chevron_left
chevron_right
Todo
Apuntes
Ejercicios
Exámenes
Trabajos
chevron_left
chevron_right

examenes

-

Examenes 2014-2021

He publicado nuevos examenes de 1º Cálculo Infinitesimal: Examenes 2014-2021

Examenes-2014-2018.pdf
Examenes-2019.pdf
Examenes-2020-2021.pdf

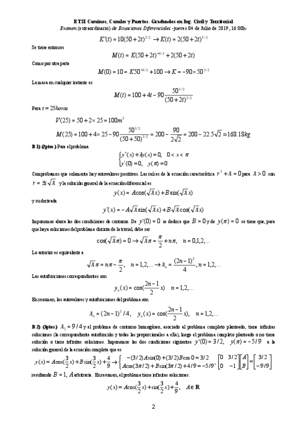
He publicado nuevos examenes de 1º Cálculo Infinitesimal: EDOSAnaliticocompletojul19.pdf

8 páginas

He publicado nuevos examenes de 1º Cálculo Infinitesimal: EDOSNumericocompletojul19.pdf

16 páginas

examenes

-

Exámenes de otros años

He publicado nuevos examenes de 1º Cálculo Infinitesimal: Exámenes de otros años

1314Sep.pdf
1112Sep.pdf
1314Feb.pdf
1011Feb.pdf
1011Sep.pdf
1415Feb.pdf

apuntes

-

Resúmenes

He publicado nuevos apuntes de 1º Cálculo Infinitesimal: Resúmenes

ResumenTema6.pdf
ResumendelResumenTema8.pdf
ResumenTema7.pdf
TAREA.pdf
ResumenTema9-Parte2Extremos.pdf
ResumenTema9-Parte1.pdf

apuntes

-

Apuntes de todos los temas

He publicado nuevos apuntes de 1º Cálculo Infinitesimal: Apuntes de todos los temas

ecuacionesirracionales.pdf
derivadas.pdf
limites.pdf
functionestrigonometricas.pdf
funciones.pdf
conicas.pdf

He publicado nuevos apuntes de 1º Cálculo Infinitesimal: Calculo-II.pdf

21 páginas

apuntes

-

apt ecuaciones diferenciales

He publicado nuevos apuntes de 1º Cálculo Infinitesimal: apt ecuaciones diferenciales

T22-ecuacion-diferencial-separable.pdf
T2-ecuaciones-de-primer-orden-l.pdf
T21-ecuacion-diferencial-lineal.pdf
T23-ecuacion-diferencial-exacta.pdf
T1-nociones-preliminares.pdf

He publicado nuevos apuntes de 1º Cálculo Infinitesimal: Integracion-calculo-II.pdf

39 páginas
Anónimo

@Anónimo

He publicado nuevos trabajos de 1º Cálculo Infinitesimal: Trabajo-de-investigacion.pdf

21 páginas
Anónimo

@Anónimo

He publicado nuevos apuntes de 1º Cálculo Infinitesimal: Calculo-1.pdf

6 páginas

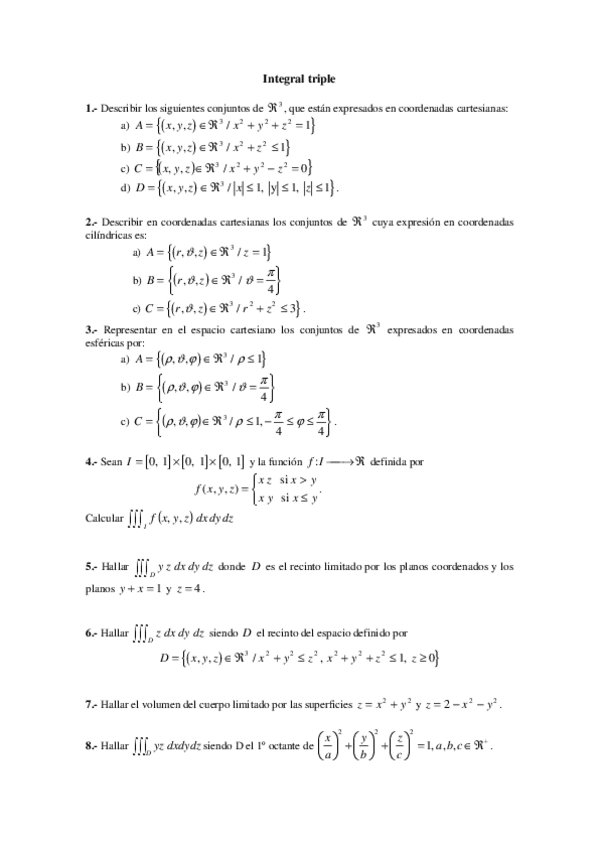
He publicado nuevos apuntes de 1º Cálculo Infinitesimal: Integral-triple.pdf

2 páginas

ejercicios

-

ejer limites

He publicado nuevos ejercicios de 1º Cálculo Infinitesimal: ejer limites

EJERCICIOS-DE-LIMITES-SOLUCIONES.pdf
EJERCICIOS-DE-LIMITES.pdf
¡Estás al día!

¡Estás al día!

Has visto todos los archivos