chevron_left
chevron_right
Todo
Apuntes
Ejercicios
Exámenes
Otros
chevron_left
chevron_right

He publicado nuevos otros de 2º Cálculo Integral: Tabla-de-integrales.pdf

5 páginas

He publicado nuevos ejercicios de 2º Cálculo Integral: Metodos-de-integracion.pdf

7 páginas

He publicado nuevos ejercicios de 2º Cálculo Integral: integral-de-valor-absoluto.pdf

1 página

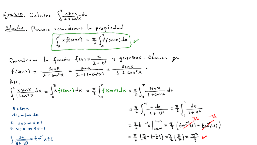
He publicado nuevos ejercicios de 2º Cálculo Integral: Integral-interesante-con-propiedades.pdf

1 página

examenes

-

Examenes

He publicado nuevos examenes de 2º Cálculo Integral: Examenes

Examen 3.pdf
Examen 1.pdf
Examen 2.pdf

He publicado nuevos apuntes de 2º Cálculo Integral: 24SERIES.pdf

13 páginas

He publicado nuevos apuntes de 2º Cálculo Integral: 22y23SUCESIONES.pdf

10 páginas

He publicado nuevos apuntes de 2º Cálculo Integral: 25seriesdeterminospositivos.pdf

7 páginas

He publicado nuevos apuntes de 2º Cálculo Integral: 28Seriesdepotencias.pdf

4 páginas

He publicado nuevos apuntes de 2º Cálculo Integral: 26Criteriosdeconvergencia.pdf

6 páginas

He publicado nuevos apuntes de 2º Cálculo Integral: 30y31TaylorydeMaclaurin.pdf

4 páginas

He publicado nuevos apuntes de 2º Cálculo Integral: 18FUERZAYTRABAJO.pdf

8 páginas

He publicado nuevos apuntes de 2º Cálculo Integral: 19CuRVASPARAMETRICAS.pdf

7 páginas

He publicado nuevos apuntes de 2º Cálculo Integral: 20COORDENADASPOLARESpt1.pdf

16 páginas

He publicado nuevos apuntes de 2º Cálculo Integral: 20COORDENADASPOLARESpt2.pdf

11 páginas

He publicado nuevos apuntes de 2º Cálculo Integral: CLASE17LONGITUDDEARCO1.pdf

7 páginas

He publicado nuevos apuntes de 2º Cálculo Integral

https://youtu.be/tpKJpvPGOp0

He publicado nuevos apuntes de 2º Cálculo Integral: CLASE1516CalculodeVolumenes.pdf

6 páginas

He publicado nuevos apuntes de 2º Cálculo Integral

https://youtu.be/L2lsWLq2bls

He publicado nuevos apuntes de 2º Cálculo Integral: 14Calculodeareas.pdf

4 páginas

He publicado nuevos apuntes de 2º Cálculo Integral: 13Integralesimpropias.pdf

8 páginas

He publicado nuevos apuntes de 2º Cálculo Integral

https://youtu.be/AnE3dtjMeOE

He publicado nuevos apuntes de 2º Cálculo Integral: 10y11Fraccionesparciales.pdf

6 páginas

He publicado nuevos apuntes de 2º Cálculo Integral: 9sustitucioniTrigonometrica.pdf

9 páginas

He publicado nuevos apuntes de 2º Cálculo Integral: 8integralesTrigonometricas.pdf

7 páginas

He publicado nuevos apuntes de 2º Cálculo Integral: 7Integracionporpartes.pdf

10 páginas

He publicado nuevos apuntes de 2º Cálculo Integral

https://youtu.be/CLSy4uUL4-Y

He publicado nuevos apuntes de 2º Cálculo Integral

https://youtu.be/zVnruMK3zWU

He publicado nuevos apuntes de 2º Cálculo Integral

https://youtu.be/UpbTzQPE-GA

He publicado nuevos apuntes de 2º Cálculo Integral: 6sustitucion.pdf

7 páginas

He publicado nuevos apuntes de 2º Cálculo Integral: 5Integralesindefinidas.pdf

8 páginas

He publicado nuevos apuntes de 2º Cálculo Integral

https://youtu.be/ANIS1GlApw8

He publicado nuevos apuntes de 2º Cálculo Integral

https://youtu.be/MuIx4VPdmHo

He publicado nuevos apuntes de 2º Cálculo Integral

https://youtu.be/Q00nBaHyXS8

He publicado nuevos apuntes de 2º Cálculo Integral

https://youtu.be/qkm83ZQ3kmI

He publicado nuevos apuntes de 2º Cálculo Integral

https://youtu.be/S7Z5eNCuRp8

He publicado nuevos apuntes de 2º Cálculo Integral

https://youtu.be/vyvHXVYKs10

He publicado nuevos apuntes de 2º Cálculo Integral

https://youtu.be/CoJUD3ull8k

He publicado nuevos apuntes de 2º Cálculo Integral

https://youtu.be/R6NHJRKVcd0

He publicado nuevos apuntes de 2º Cálculo Integral: 4Teoremafundamentaldelcalculo.pdf

4 páginas

He publicado nuevos apuntes de 2º Cálculo Integral: 3Propiedades-de-la-integral.pdf

3 páginas

He publicado nuevos apuntes de 2º Cálculo Integral: 2areaeintegraldefinida.pdf

8 páginas

He publicado nuevos apuntes de 2º Cálculo Integral: 1Antiderivadasoprimitivas.pdf

6 páginas

He publicado nuevos apuntes de 2º Cálculo Integral: Series.pdf

19 páginas

He publicado nuevos apuntes de 2º Cálculo Integral: SucesionesyLimitedeunasucesion.pdf

10 páginas

He publicado nuevos apuntes de 2º Cálculo Integral: Repaso-aplicaciones-de-la-integral.pdf

20 páginas

He publicado nuevos apuntes de 2º Cálculo Integral: Curvasparametricas.pdf

10 páginas
Anónimo

@Anónimo

introducción al cálculo integral

3 páginas
¡Estás al día!

¡Estás al día!

Has visto todos los archivos