Todo
Apuntes
Ejercicios
Exámenes
chevron_left
chevron_right

Apuntes y ejercicios de clase del primer cuatrimestre

57 páginas

Apuntes + Exámenes

7 páginas

Apuntes + Exámenes

10 páginas

Apuntes + Exámenes

7 páginas

Apuntes + Exámenes

7 páginas

Apuntes + Exámenes

8 páginas

Apuntes + Exámenes

7 páginas

apuntes

-

APUNTES + EJERCICIOS DE TODOS LOS TEMAS DE CÁLCULO INFINITESIMAL

He publicado nuevos apuntes de 1º Cálculo Infinitesimal: APUNTES + EJERCICIOS DE TODOS LOS TEMAS DE CÁLCULO INFINITESIMAL

CI-TEMA-0-INTRODUCCION-Y-TEMA-1-NUMERO-REAL-APUNTES-DE-CLASE--EJERCICIOS.pdf
CI-TEMA-7-CALCULO-DE-PRIMITIVAS-APUNTES-DE-CLASE--EJERCICIOS.pdf
CI-TEMA-8-INTEGRAL-RIEMANN-APUNTES-DE-CLASE--EJERCICIOS.pdf
CI-TEMA-9-APLICACIONES-INTEGRAL-APUNTES-DE-CLASE--EJERCICIOS.pdf
CI-TEMA-12-NUMEROS-COMPLEJOS-APUNTES-DE-CLASE--EJERCICIOS.pdf

He publicado nuevos examenes de 1º Cálculo Infinitesimal: CI-EXAMEN-SEGUNDO-PARCIAL-MAYO-2025.pdf

1 página

Resumen Tema 10 de Cálculo Infinitesimal

1 página

Resumen Tema 9 de Cálculo Infinitesimal

1 página

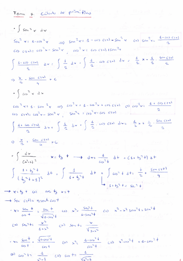
Resumen Tema 7 Cálculo de primitivas e integrales, de Cálculo Infinitesimal

2 páginas

Resumen Tema 12 Números complejos, de Cálculo Infinitesimal

1 página

Resumen Temas 1, 2, 3, 4, 5 y 6 de Cálculo Infinitesimal

5 páginas

He publicado nuevos apuntes de 1º Cálculo Infinitesimal: Demostraciones-Calculo-Primer-parcialito.pdf

12 páginas
Anónimo

@Anónimo

He publicado nuevos apuntes de 1º Cálculo Infinitesimal: CALCULO-INFINITESIMAL-TEMA-1.pdf

6 páginas

Todos los temas

215 páginas

apuntes

-

CI (Apuntes)

He publicado nuevos apuntes de 1º Cálculo Infinitesimal: CI (Apuntes)

Tema-9-Completo.pdf
Tema-7-Boletin.pdf
Tema-10-Completo.pdf
Tema-7-Completo.pdf

apuntes

-

Teoría segundo parcial

He publicado nuevos apuntes de 1º Cálculo Infinitesimal: Teoría segundo parcial

TEOREMA.pdf

ejercicios

-

Guion y ejercicios tema 4 y 5

He publicado nuevos ejercicios de 1º Cálculo Infinitesimal: Guion y ejercicios tema 4 y 5

PROBLEMAS-TEMA-4.pdf
Documentos-escaneados-1.pdf
Tema-4-CI.pdf
GuionTV1.pdf
PTIV.pdf
PTema-V1.pdf

apuntes

-

Maxima

He publicado nuevos apuntes de 1º Cálculo Infinitesimal: Maxima

Ejerciciospractica5.zip
Ejerciciospractica1.zip
Ejerciciospractica4.zip
ejerciciospractica2.pdf
Practicamaxima3.zip
Introduccionmaxima.zip

He publicado nuevos apuntes de 1º Cálculo Infinitesimal: Tarea-T5-y-T6-CI.pdf

6 páginas

He publicado nuevos apuntes de 1º Cálculo Infinitesimal: Tarea-Series-CI.pdf

4 páginas

He publicado nuevos apuntes de 1º Cálculo Infinitesimal: Tarea-complejos-y-primitivas-CI.pdf

