chevron_left
chevron_right
Todo
Ejercicios
Exámenes
chevron_left
chevron_right

ejercicios

-

Ejercicios

He publicado nuevos ejercicios de 2º Cálculo Infinitesimal: Ejercicios

probcal2Tema6.pdf
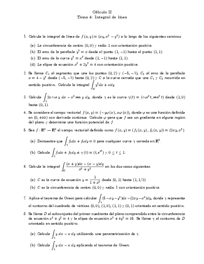
probcal2Tema4.pdf
probcal2Tema2.pdf
probcal2Tema1.pdf
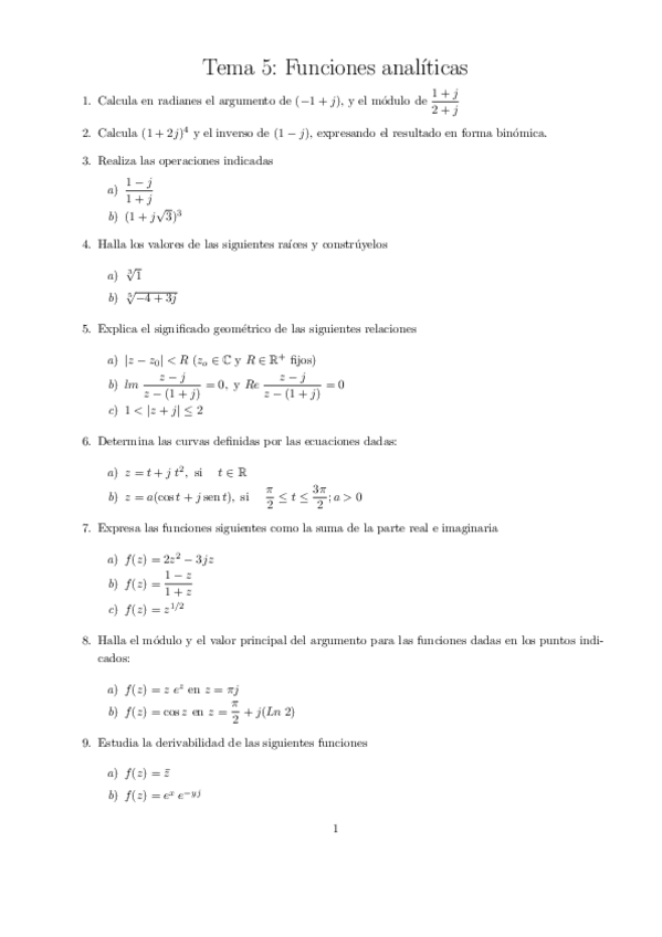
probcal2Tema5.pdf
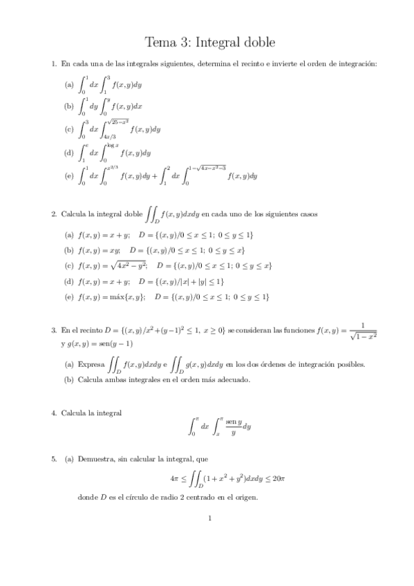
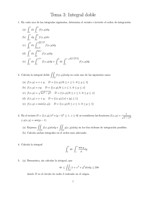
probcal2Tema3.pdf

examenes

-

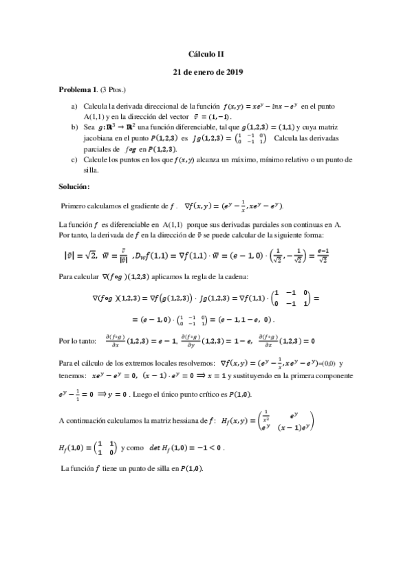
Examenes Resueltos

He publicado nuevos examenes de 2º Cálculo Infinitesimal: Examenes Resueltos

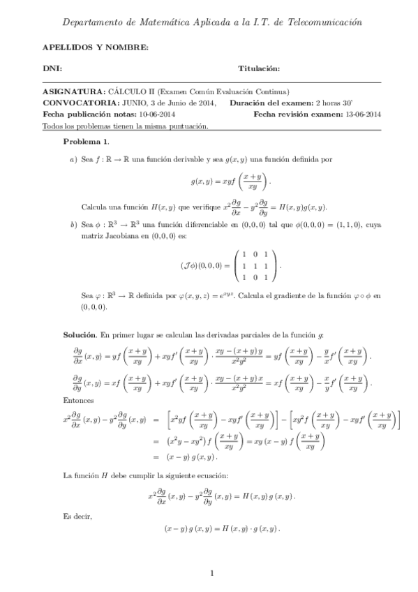
calculo2jun1819.pdf
calculo2jul1314.pdf
calculo2jun1314.pdf
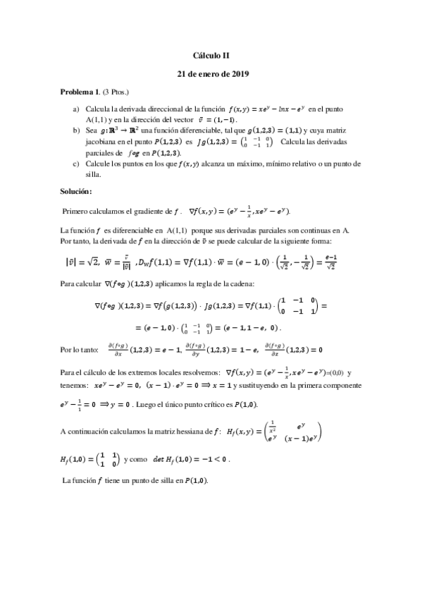
calculo2feb1819.pdf
¡Estás al día!

¡Estás al día!

Has visto todos los archivos