Cálculo vectorial

chevron_left
chevron_right
Todo
Apuntes
Ejercicios
Exámenes
Otros
Prácticas
Trabajos
chevron_left
chevron_right

Este documento del IPN (ESIME) ofrece una introducción técnica a los vectores en el plano, diferenciando inicialmente las magnitudes escalares de las vectoriales, como la fuerza y la velocidad. Define al vector como un segmento de recta dirigido con magni

23 páginas

He publicado nuevos apuntes de 2º Cálculo vectorial: final002.Resumen-Funciones-de-varias-variables.pdf

24 páginas

He publicado nuevos apuntes de 2º Cálculo vectorial: final009.Documento.pdf

6 páginas

He publicado nuevos apuntes de 3º Cálculo vectorial: final007.Documento.pdf

4 páginas

Ejercicios resueltos Cap:14.1, Funciones de varias variables, part 1, Ejercicios: 5, 6, 7, 8, 9, 10, 11, 12, 13, 14, 15, 16, 17, 18,19,20,21,22

5 páginas

Ejercicios resueltos con procedimiento detallado, paso a paso, con anotaciones extra del libro Thomas, Cálculo de Varias Variables, Decimosegunda edición.

5 páginas

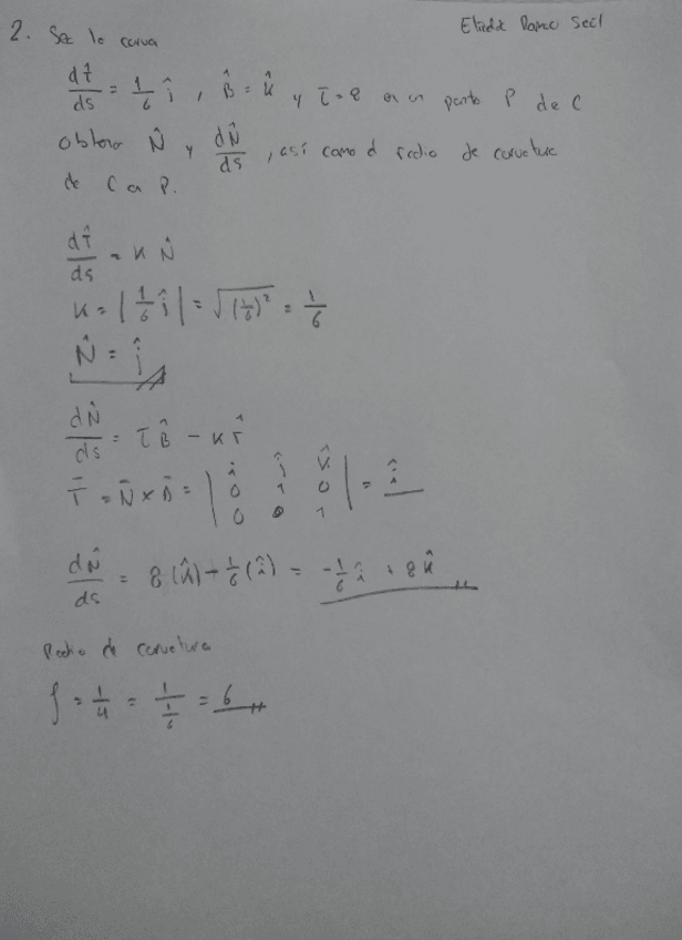
Ejercicios resueltos con procedimiento detallado paso por paso con anotaciones extra del libro Thomas Cálculo de Varias Variables, decimosegunda edición. Cap 13.4: Curvatura y vectores normales de una curva

6 páginas

He publicado nuevos apuntes de 3º Cálculo vectorial: Calculo-Vectorial-Thomas-12Ed-Cap-13-3-EX-1-3-7-9-11-13-15.pdf.pdf

2 páginas

Ejercicios resueltos con procedimiento detallado paso por paso con anotaciones extra del libro Thomas Cálculo de Varias Variables, Decimosegunda edición.

4 páginas

Ejercicios resueltos con procedimiento detallado paso por paso con anotaciones extra del libro Tomas Calculo de Varias Variables, Decimosegunda edición.

3 páginas

He publicado nuevos apuntes de 3º Cálculo vectorial: 006-coordenadas-esfericas.pdf

4 páginas

He publicado nuevos apuntes de 3º Cálculo vectorial: 005-coordenadas-cilindricas.pdf

4 páginas

He publicado nuevos apuntes de 3º Cálculo vectorial: 004-superficies.pdf

5 páginas

He publicado nuevos apuntes de 2º Cálculo vectorial: 003-planos-en-R3.pdf

10 páginas

He publicado nuevos apuntes de 3º Cálculo vectorial: 002-recta-en-R3.pdf

4 páginas

He publicado nuevos apuntes de 2º Cálculo vectorial: 001-vectores-con-productos-punto-y-cruz.pdf

12 páginas

apuntes

-

Cálculo Vectorial 24/25

He publicado nuevos apuntes de 1º Cálculo vectorial: Cálculo Vectorial 24/25

1.-The-Euclidean-Space.pdf
2.-Functions-of-Several-Variables.pdf
3.-Differentiability.pdf
4.-Inv-and-Imp-FT-Manifolds.pdf
5.-Maximums-and-Minimums.pdf

Calculo vectoral 2025-2

11 páginas

En este documento, encontrarás algunos ejercicios resueltos de la materia: Cálculo vectorial/multivariable. Todos los ejercicios están resueltos con procedimiento completo. Puedes encontrar ejercicios de los siguientes temas: Rango y Graficación del Domin

