chevron_left
chevron_right
Todo
Apuntes
Ejercicios
Exámenes
Prácticas
chevron_left
chevron_right

He publicado nuevos practicas de 2º Cálculo Numérico II: CNII-RESUMEN-FUNCIONES-MATLAB.pdf

1 página

apuntes

-

APUNTES CLASE DE TODOS LOS TEMAS DE CNII

He publicado nuevos apuntes de 2º Cálculo Numérico II: APUNTES CLASE DE TODOS LOS TEMAS DE CNII

CNII-TEMA-1-ELEMENTOS-DE-ALGEBRA-LINEAL-Y-NORMAS-APUNTES-DE-CLASE--EJERCICIOS.pdf
CNII-TEMA-2-CONDICIONAMIENTO-DE-MATRICES-APUNTES-DE-CLASE--EJERCICIOS.pdf
CNII-TEMA-3-METODOS-ITERATIVOS-DE-RESOLUCION-DE-SISTEMAS-LINEALES-APUNTES-DE-CLASE-DEMOSTRACIONES-Y-EJERCICIOS.pdf
CNII-TEMA-4-RESOLUCION-DE-SISTEMAS-DE-ECUACIONES-NO-LINEALES-APUNTES-DE-CLASE-DEMOSTRACIONES-Y-EJERCICIOS.pdf
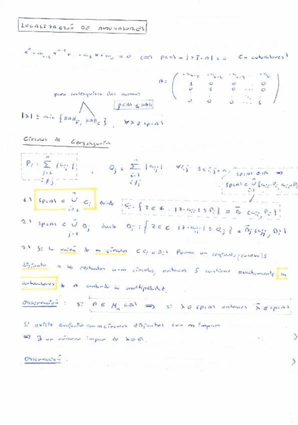
CNII-TEMA-5-LOCALIZACION-Y-APROXIMACION-DE-AUTOVALORES-Y-AUTOVECTORES-APUNTES-DE-CLASE-DEMOSTRACIONES-Y-EJERCICIOS.pdf

apuntes

-

RESUMEN APUNTES DE TODOS LOS TEMAS DE CNII

He publicado nuevos apuntes de 2º Cálculo Numérico II: RESUMEN APUNTES DE TODOS LOS TEMAS DE CNII

CNII-RESUMEN-APUNTES-TEMA-1-ELEMENTOS-DE-ALGEBRA-LINEAL-Y-NORMAS.pdf
CNII-RESUMEN-APUNTES-TEMA-2-CONDICIONAMIENTO-DE-MATRICES.pdf

ejercicios

-

Algunos EJERCICIOS RESUELTOS

He publicado nuevos ejercicios de 2º Cálculo Numérico II: Algunos EJERCICIOS RESUELTOS

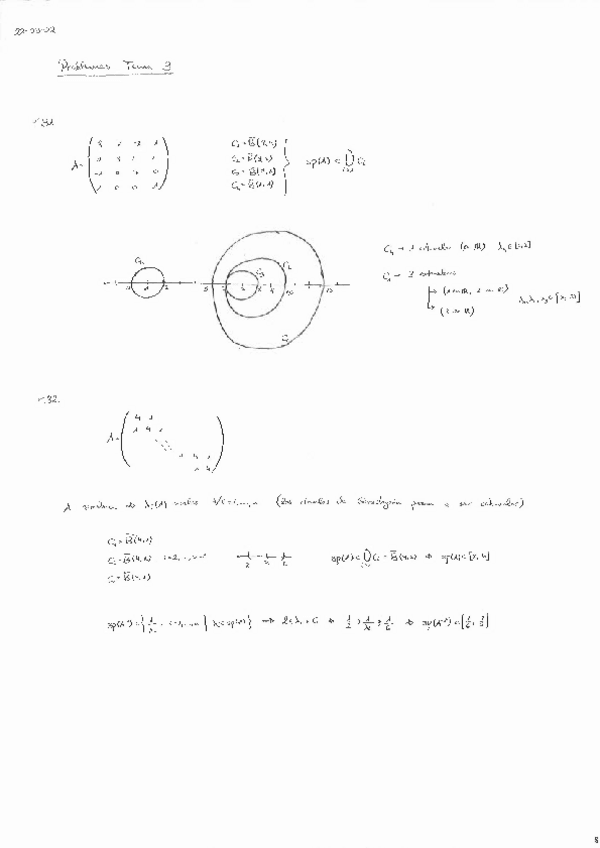
Problemas-U3watermarked.pdf
Problemas-U4watermarked.pdf
Problemas-U5watermarked.pdf
Problemas-U6watermarked.pdf
Problemas-U1watermarked.pdf
Problemas-U2watermarked.pdf

apuntes

-

APUNTES de casi todos los temas

He publicado nuevos apuntes de 2º Cálculo Numérico II: APUNTES de casi todos los temas

