Cálculo (Ing. Eléctrica/ Tecnologías Industriales)

chevron_left
chevron_right
Todo
Apuntes
publication
chevron_left
chevron_right

INSTALACION DE DISTRIBUCION

EJERCICIOS

apuntes

-

Apuntes

He publicado nuevos apuntes de 1º Cálculo (Ing. Eléctrica/ Tecnologías Industriales): Apuntes

Apuntes-Calculo-I.pdf
Examenes-Calculo-1part5.pdf
Examenes-Calculo-1part2.pdf
integracion.pdf
Transformadas-de-laplace.pdf
Libro-de-integrales-resueltas.pdf

He publicado nuevos apuntes de 1º Cálculo (Ing. Eléctrica/ Tecnologías Industriales): RESUMEN CALCULO T1 YELAMO26.pdf

11 páginas

apuntes

-

Libro Calculo 1 y 2 Larson con soluciones

He publicado nuevos apuntes de 1º Cálculo (Ing. Eléctrica/ Tecnologías Industriales): Libro Calculo 1 y 2 Larson con soluciones

Calculo 1 de Una Variable 9na Edición Ron Larson Lib.pdf
Cálculo 2 de Varias Variables 9na Edición Ron Larson- Bruce Edwards Lib.pdf
Solucionario Calculo 1 de Una Variable 9na Edición Ron Larson.pdf

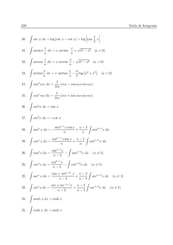
He publicado nuevos apuntes de 1º Cálculo (Ing. Eléctrica/ Tecnologías Industriales): tablaintegrales.pdf

6 páginas

He publicado nuevos apuntes de 1º Cálculo (Ing. Eléctrica/ Tecnologías Industriales): RAZONES trigonometricas.pdf

8 páginas
¡Estás al día!

¡Estás al día!

Has visto todos los archivos