chevron_left
chevron_right
Todo
Apuntes
Ejercicios
Exámenes
Trabajos
chevron_left
chevron_right

trabajos

-

trabajos clase

He publicado nuevos trabajos de 2º Cálculo Infinitesimal: trabajos clase

trabajo-fuentes-de-energia.pdf
trabajo-desarrollo-sostenible.pdf
trabajo-biodiversidad.pdf
PLAZA.pdf
2PLAZA.pdf
trabajo-materiales-reciclados.pdf

He publicado nuevos ejercicios de 2º Cálculo Infinitesimal: Prueba1201213Solucion.pdf

4 páginas

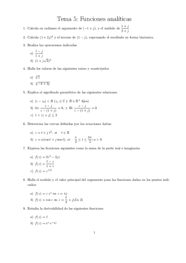
He publicado nuevos apuntes de 2º Cálculo Infinitesimal: tema5.pdf

3 páginas

He publicado nuevos apuntes de 2º Cálculo Infinitesimal: tema1.pdf

4 páginas

He publicado nuevos apuntes de 2º Cálculo Infinitesimal: 2018.pdf

9 páginas

He publicado nuevos apuntes de 2º Cálculo Infinitesimal: Calculo-I.pdf

88 páginas

apuntes

-

Exámenes 2

He publicado nuevos apuntes de 2º Cálculo Infinitesimal: Exámenes 2

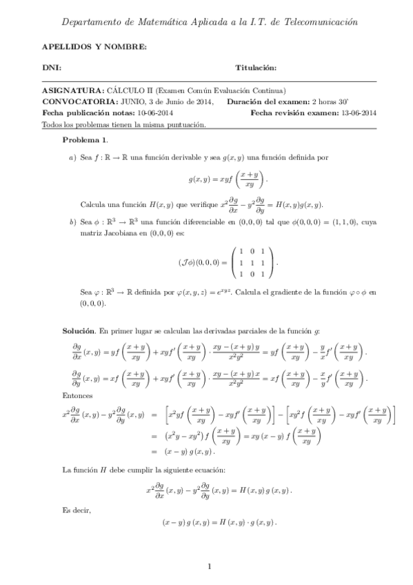
calculo2jun1617.pdf
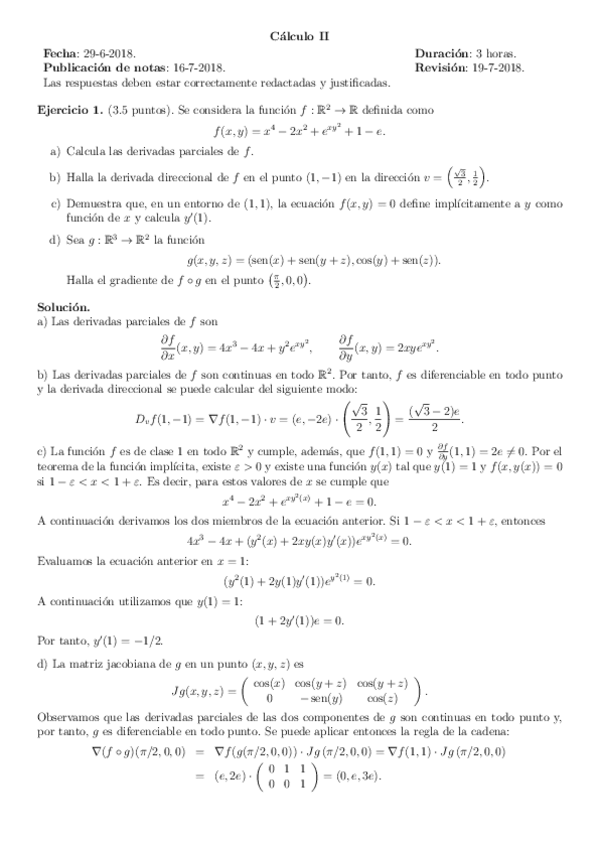
calculo2jun1718.pdf
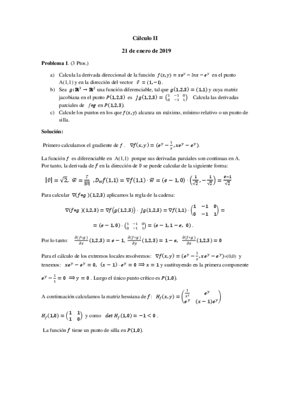
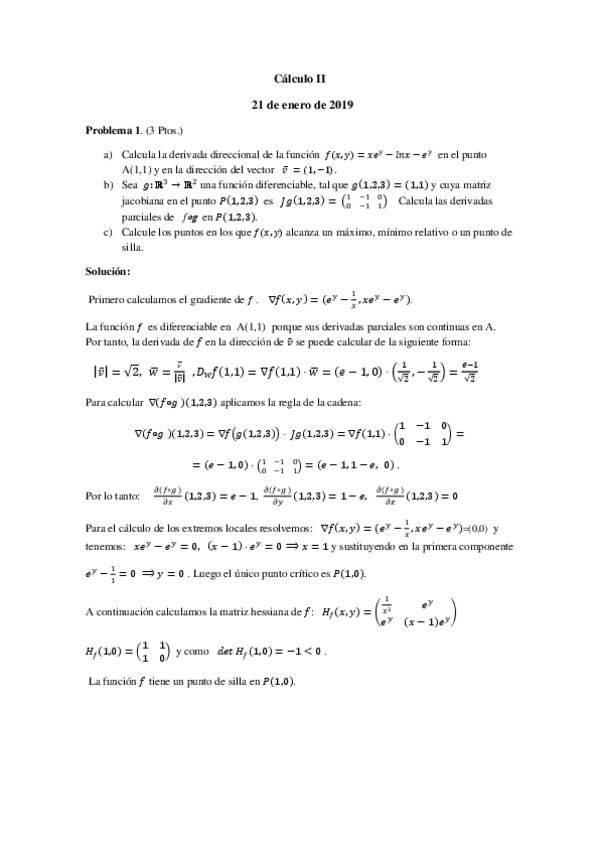
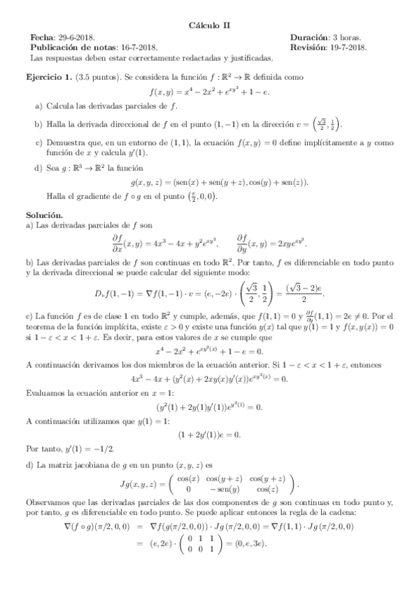
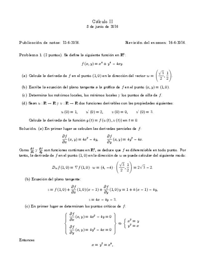
Solucion-examen-Calculo-II-enero-2019.pdf
calculo2jun1516.pdf
calculo2jun1415.pdf

