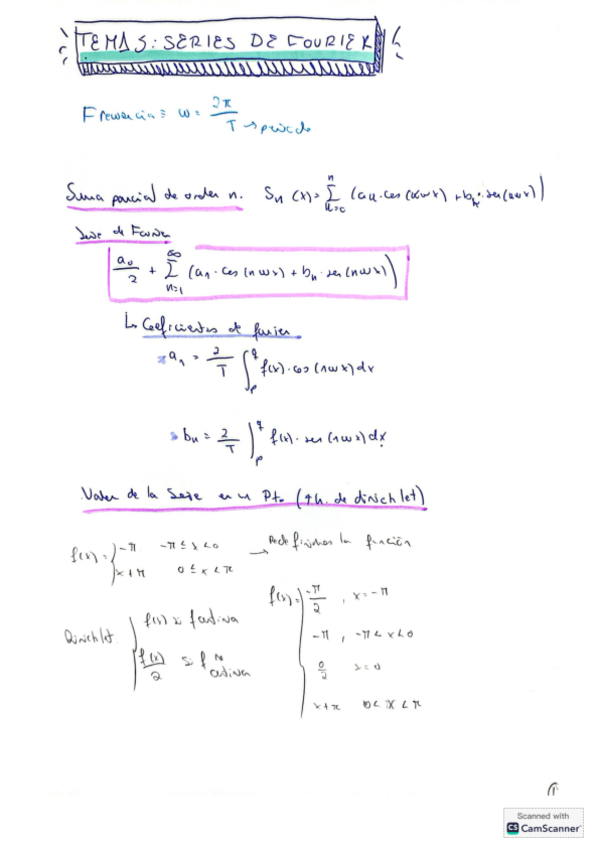
He publicado nuevos apuntes de 1º Cálculo Infinitesimal y Numérico: Series-de-Fourier.pdf

2 páginas

He publicado nuevos apuntes de 1º Cálculo Infinitesimal y Numérico: Resolucion-de-ecuaciones-no-lineales.pdf

2 páginas

He publicado nuevos apuntes de 1º Cálculo Infinitesimal y Numérico: Polinomio-de-Taylor.pdf

1 página

He publicado nuevos apuntes de 1º Cálculo Infinitesimal y Numérico: Interpolacion-Polinomial.pdf

1 página

He publicado nuevos apuntes de 1º Cálculo Infinitesimal y Numérico: Funciones-de-varias-variables.pdf

3 páginas

He publicado nuevos apuntes de 1º Cálculo Infinitesimal y Numérico: apuntes-Con-Trucos-tema-3.pdf

12 páginas

He publicado nuevos apuntes de 1º Cálculo Infinitesimal y Numérico: Apuntes resumen tema 2.pdf

9 páginas

He publicado nuevos apuntes de 1º Cálculo Infinitesimal y Numérico: Apuntes resumen tema 1.pdf

9 páginas

He publicado nuevos apuntes de 1º Cálculo Infinitesimal y Numérico: Apuntes-Tema-6-cin.pdf

2 páginas

He publicado nuevos apuntes de 1º Cálculo Infinitesimal y Numérico: Apuntes-tema-5-cin.pdf

2 páginas

He publicado nuevos apuntes de 1º Cálculo Infinitesimal y Numérico: Apuntes-tema-4-cin.pdf

1 página

He publicado nuevos apuntes de 1º Cálculo Infinitesimal y Numérico: Apuntes-tema-3-cin.pdf

1 página

He publicado nuevos apuntes de 1º Cálculo Infinitesimal y Numérico: Apuntes-tema-2-cin.pdf

2 páginas

He publicado nuevos apuntes de 1º Cálculo Infinitesimal y Numérico: Apuntes-tema-1-CIN.pdf

4 páginas

He publicado nuevos apuntes de 1º Cálculo Infinitesimal y Numérico: Chuletario-asignatura.pdf

6 páginas

apuntes

-

RESOLUCIÓN EC NO LINEALES

He publicado nuevos apuntes de 1º Cálculo Infinitesimal y Numérico: RESOLUCIÓN EC NO LINEALES

APUNTES-RESOLUCION-EC-NO-LINEALES-CIN.pdf

He publicado nuevos apuntes de 1º Cálculo Infinitesimal y Numérico: Apuntes-ecuaciones-no-lineales-CIN.pdf

7 páginas

He publicado nuevos apuntes de 1º Cálculo Infinitesimal y Numérico: Polinomio-de-Taylor-TEMA-3.pdf

2 páginas

Apuntes resolución ecuaciones no lineales e interpolación.