Apuntes-Tema-5-Interpolacion-Polinomica-Avanzada-y-Ajuste-de-Curvaswatermarked.pdf
Apuntes-Tema-1-Elementos-de-Algebra-Lineal-Normaswatermarked.pdf
Apuntes-Tema-2-Metodos-iterativos-de-resolucion-de-sistemas-linealeswatermarked.pdf
Apuntes-Tema-3-Localizacion-y-aproximacion-de-autovalores-y-autovectoreswatermarked.pdf
Apuntes-Tema-4-Resolucion-de-Sistemas-de-Ecuaciones-no-Linealeswatermarked.pdf

He publicado nuevos examenes de 2º Cálculo Numérico II: Ejercicios-de-examenes-y-boletines-2o-Parcial-CNII.pdf

29 páginas

He publicado nuevos examenes de 2º Cálculo Numérico II: Ejercicios-de-examenes-1er-Parcial-CNII.pdf

11 páginas

apuntes

-

Apuntes y resúmenes

He publicado nuevos apuntes de 2º Cálculo Numérico II: Apuntes y resúmenes

Resumenes-TODOS-los-temas-CNII.pdf
Tema-6-CNII.pdf
Tema-5-CNII.pdf
Tema-4-CNII.pdf
Tema-3-CNII.pdf
Tema-1-CNII.pdf

He publicado nuevos examenes de 2º Cálculo Numérico II: Examen-Resuelto-Julio-2021.pdf

7 páginas

He publicado nuevos examenes de 2º Cálculo Numérico II: Examen-Resuelto-Junio-2021.pdf

6 páginas

He publicado nuevos examenes de 2º Cálculo Numérico II: Examen-Resuelto-MATLAB-2022.pdf

13 páginas

He publicado nuevos examenes de 2º Cálculo Numérico II: Examen-Resuelto-MATLAB-2021.pdf

11 páginas

He publicado nuevos practicas de 2º Cálculo Numérico II: MATLAB-EDOs.pdf

13 páginas

He publicado nuevos practicas de 2º Cálculo Numérico II: MATLAB-Interpolacion.pdf

10 páginas

He publicado nuevos practicas de 2º Cálculo Numérico II: MATLAB-Sistemas-No-Lineales.pdf

8 páginas

He publicado nuevos practicas de 2º Cálculo Numérico II: Matlab-Aproximacion-Sistemas-Lineales.pdf

14 páginas

He publicado nuevos practicas de 2º Cálculo Numérico II: Matlab-Aproximacion-Ec-No-Lineales.pdf

9 páginas

He publicado nuevos practicas de 2º Cálculo Numérico II: MATLAB-CondicionamientoBucles.pdf

10 páginas

He publicado nuevos practicas de 2º Cálculo Numérico II: MATLAB-Resolucion-de-Sistemas-Lineales.pdf

3 páginas

He publicado nuevos practicas de 2º Cálculo Numérico II: MATLAB-Operaciones-con-Vectores-y-Dibujo-de-Curvas.pdf

2 páginas

apuntes

-

Resúmenes todos los temas

He publicado nuevos apuntes de 2º Cálculo Numérico II: Resúmenes todos los temas

CNII-Resumen.pdf

practicas

-

Resumen Matlab

He publicado nuevos practicas de 2º Cálculo Numérico II: Resumen Matlab

CNII-Resumen-Apuntes-Matlab.pdf

ejercicios

-

Problemas resueltos

He publicado nuevos ejercicios de 2º Cálculo Numérico II: Problemas resueltos

CNII-Problemas-Tema-1.pdf
CNII-Problemas-Tema-2.pdf
CNII-Problemas-Tema-3.pdf
CNII-Problemas-Tema-4.pdf
CNII-Problemas-Tema-5.pdf
CNII-Problemas-Tema-6.pdf

apuntes

-

Apuntes completos

He publicado nuevos apuntes de 2º Cálculo Numérico II: Apuntes completos

CNII-Apuntes-Tema-1.pdf
CNII-Apuntes-Tema-2.pdf
CNII-Apuntes-Tema-3.pdf
CNII-Apuntes-Tema-4.pdf
CNII-Apuntes-Tema-5.pdf
CNII-Apuntes-Tema-6.pdf

apuntes

-

Temas CNII

He publicado nuevos apuntes de 2º Cálculo Numérico II: Temas CNII

T2-CNII-Teoria.pdf
T3-CNII-Teoria.pdf
T4-CNII-Teoria.pdf
T1-CNII-Teoria.pdf
T6-CNII-Teoria.pdf
T5-CNII-Teoria.pdf