examenes

-

Exámenes

He publicado nuevos examenes de 2º Cálculo Infinitesimal: Exámenes

calculo2feb1516.pdf
calculo2jul1718.pdf
calculo2jul1516.pdf
calculo2feb1415.pdf
calculo2jun1314.pdf
calculo2jul1415.pdf

ejercicios

-

Ejercicios de clase-soluciones

He publicado nuevos ejercicios de 2º Cálculo Infinitesimal: Ejercicios de clase-soluciones

Solucion-Problemas-T-1.pdf
Solucion-Problemas-T5.pdf
Solucion-Problemas-T6.pdf
Solucion-Problemas-T4.pdf
Solucion-Problemas-T-3.pdf
Solucion-Problemas-T-2.pdf

ejercicios

-

Ejercicios de clase

He publicado nuevos ejercicios de 2º Cálculo Infinitesimal: Ejercicios de clase

Problemas-T6.pdf
Problemas-T5.pdf
Problemas-T1.pdf
Problemas-T4.pdf
Problemas-T2.pdf
Problemas-T3.pdf

ejercicios

-

Ejercicios extra

He publicado nuevos ejercicios de 2º Cálculo Infinitesimal: Ejercicios extra

probcomplementarios3.pdf
probcomplementarios1.pdf
probcal220112012.pdf
probcomplementarios2.pdf
¡Estás al día!

¡Estás al día!

Has visto todos los archivos