3 páginas

He publicado nuevos apuntes de 1º Cálculo Infinitesimal: Tarea-aplicaciones-de-la-integral-CI.pdf

2 páginas

apuntes

-

Tema 4 CI

He publicado nuevos apuntes de 1º Cálculo Infinitesimal: Tema 4 CI

Tarea-T4-CI.pdf
Ejercicios-T4-CI.pdf

apuntes

-

Tema 3 CI

He publicado nuevos apuntes de 1º Cálculo Infinitesimal: Tema 3 CI

Tarea-T3-CI.pdf
Ejercicios-T3-CI.pdf

apuntes

-

Tema 2 CI

He publicado nuevos apuntes de 1º Cálculo Infinitesimal: Tema 2 CI

Ejercicios-T2-CI.pdf
Tarea-T2-CI.pdf

apuntes

-

Tema 1 CI

He publicado nuevos apuntes de 1º Cálculo Infinitesimal: Tema 1 CI

Tarea-T1-CI.pdf
Ejercicios-T1-CI.pdf

He publicado nuevos apuntes de 1º Cálculo Infinitesimal: calculo-infinitesima-mat-Academia-ConoSer.mp4

video

He publicado nuevos apuntes de 1º Cálculo Infinitesimal: calculo-infinitesima-mat-Academia-ConoSer.mp4

video

He publicado nuevos apuntes de 1º Cálculo Infinitesimal: Tema-7-Integrales-indefinidas.pdf

11 páginas

He publicado nuevos apuntes de 1º Cálculo Infinitesimal: Calculo-Infinitesimal-Primer-Cuatrimestre.pdf

44 páginas

He publicado nuevos apuntes de 1º Cálculo Infinitesimal: HOJA5CI.pdf

15 páginas

He publicado nuevos apuntes de 1º Cálculo Infinitesimal: TEMA5CI.pdf

17 páginas

He publicado nuevos apuntes de 1º Cálculo Infinitesimal: TEMA4CI.pdf

19 páginas

apuntes

-

Tema 5

He publicado nuevos apuntes de 1º Cálculo Infinitesimal: Tema 5

Tema-5-Teoria-y-demostraciones.pdf
EJERCICIOS-RESUELTOS-TEMA-5-2.pdf

He publicado nuevos apuntes de 1º Cálculo Infinitesimal: Series-demostraciones-y-ejercicios.pdf

18 páginas

apuntes

-

Tema 4

He publicado nuevos apuntes de 1º Cálculo Infinitesimal: Tema 4

Tema-4-Teoria-y-demostraciones-.pdf
Tema-4-Ejercicios-resueltos.pdf

apuntes

-

Tema 3

He publicado nuevos apuntes de 1º Cálculo Infinitesimal: Tema 3

Tema-3-Ejercicios-resueltos-I-2.pdf

apuntes

-

Tema 2

He publicado nuevos apuntes de 1º Cálculo Infinitesimal: Tema 2

Tema-2-Teoria-y-demostraciones.pdf
Tema-2-Ejercicios-resueltos.pdf

apuntes

-

Tema 1

He publicado nuevos apuntes de 1º Cálculo Infinitesimal: Tema 1

Tema-1-Teoria-y-demostraciones.pdf
Tema-1-Ejercicios resueltos.pdf

ejercicios

-

Tarea práctica 2º cuatri (RESUELTA)

Ejercicios resueltos del 2º cuatrimestre.

CITareaPracticaEvaluable-enunciado.pdf
CITareaPracticaEvaluable.pdf
Anónimo

@Anónimo

ejercicios

-

EJERCICIOS RESUELTOS TEMAS 6-10

He publicado nuevos ejercicios de 1º Cálculo Infinitesimal: EJERCICIOS RESUELTOS TEMAS 6-10

CI-ejercicios-t8.pdf
CI-ejercicios-t7.pdf
CI-ejercicios-t6.pdf
CI-ejercicios-t9.pdf
CI-ejercicios-t10.pdf

apuntes

-

Tema 10 (Apuntes y ejercicios resueltos)

He publicado nuevos apuntes de 1º Cálculo Infinitesimal: Tema 10 (Apuntes y ejercicios resueltos)