He publicado nuevos apuntes de 2º Cálculo Numérico II: Examenes-anteriores-CNII.pdf

18 páginas

He publicado nuevos apuntes de 2º Cálculo Numérico II: Ejercicios-CNII-todos-los-temas.pdf

70 páginas

He publicado nuevos apuntes de 2º Cálculo Numérico II: Comandos-MATLAB.pdf

3 páginas

ejercicios

-

Ejercicios resueltos por temas

He publicado nuevos ejercicios de 2º Cálculo Numérico II: Ejercicios resueltos por temas

CN-2-tema4.pdf
CN-2-tema-6.pdf
CN-2-tema5.pdf
CN-2-temas-1-2-3.pdf

He publicado nuevos apuntes de 2º Cálculo Numérico II: Resumen-Primer-Parcial-CNII.pdf

21 páginas

apuntes

-

Tema 6 (Apuntes y ejercicios resueltos)

He publicado nuevos apuntes de 2º Cálculo Numérico II: Tema 6 (Apuntes y ejercicios resueltos)

CNIIMisApuntes6.pdf
CNIIMisResumenes6.pdf

apuntes

-

Tema 5 (Apuntes y ejercicios resueltos)

He publicado nuevos apuntes de 2º Cálculo Numérico II: Tema 5 (Apuntes y ejercicios resueltos)

CNIIDemostraciones5.pdf
CNIIEjerciciosResueltos5.pdf
CNIIMisApuntes5.pdf
CNIIMisResumenes5.pdf

apuntes

-

Tema 4 (Apuntes y ejercicios resueltos)

He publicado nuevos apuntes de 2º Cálculo Numérico II: Tema 4 (Apuntes y ejercicios resueltos)

CNIIMisApuntes4.pdf
CNIIDemostraciones4.pdf
CNIIEjerciciosResueltos4.pdf
CNIIMisResumenes4.pdf

He publicado nuevos examenes de 2º Cálculo Numérico II: CNIIEjerciciosResueltosPrimerParcial.pdf

22 páginas

apuntes

-

Tema 3 (Apuntes y ejercicios resueltos)

He publicado nuevos apuntes de 2º Cálculo Numérico II: Tema 3 (Apuntes y ejercicios resueltos)

CNIIMisApuntes3.pdf
CNIIEjerciciosResueltos3.pdf
CNIIMisResumenes3.pdf

apuntes

-

Tema 2 (Apuntes y ejercicios resueltos)

He publicado nuevos apuntes de 2º Cálculo Numérico II: Tema 2 (Apuntes y ejercicios resueltos)

CNIIMisApuntes2.pdf
CNIIMisResumenes2.pdf
CNIIEjerciciosResueltos2.pdf

apuntes

-

Tema 1 (Apuntes y ejercicios resueltos)

He publicado nuevos apuntes de 2º Cálculo Numérico II: Tema 1 (Apuntes y ejercicios resueltos)

CNIIEjerciciosResueltos1.pdf
CNIIMisApuntes1.pdf
CNIIMisResumenes1.pdf

examenes

-

RESUELTOS EXÁMENES

He publicado nuevos examenes de 2º Cálculo Numérico II: RESUELTOS EXÁMENES

RESUELTO-Primera-Convocatoria-Junio-2015-Numerico-II.pdf
RESUELTO-Primer-parcial-grupo-C-2017-Numerico-II.pdf
RESUELTO-Primer-parcial-grupo-B-2018-Numerico-II.pdf
RESUELTO-Primera-Convocatoria-26-junio-2017-Numerico-II.pdf
RESUELTO-Primer-parcial-2018-Numerico-II.pdf
RESUELTO-Primer-parcial-2015.pdf

He publicado nuevos ejercicios de 2º Cálculo Numérico II: RESUELTOS-Ejercicios-Todos-los-temas-Numerico-II.pdf

31 páginas

ejercicios

-

RESUELTOS EJERCICIOS POR TEMAS

He publicado nuevos ejercicios de 2º Cálculo Numérico II: RESUELTOS EJERCICIOS POR TEMAS

RESUELTOS-Ejercicios-Tema-4-Numerico-II.pdf
RESUELTOS-Ejercicios-Tema-5-Numerico-II.pdf
RESUELTOS-Ejercicios-Tema-6-Numerico-II.pdf
RESUELTOS-Ejercicios-Tema-3-Numerico-II.pdf
RESUELTOS-Ejercicios-Tema-2-Numerico-II.pdf
¡Estás al día!

¡Estás al día!

Has visto todos los archivos