Cálculo Numérico II

chevron_left
chevron_right
Todo
Apuntes
Ejercicios
Exámenes
Prácticas
chevron_left
chevron_right

apuntes

-

APUNTES CLASE DE TODOS LOS TEMAS DE CNII

He publicado nuevos apuntes de 2º Cálculo Numérico II: APUNTES CLASE DE TODOS LOS TEMAS DE CNII

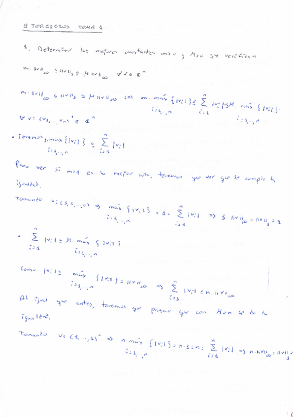
CNII-TEMA-1-ELEMENTOS-DE-ALGEBRA-LINEAL-Y-NORMAS-APUNTES-DE-CLASE--EJERCICIOS.pdf
CNII-TEMA-2-CONDICIONAMIENTO-DE-MATRICES-APUNTES-DE-CLASE--EJERCICIOS.pdf
CNII-TEMA-3-METODOS-ITERATIVOS-DE-RESOLUCION-DE-SISTEMAS-LINEALES-APUNTES-DE-CLASE-DEMOSTRACIONES-Y-EJERCICIOS.pdf
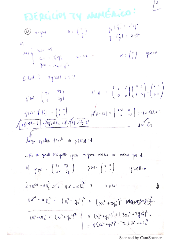
CNII-TEMA-4-RESOLUCION-DE-SISTEMAS-DE-ECUACIONES-NO-LINEALES-APUNTES-DE-CLASE-DEMOSTRACIONES-Y-EJERCICIOS.pdf
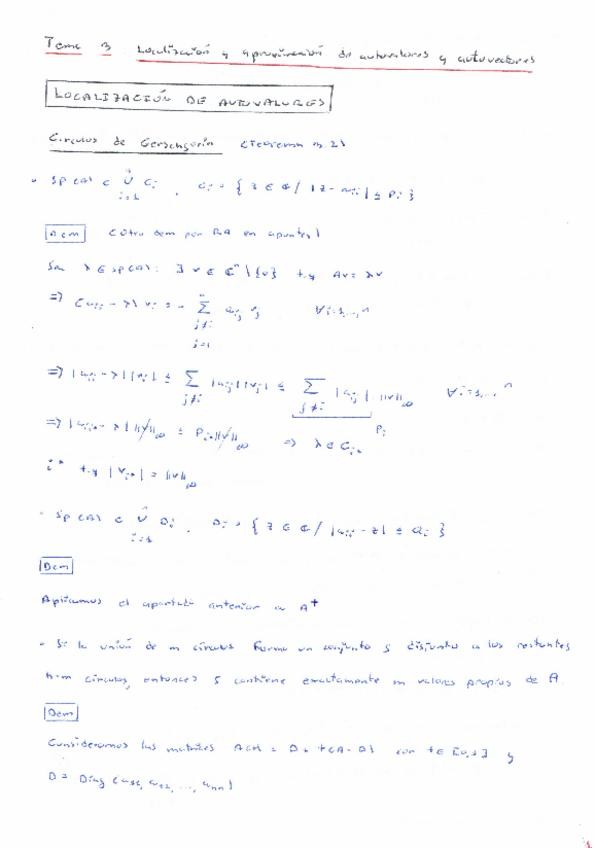
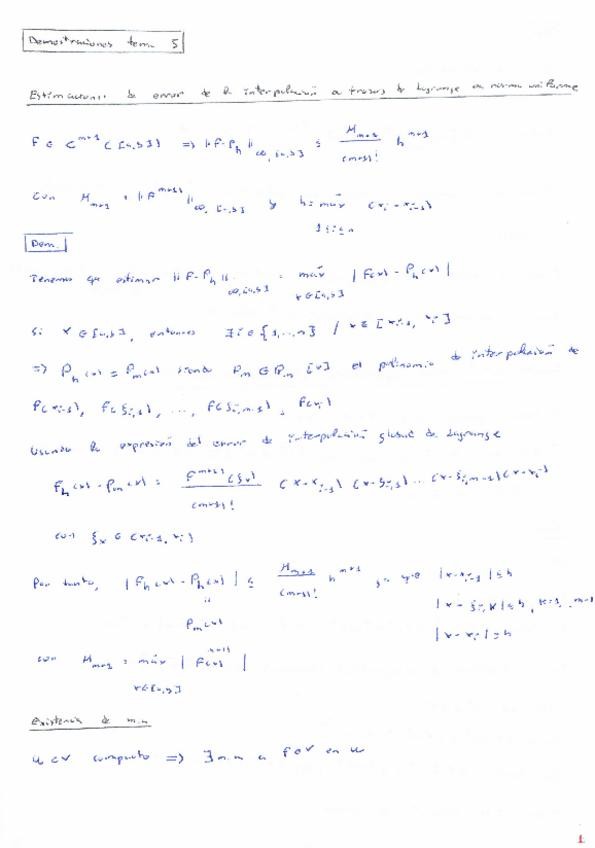
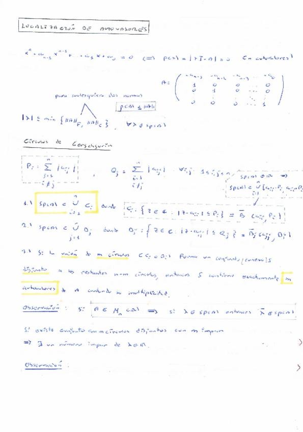
CNII-TEMA-5-LOCALIZACION-Y-APROXIMACION-DE-AUTOVALORES-Y-AUTOVECTORES-APUNTES-DE-CLASE-DEMOSTRACIONES-Y-EJERCICIOS.pdf