20 páginas

calculo vectorial

16 páginas

calculo vectorial

5 páginas

calculo vectorial

8 páginas

calculo vectorial

20 páginas

calculo vectorial

10 páginas

calculo vectorial

16 páginas

He publicado nuevos apuntes de 1º Cálculo vectorial: notes.pdf

73 páginas

He publicado nuevos apuntes de 4º Cálculo vectorial: Parcial-Final-2023-Solucionado.pdf

10 páginas

Aca subo la guia de trabajo del semestre 2025-1 para que lo tengan en cuenta, esta la subio el departamento de matematicas, por lo que funciona para todos los grupos

7 páginas

He publicado nuevos apuntes de 4º Cálculo vectorial: CalculodevariasvariablesSolucionario.pdf

439 páginas

He publicado nuevos apuntes de 1º Cálculo vectorial: resums-FINAL.pdf

17 páginas

He publicado nuevos apuntes de 1º Cálculo vectorial: resum-T5.pdf

4 páginas

He publicado nuevos apuntes de 1º Cálculo vectorial: resum-T7.pdf

4 páginas

He publicado nuevos apuntes de 1º Cálculo vectorial: resum-T6.pdf

1 página

He publicado nuevos apuntes de 1º Cálculo vectorial: exercisis.classe-T7.pdf

11 páginas

He publicado nuevos apuntes de 1º Cálculo vectorial: apunts.classe-T7.pdf

15 páginas

He publicado nuevos apuntes de 1º Cálculo vectorial: apunts.classe-T6.pdf

9 páginas

He publicado nuevos apuntes de 1º Cálculo vectorial: apunts.classe-T5.pdf

16 páginas

He publicado nuevos apuntes de 1º Cálculo vectorial: apunts.classe-T4.pdf

9 páginas

He publicado nuevos apuntes de 1º Cálculo vectorial: pt2-apunts.classe-T3.pdf

8 páginas

He publicado nuevos apuntes de 1º Cálculo vectorial: pt1-apunts.classe-T3.pdf

24 páginas

He publicado nuevos apuntes de 1º Cálculo vectorial: apunts.classe-T1andT2.pdf

17 páginas

He publicado nuevos apuntes de 1º Cálculo vectorial: resum-parcial.pdf

10 páginas

apuntes

-

Cálculo Vectorial 23/24

Curso 23/24

5Implicit-function-theorem.pdf
4Parametrization.pdf
3Differentiability.pdf
2Functions.pdf
1The-euclidean-space.pdf
0Previous-Knowledge.pdf

He publicado nuevos apuntes de 1º Cálculo vectorial: CalculoVectorialApuntes.pdf

28 páginas

ejercicios

-

TAREAS Cálculo Vectorial

He publicado nuevos ejercicios de 3º Cálculo vectorial: TAREAS Cálculo Vectorial

Calculo-Vectorial-TAREA-6.pdf
Calculo-Vectorial-TAREA-5.pdf
Calculo-Vectorial-TAREA-4.pdf
Calculo-Vectorial-TAREA-3.pdf
Calculo-Vectorial-TAREA-2.pdf

examenes

-

Ejercicios Cálculo Vectorial

He publicado nuevos examenes de 3º Cálculo vectorial: Ejercicios Cálculo Vectorial

Tercer-Examen-Parcial-Calculo-Vectorial.pdf
Segundo-Examen-Parcial-Calculo-Vectorial.pdf
Primer-Examen-Parcial-Calculo-Vectorial.pdf

He publicado nuevos apuntes de 2º Cálculo vectorial: guia-02-calculo-vectorial.pdf

9 páginas

He publicado nuevos apuntes de 2º Cálculo vectorial: guia-01-calculo-vectorial.pdf

12 páginas
Anónimo

@Anónimo

He publicado nuevos examenes de 4º Cálculo vectorial: PD1AVANZADO1UNALM.pdf

3 páginas

He publicado nuevos apuntes de 2º Cálculo vectorial: Tarea-1.pdf

1 página

He publicado nuevos examenes de 3º Cálculo vectorial: Parcial-1.jpeg

Imagen

He publicado nuevos ejercicios de 3º Cálculo vectorial: Taller2Vectorial-2.pdf

11 páginas

He publicado nuevos ejercicios de 3º Cálculo vectorial: Taller3CalculoVectorial.pdf

10 páginas

He publicado nuevos ejercicios de 3º Cálculo vectorial: Parcial-4-Calculo-diferencial.pdf

4 páginas

He publicado nuevos ejercicios de 3º Cálculo vectorial: Taller-4-Calculo-vectorial.pdf

12 páginas

He publicado nuevos ejercicios de 3º Cálculo vectorial: Taller-1-funciones-vectoriales.pdf

8 páginas

He publicado nuevos apuntes de 1º Cálculo vectorial: Formulario-Calculo-Vectorial.pdf

4 páginas

He publicado nuevos ejercicios de 2º Cálculo vectorial: Ejercicios-Libro-Michael-Corral-pag.-8-31.pdf

17 páginas

He publicado nuevos ejercicios de 1º Cálculo vectorial: Ejercicios-analisis-vectorial.pdf

5 páginas

He publicado nuevos ejercicios de 1º Cálculo vectorial: Ejercicios-resueltos-limites-y-continuidad.pdf

3 páginas