Todo
Apuntes
chevron_left
chevron_right

apuntes

-

calculo vectorial

He publicado nuevos apuntes de 2º Cálculo vectorial: calculo vectorial

HWP3CalcVectorial.pdf
Rios-AyalaCalculo-VectorialTarea.docx
HWVP2CalcVectorial.pdf
IVectoresEnElEspacioM30J.pdf
HWP4CalcVectorial.pdf
P3P3CalcVectorial.pdf

apuntes

-

Calculo diferencial, integral

He publicado nuevos apuntes de 2º Cálculo vectorial: Calculo diferencial, integral

calculo 1 uni guia3.docx
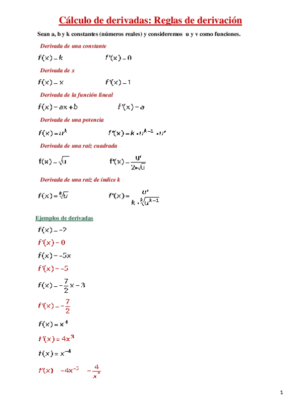
Calculo de derivadas.pdf
problemario2 trigonometricas 62 corregido.doc
calculo 1 uni guia3 (1).docx
problemario3 trigonometricas inversas 76.doc
problemario3 trigonometricas inversas 76 (1).doc
¡Estás al día!

¡Estás al día!

Has visto todos los archivos