apuntes

-

RESUMEN APUNTES DE TODOS LOS TEMAS DE CNII

He publicado nuevos apuntes de 2º Cálculo Numérico II: RESUMEN APUNTES DE TODOS LOS TEMAS DE CNII

CNII-RESUMEN-APUNTES-TEMA-1-ELEMENTOS-DE-ALGEBRA-LINEAL-Y-NORMAS.pdf
CNII-RESUMEN-APUNTES-TEMA-2-CONDICIONAMIENTO-DE-MATRICES.pdf

ejercicios

-

Boletines Resueltos

He publicado nuevos ejercicios de 2º Cálculo Numérico II: Boletines Resueltos

1_Matrices_y_Normas.pdf
1_Condicionamiento_de_SL.pdf
2-Metodos-iterativos-de-resolucion-de-SL.pdf
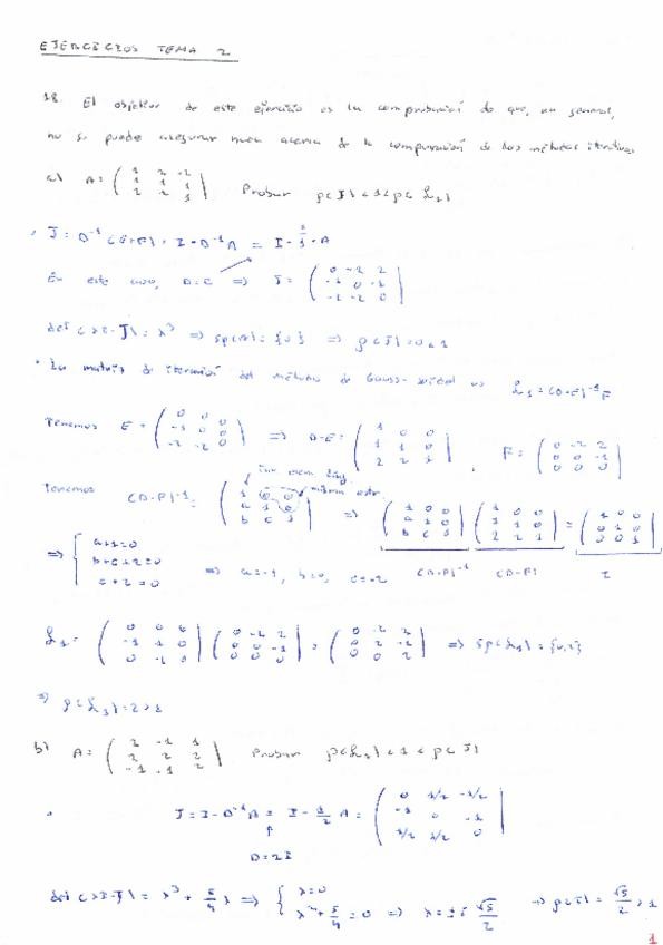
3-Localizacion-y-Aproximacion-de-Autovectores-y-Autovalores.pdf
4-Aproximacion-de-sistemas-no-lineales.pdf
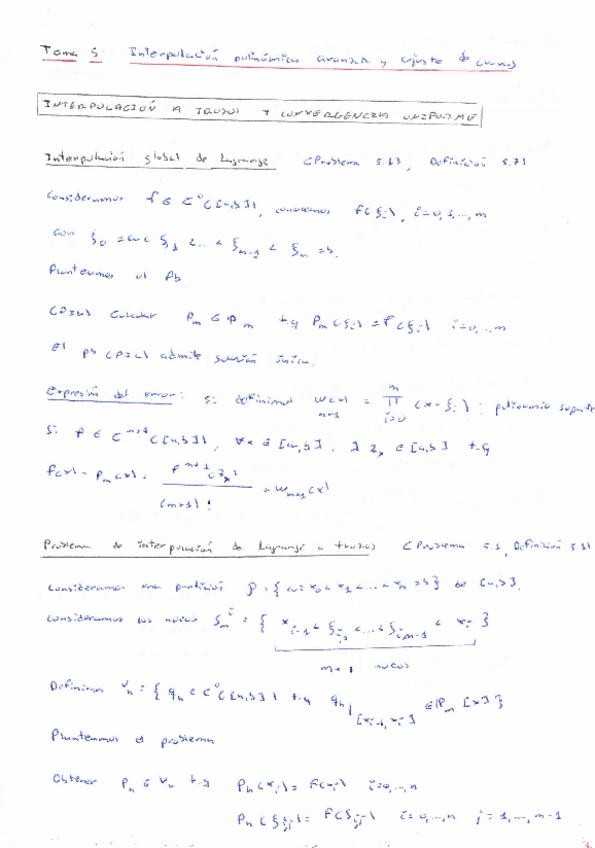
5-Interpolacion-polinomica.pdf

He publicado nuevos examenes de 2º Cálculo Numérico II: Examen-Resuelto-Julio-2021.pdf

7 páginas

apuntes

-

Teoría

He publicado nuevos apuntes de 2º Cálculo Numérico II: Teoría

1_Normas_Matriciales_Condicionamiento_de_SL.pdf
5-Interpolacion-y-aproximacion.pdf
