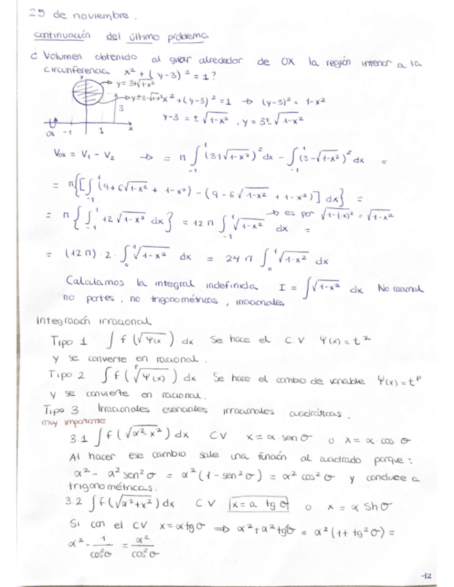
Cálculo Infinitesimal
Todo
Apuntes
chevron_left
chevron_right
apuntes
-
Apuntes y ejercicios
He publicado nuevos apuntes de 1º Cálculo Infinitesimal: Apuntes y ejercicios
apuntes
-
Apuntes y ejercicios
He publicado nuevos apuntes de 1º Cálculo Infinitesimal: Apuntes y ejercicios