CIResumen10.pdf

apuntes

-

Tema 8-9 (Apuntes, ejercicios resueltos)

He publicado nuevos apuntes de 1º Cálculo Infinitesimal: Tema 8-9 (Apuntes, ejercicios resueltos)

CIEjercicios8y9.pdf
CIEjerciciosResueltos8y9.pdf
CIMisApuntes8y9.pdf
CITeoremasYDemostraciones8y9.pdf

apuntes

-

Tema 7 (Apuntes y ejercicios resueltos)

He publicado nuevos apuntes de 1º Cálculo Infinitesimal: Tema 7 (Apuntes y ejercicios resueltos)

CIEjerciciosResueltos7.pdf
CICalculoIntegrales7.pdf
CIEjercicios7.pdf

apuntes

-

Tema 6 (Apuntes y ejercicios resueltos)

He publicado nuevos apuntes de 1º Cálculo Infinitesimal: Tema 6 (Apuntes y ejercicios resueltos)

CIEjerciciosResueltosLimitesTaylor6.pdf
CIEjercicios6.pdf
CIDesarrollosTaylor6.pdf
CIEstudioFuncionATrozos6.pdf
CIMisApuntes6.pdf
CIEjerciciosResueltosFunciones6.pdf

Ejercicios exámenes resueltos

8 páginas

apuntes

-

Tema 5 (Apuntes y ejercicios resueltos)

He publicado nuevos apuntes de 1º Cálculo Infinitesimal: Tema 5 (Apuntes y ejercicios resueltos)

CIEjerciciosResueltos5.pdf
CIEjercicios5.pdf
CIMisApuntes5.pdf

apuntes

-

Tema 4 (Apuntes y ejercicios resueltos)

He publicado nuevos apuntes de 1º Cálculo Infinitesimal: Tema 4 (Apuntes y ejercicios resueltos)

CITeoremasYDemostraciones4.pdf
CIMisApuntes4.pdf
CIEjerciciosResueltos4.pdf
CIEjerciciosResueltosLimitesExtra4.pdf
CIEjercicios4.pdf

apuntes

-

Tema 3 (Apuntes y ejercicios resueltos)

He publicado nuevos apuntes de 1º Cálculo Infinitesimal: Tema 3 (Apuntes y ejercicios resueltos)

CIEjercicios3.pdf
CIEjerciciosResueltosRecurrencia3.pdf
CITeoremasYDemostraciones3.pdf
CICalculoLimites3.pdf
CIMisApuntes3.pdf
CIEjerciciosResueltos3.pdf

apuntes

-

Tema 2 (Apuntes y ejercicios resueltos)

He publicado nuevos apuntes de 1º Cálculo Infinitesimal: Tema 2 (Apuntes y ejercicios resueltos)

CIEjercicios2.pdf
CIFuncionesTrigonometricasChuleta2.pdf
CIEjerciciosResueltos2.pdf
CIMisApuntes2.pdf

apuntes

-

Tema 1 (Apuntes y ejercicios resueltos)

He publicado nuevos apuntes de 1º Cálculo Infinitesimal: Tema 1 (Apuntes y ejercicios resueltos)

CIMisApuntes1.pdf
CIEjerciciosResueltos1.pdf
CIEjercicios1.pdf

He publicado nuevos apuntes de 1º Cálculo Infinitesimal: Apuntes-CI-Jose-Martinez.pdf

91 páginas

apuntes

-

APUNTES POR TEMA A ORDENADOR

He publicado nuevos apuntes de 1º Cálculo Infinitesimal: APUNTES POR TEMA A ORDENADOR

Tema-1-.pdf
Tema-2.pdf
Tema-3.pdf
Tema-4.pdf
Tema-5.pdf
Tema-6.pdf

He publicado nuevos apuntes de 1º Cálculo Infinitesimal: Tema-10.pdf

6 páginas

He publicado nuevos apuntes de 1º Cálculo Infinitesimal: Tema-9.pdf

3 páginas

He publicado nuevos apuntes de 1º Cálculo Infinitesimal: Tema-8.pdf

11 páginas

He publicado nuevos apuntes de 1º Cálculo Infinitesimal: Tema-7.pdf

10 páginas