6 páginas

Apuntes Tema 6 CIN

45 páginas

Apuntes Tema 5

24 páginas

Apuntes Tema 4 CIN

19 páginas

Apuntes tema 3

14 páginas

Apuntes Tema 2

27 páginas

Apuntes del tema 1

37 páginas

Todos los temas de cin completos

171 páginas

3ª Convocatoria CIN 2019 Ejercicio 1 Resuelto

5 páginas

He publicado nuevos apuntes de 1º Cálculo Infinitesimal y Numérico: ejercicios-cin-segundo-parcial.pdf

Miniatura no disponible
5 páginas

He publicado nuevos apuntes de 1º Cálculo Infinitesimal y Numérico: ejercicios-calculo.pdf

4 páginas

apuntes

-

Apuntes CIN

He publicado nuevos apuntes de 1º Cálculo Infinitesimal y Numérico: Apuntes CIN

CIN-tema-1.pdf
CIN-tema-2.pdf
CIN-tema-3.pdf
CIN-tema-4.2.pdf
CIN-tema-4.pdf
CIN-tema-5.pdf

apuntes

-

Temas CIN

He publicado nuevos apuntes de 1º Cálculo Infinitesimal y Numérico: Temas CIN

Tema-1-cin.pdf
Tema-2-cin.pdf
Tema-3-CIN.pdf
Tema-4-CIN.pdf
Tema-5-Cin.pdf
Tema-6-cin.pdf

He publicado nuevos apuntes de 1º Cálculo Infinitesimal y Numérico: boletin-1.pdf

3 páginas

apuntes

-

Apuntes completos CIN

He publicado nuevos apuntes de 1º Cálculo Infinitesimal y Numérico: Apuntes completos CIN

Tema-1-CIN.pdf
Tema-2-CIN.pdf
Tema-3-CIN.pdf
Tema-4-CIN.pdf
Tema-5-CIN.pdf
Tema-6-CIN.pdf

apuntes

-

Cin resumenes tema1-6

Resumenes de todos los temas de la asignatura

cin-resumen-T1.pdf
cin-resumen-t2.pdf
cin-resumen-t3.pdf
cin-resumen-t4.pdf
cin-resumen-t5.pdf
cin-resumen-t6.pdf

Tema 6 resumen completo de cálculo

5 páginas

Resumen Tema 5 computadores grupo 3

4 páginas

apuntes

-

Apuntes segundo parcial

He publicado nuevos apuntes de 1º Cálculo Infinitesimal y Numérico: Apuntes segundo parcial

Tema-4.pdf
Tema-5.pdf
Tema-6.pdf

Resumen Tema 4 computadores grupo 3

5 páginas

He publicado nuevos apuntes de 1º Cálculo Infinitesimal y Numérico: Resumen-primer-parcial.pdf

2 páginas

apuntes

-

Apuntes primer parcial

He publicado nuevos apuntes de 1º Cálculo Infinitesimal y Numérico: Apuntes primer parcial

Tema-1.pdf
Tema-2.pdf
Tema-3.pdf

apuntes

-

BOLETINES RESUELTOS TEMAS 4 Y 6

TEMA 4 (Series de potencias) y TEMA 6 (Funciones de varias variables).

BOLETIN-RESUELTO-TEMA-4.pdf
BOLETIN-RESUELTO-TEMA-6.pdf
ENUNCIADOS-TEMA-4.pdf
ENUNCIADOS-TEMA-6.pdf

Formulario de los temas 2 y 3.

2 páginas

Formulario del Tema 1.

3 páginas

apuntes

-

APUNTES Y EJERCICIOS

He publicado nuevos apuntes de 1º Cálculo Infinitesimal y Numérico: APUNTES Y EJERCICIOS

CIN4.pdf
CIN3.pdf
CIN2.pdf
CIN1.pdf

He publicado nuevos examenes de 1º Cálculo Infinitesimal y Numérico: EJERCICIOS-EXAMENES-RESUELTOS-Bloque-1.pdf

11 páginas

He publicado nuevos apuntes de 1º Cálculo Infinitesimal y Numérico: CIN-TEMA-5-SERIES-DE-FOURIER.pdf

2 páginas

He publicado nuevos apuntes de 1º Cálculo Infinitesimal y Numérico: CIN-TEMA-4-SERIES-DE-POTENCIAS.pdf

2 páginas

He publicado nuevos ejercicios de 1º Cálculo Infinitesimal y Numérico: Ejercicios-Resueltos-CIN.pdf

19 páginas

He publicado nuevos apuntes de 1º Cálculo Infinitesimal y Numérico: Tema-4-resumen.pdf

2 páginas

He publicado nuevos apuntes de 1º Cálculo Infinitesimal y Numérico: Tema-2-resumen.pdf

3 páginas

He publicado nuevos apuntes de 1º Cálculo Infinitesimal y Numérico: Tema-3.pdf

9 páginas

He publicado nuevos apuntes de 1º Cálculo Infinitesimal y Numérico: Tema-1-resumen.pdf

2 páginas

He publicado nuevos apuntes de 1º Cálculo Infinitesimal y Numérico: Tema-5.pdf

2 páginas

He publicado nuevos apuntes de 1º Cálculo Infinitesimal y Numérico: Tema-6.pdf

6 páginas

He publicado nuevos apuntes de 1º Cálculo Infinitesimal y Numérico: Resumen-Tema-6.pdf

1 página