2-Metodos-iterativos-de-resolucion-de-sistemas-lineales.pdf
3-Localizacion-y-Aproximacion-de-Autovectores-y-Autovalores.pdf
4-Resolucion-de-SENL.pdf
6-Resolucion-Numerica-de-EDOs.pdf

He publicado nuevos examenes de 2º Cálculo Numérico II: Examen-Resuelto-Junio-2021.pdf

6 páginas

He publicado nuevos examenes de 2º Cálculo Numérico II: Examen-Resuelto-MATLAB-2022.pdf

13 páginas

He publicado nuevos examenes de 2º Cálculo Numérico II: Examen-Resuelto-MATLAB-2021.pdf

11 páginas

He publicado nuevos practicas de 2º Cálculo Numérico II: MATLAB-EDOs.pdf

13 páginas

He publicado nuevos practicas de 2º Cálculo Numérico II: MATLAB-Interpolacion.pdf

10 páginas

He publicado nuevos practicas de 2º Cálculo Numérico II: MATLAB-Sistemas-No-Lineales.pdf

8 páginas

He publicado nuevos practicas de 2º Cálculo Numérico II: Matlab-Aproximacion-Sistemas-Lineales.pdf

14 páginas

He publicado nuevos practicas de 2º Cálculo Numérico II: Matlab-Aproximacion-Ec-No-Lineales.pdf

