chevron_left
chevron_right
Todo
Apuntes
chevron_left
chevron_right

He publicado nuevos apuntes de 2º Cálculo Integral: Calculo-de-Integrales-de-funciones.pdf

3 páginas

He publicado nuevos apuntes de 2º Cálculo Integral: REPRESENTACION-DE-FUNCIONES-MEDIANTE-LA-SERIE-DE-TAYLOR.pdf

3 páginas

He publicado nuevos apuntes de 2º Cálculo Integral: SERIE-DE-TAYLOR.pdf

3 páginas

He publicado nuevos apuntes de 2º Cálculo Integral: RADIO-DE-CONVERGENCIA.pdf

3 páginas

He publicado nuevos apuntes de 2º Cálculo Integral: SERIE-DE-POTENCIAS.pdf

3 páginas

He publicado nuevos apuntes de 2º Cálculo Integral: PRUEBA-DE-LA-RAIZ.pdf

3 páginas

He publicado nuevos apuntes de 2º Cálculo Integral: PRUEBA-DE-LA-RAZON.pdf

2 páginas

He publicado nuevos apuntes de 2º Cálculo Integral: SERIE-NUMERICA-Y-CONVERGENCIA.pdf

3 páginas

He publicado nuevos apuntes de 2º Cálculo Integral: SERIE-INFINITA.pdf

2 páginas

He publicado nuevos apuntes de 2º Cálculo Integral: SERIE-FINITA.pdf

2 páginas

He publicado nuevos apuntes de 2º Cálculo Integral: CALCULO-DE-CENTROIDES.pdf

2 páginas

He publicado nuevos apuntes de 2º Cálculo Integral: Integracionporpartes.pdf

7 páginas

He publicado nuevos apuntes de 2º Cálculo Integral: intporpartes2.pdf

8 páginas

He publicado nuevos apuntes de 2º Cálculo Integral: cambio-de-variable.pdf

7 páginas

He publicado nuevos apuntes de 2º Cálculo Integral: metodos.pdf

43 páginas

He publicado nuevos apuntes de 2º Cálculo Integral: Integracionporpartes.pdf

Miniatura no disponible
pdf

He publicado nuevos apuntes de 2º Cálculo Integral: intporpartes2.pdf

Miniatura no disponible
pdf

He publicado nuevos apuntes de 2º Cálculo Integral: cambio-de-variable.pdf

Miniatura no disponible
pdf

He publicado nuevos apuntes de 2º Cálculo Integral: metodos.pdf

Miniatura no disponible
pdf

He publicado nuevos apuntes de 2º Cálculo Integral: Integral-definida.pdf

Miniatura no disponible
pdf

He publicado nuevos apuntes de 2º Cálculo Integral: CalculoIntegral.pdf

115 páginas

He publicado nuevos apuntes de 2º Cálculo Integral: Solucion-a-integrales.pdf

1 página

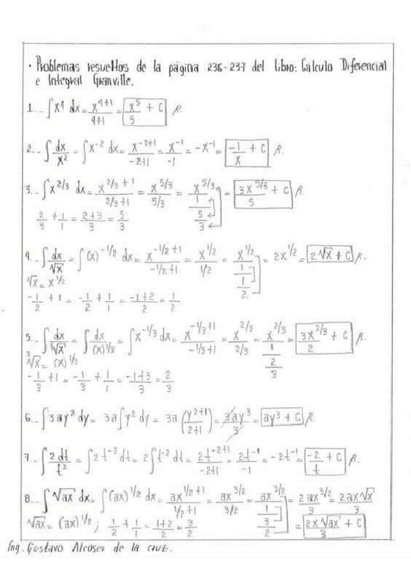
He publicado nuevos apuntes de 2º Cálculo Integral: Integrales-basicas.pdf

