Cálculo integral y geometría

chevron_left
chevron_right
Todo
Apuntes
Exámenes
chevron_left
chevron_right

He publicado nuevos examenes de 2º Cálculo integral y geometría: Calculo-Enero-2019.pdf

5 páginas

He publicado nuevos examenes de 2º Cálculo integral y geometría: Calculo-Febrero-2022.pdf

6 páginas

He publicado nuevos apuntes de 2º Cálculo integral y geometría: Calculo-Enero-2020.pdf

7 páginas

Examen de Calculo resuelto con la teoria que se ha de aplicar explicada en cada apartado.

11 páginas

He publicado nuevos examenes de 2º Cálculo integral y geometría: Parcial-Geometria-Octubre-2024.pdf

2 páginas

apuntes

-

examenes resueltos de calculo integral

He publicado nuevos apuntes de 2º Cálculo integral y geometría: examenes resueltos de calculo integral

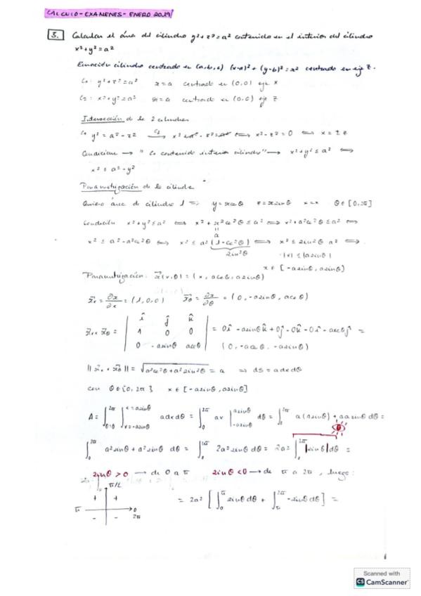
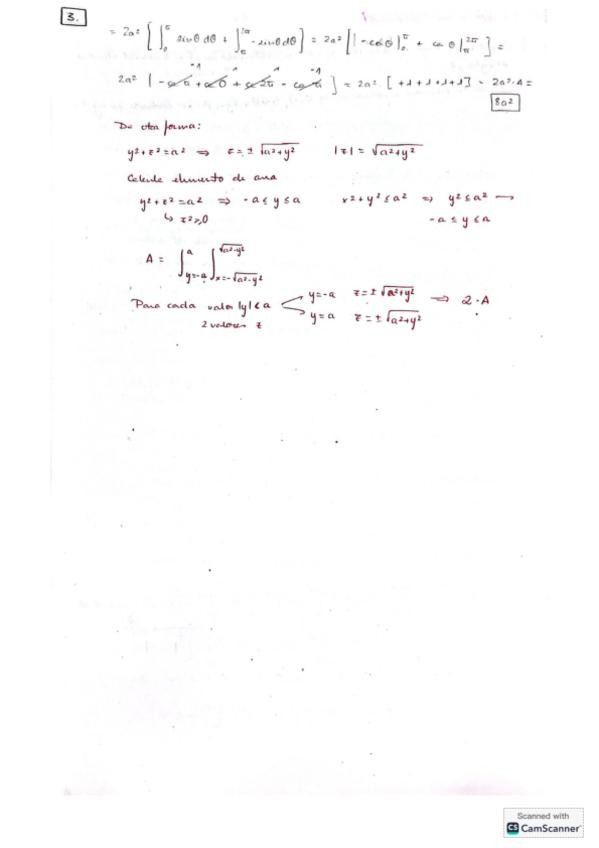
IMG1760.jpg
IMG1761.jpg
IMG1762.jpg
IMG1764.jpg
IMG1765.jpg

He publicado nuevos examenes de 2º Cálculo integral y geometría: ENERO-2023-calculo.pdf

3 páginas

He publicado nuevos examenes de 2º Cálculo integral y geometría: ENERO-2019-calculo.pdf

3 páginas
¡Estás al día!

¡Estás al día!

Has visto todos los archivos