chevron_left
chevron_right
Todo
Apuntes
chevron_left
chevron_right
Anónimo

@Anónimo

apuntes

-

Apuntes y ejercicios

He publicado nuevos apuntes de 1º Cálculo Infinitesimal: Apuntes y ejercicios

Binomio-de-Newton.pdf
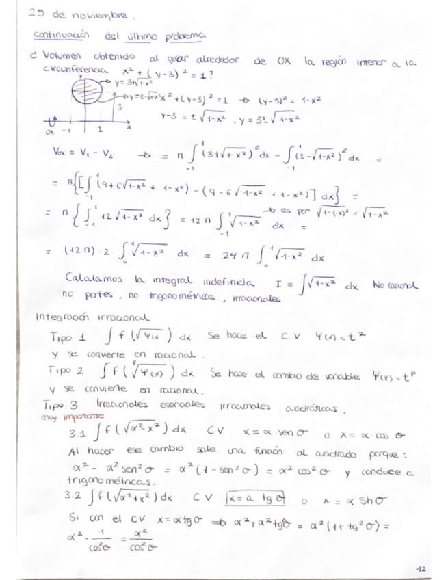
Clase-escrita-del-25-de-noviembre.pdf
Ejercicio-1-propuesto-estas-navidades-de-extremos-relativos-y-absolutos-con-2-variables.pdf
EJERCICO-PROPUESTO-2-DE-MAXIMOS-Y-MINIMOS-ABSOLUTOS-en-conjuntos-cerrados-y-acotados..pdf
examen-24-10-2015-sol.pdf
examen-24-10-2018-sol.pdf