Todo
Apuntes
Ejercicios
Trabajos
chevron_left
chevron_right
Anónimo

@Anónimo

He publicado nuevos ejercicios de 3º Cálculo vectorial: Ejercicios-3.pdf

2 páginas
Anónimo

@Anónimo

He publicado nuevos apuntes de 3º Cálculo vectorial: Ejercicios-2.pdf

3 páginas

He publicado nuevos ejercicios de 3º Cálculo vectorial: Tareaejercicio-sencillo.pdf

2 páginas

He publicado nuevos ejercicios de 3º Cálculo vectorial: Tareaderivaciones.pdf

11 páginas

He publicado nuevos apuntes de 3º Cálculo vectorial: Natalia-Perez-PulidoInvestigacion.pdf

7 páginas
Anónimo

@Anónimo

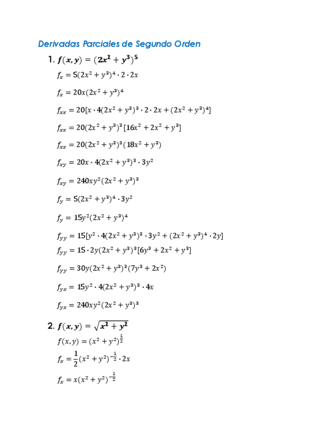
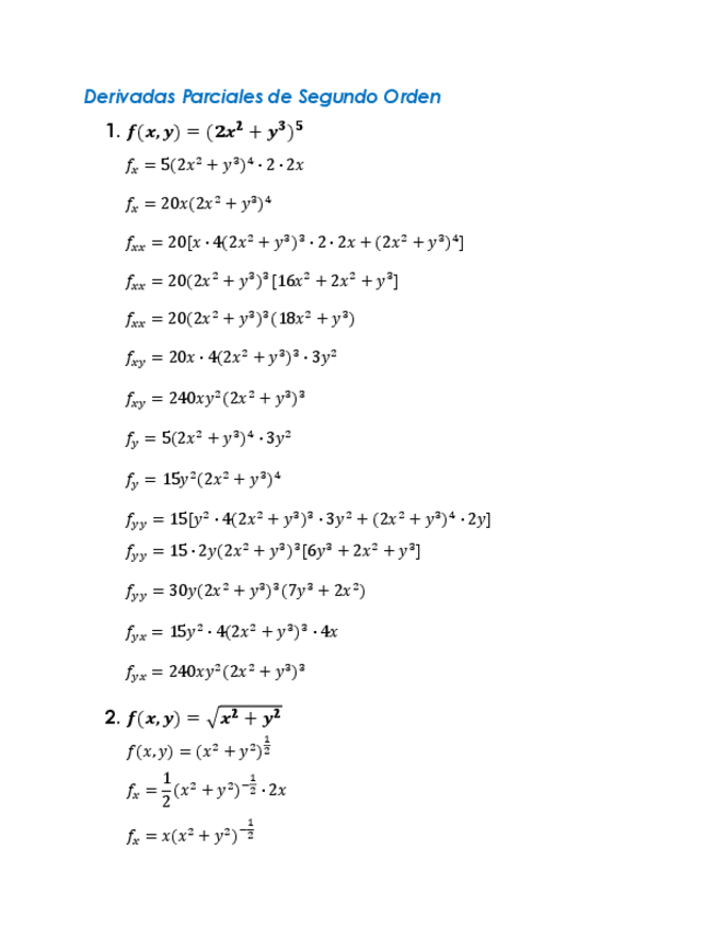
La derivada parcial de una función de varias variables es la derivada con respecto a cada una de esas variables manteniendo las otras como constantes.

25 páginas
Anónimo

@Anónimo

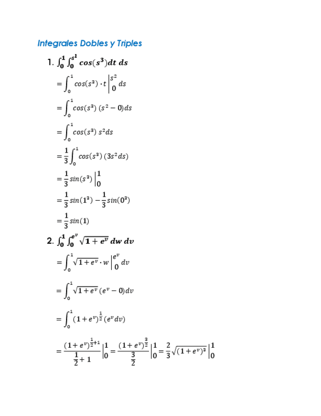
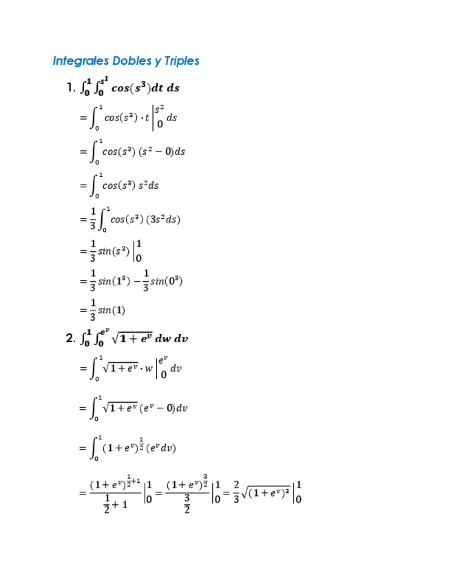
Las integrales dobles son una manera de integrar sobre una región bidimensional.

3 páginas
Anónimo

@Anónimo

La derivada direccional es el producto escalar del gradiente por el vector unitario que determina la dirección.

4 páginas
Anónimo

@Anónimo

Las derivadas parciales son usadas en cálculo vectorial y geometría diferencial.

4 páginas
Anónimo

@Anónimo

Las derivadas parciales son usadas en cálculo vectorial y geometría diferencial.

5 páginas
Anónimo

@Anónimo

Las derivadas parciales son usadas en cálculo vectorial y geometría diferencial.

4 páginas
Anónimo

@Anónimo

Este sistema es ampliamente utilizado en física y trigonometría.

31 páginas
¡Estás al día!

¡Estás al día!

Has visto todos los archivos