9 páginas

He publicado nuevos practicas de 2º Cálculo Numérico II: MATLAB-CondicionamientoBucles.pdf

10 páginas

He publicado nuevos practicas de 2º Cálculo Numérico II: MATLAB-Resolucion-de-Sistemas-Lineales.pdf

3 páginas

He publicado nuevos practicas de 2º Cálculo Numérico II: MATLAB-Operaciones-con-Vectores-y-Dibujo-de-Curvas.pdf

2 páginas

apuntes

-

Tema 6 (Apuntes y ejercicios resueltos)

He publicado nuevos apuntes de 2º Cálculo Numérico II: Tema 6 (Apuntes y ejercicios resueltos)

CNIIMisApuntes6.pdf
CNIIMisResumenes6.pdf

apuntes

-

Tema 5 (Apuntes y ejercicios resueltos)

He publicado nuevos apuntes de 2º Cálculo Numérico II: Tema 5 (Apuntes y ejercicios resueltos)

CNIIDemostraciones5.pdf
CNIIMisResumenes5.pdf
CNIIMisApuntes5.pdf
CNIIEjerciciosResueltos5.pdf

apuntes

-

Tema 4 (Apuntes y ejercicios resueltos)

He publicado nuevos apuntes de 2º Cálculo Numérico II: Tema 4 (Apuntes y ejercicios resueltos)

CNIIMisResumenes4.pdf
CNIIDemostraciones4.pdf
CNIIEjerciciosResueltos4.pdf
CNIIMisApuntes4.pdf

He publicado nuevos examenes de 2º Cálculo Numérico II: CNIIEjerciciosResueltosPrimerParcial.pdf

22 páginas

apuntes

-

Tema 3 (Apuntes y ejercicios resueltos)

He publicado nuevos apuntes de 2º Cálculo Numérico II: Tema 3 (Apuntes y ejercicios resueltos)

CNIIMisResumenes3.pdf
CNIIEjerciciosResueltos3.pdf
CNIIMisApuntes3.pdf

apuntes

-

Tema 2 (Apuntes y ejercicios resueltos)

He publicado nuevos apuntes de 2º Cálculo Numérico II: Tema 2 (Apuntes y ejercicios resueltos)

CNIIMisApuntes2.pdf
CNIIMisResumenes2.pdf
CNIIEjerciciosResueltos2.pdf

apuntes

-

Tema 1 (Apuntes y ejercicios resueltos)

He publicado nuevos apuntes de 2º Cálculo Numérico II: Tema 1 (Apuntes y ejercicios resueltos)

CNIIEjerciciosResueltos1.pdf
CNIIMisResumenes1.pdf
CNIIMisApuntes1.pdf

examenes

-

RESUELTOS EXÁMENES

He publicado nuevos examenes de 2º Cálculo Numérico II: RESUELTOS EXÁMENES

RESUELTO-Primera-Convocatoria-Junio-2015-Numerico-II.pdf
RESUELTO-Septiembre-2017-Numerico-II.pdf
RESUELTO-Primer-parcial-2015.pdf
RESUELTO-Primer-parcial-grupo-C-2017-Numerico-II.pdf
RESUELTO-Primer-parcial-2018-Numerico-II.pdf
RESUELTO-Primer-parcial-grupo-B-2018-Numerico-II.pdf

He publicado nuevos ejercicios de 2º Cálculo Numérico II: RESUELTOS-Ejercicios-Todos-los-temas-Numerico-II.pdf

31 páginas

ejercicios

-

EJ RESUELTOS por TEMAS

He publicado nuevos ejercicios de 2º Cálculo Numérico II: EJ RESUELTOS por TEMAS

RESUELTOS-Ejercicios-Tema-4-Numerico-II.pdf
RESUELTOS-Ejercicios-Tema-5-Numerico-II.pdf
RESUELTOS-Ejercicios-Tema-3-Numerico-II.pdf
RESUELTOS-Ejercicios-Tema-6-Numerico-II.pdf
RESUELTOS-Ejercicios-Tema-2-Numerico-II.pdf
¡Estás al día!

¡Estás al día!

Has visto todos los archivos