1 página

He publicado nuevos apuntes de 2º Cálculo Integral: Formulario-CI.pdf

1 página

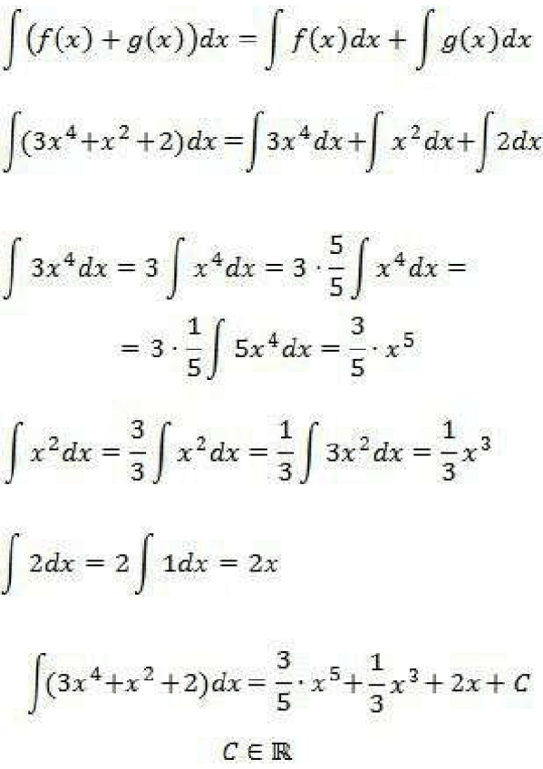
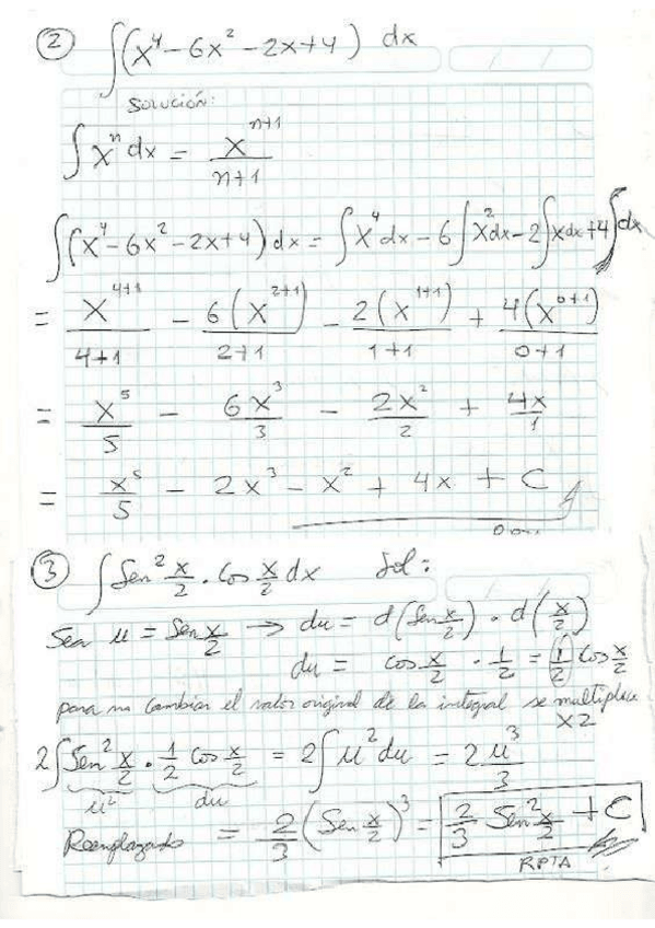
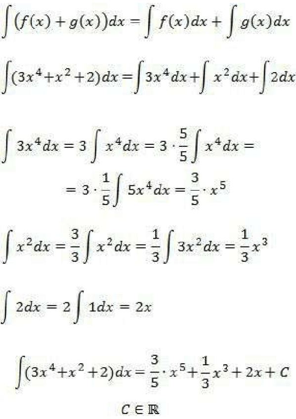
He publicado nuevos apuntes de 2º Cálculo Integral: Ejercicios-resueltos-Cintegral.pdf

1 página

He publicado nuevos apuntes de 2º Cálculo Integral: Ejercicios-Cintegral-RESUELTOS.pdf

1 página
¡Estás al día!

¡Estás al día!

Has visto todos los archivos