chevron_left
chevron_right
Todo
Apuntes
Ejercicios
Exámenes
Prácticas
Test
chevron_left
chevron_right

Cuestionario de la practica 6 para aprobar

3 páginas

Cuestionario de las dos primeras practicas de matlab para aprobar

4 páginas

Fórmulas y anotaciones necesarias para el parcial 2

1 página

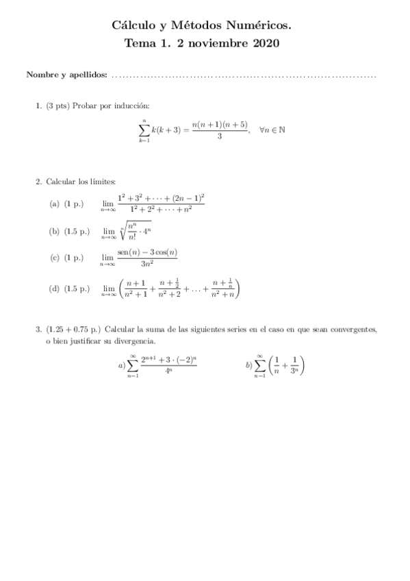
Fórmulas necesarias y anotaciones importantes para el primer parcial de cálculo

2 páginas

He publicado nuevos apuntes de 1º Cálculo y Métodos Numéricos: ejercicios-sucesiones.pdf

12 páginas

He publicado nuevos ejercicios de 1º Cálculo y Métodos Numéricos: ejercicios-induccion.pdf

15 páginas

examenes

-

Tema 2 - Examenes

He publicado nuevos examenes de 1º Cálculo y Métodos Numéricos: Tema 2 - Examenes

Examen-2020-2021.pdf
Examen-2021-2022.pdf

ejercicios

-

Tema 2 - Ejercicios

He publicado nuevos ejercicios de 1º Cálculo y Métodos Numéricos: Tema 2 - Ejercicios

Optimizacion-de-funciones.pdf
Optimizacion-y-Taylor-II.pdf
Optimizacion-y-Taylor.pdf
Polinomios-de-Taylor.pdf

apuntes

-

Tema 2 - Calculo Diferencial

He publicado nuevos apuntes de 1º Cálculo y Métodos Numéricos: Tema 2 - Calculo Diferencial

2.1-Nocion-basica-sobre-continuidad-y-derivadas.pdf
2.2-Optimizacion-de-funciones.pdf
2.3-Polinomio-de-Taylor.pdf
2.4-Solucion-numerica-de-ecuaciones.pdf
2.5-Interpolacion-polinomica.pdf
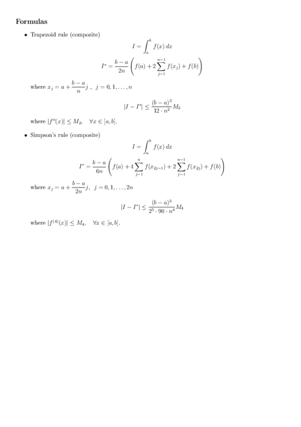
Formulas.pdf

examenes

-

Tema 1 - Números, sucesiones y series

He publicado nuevos examenes de 1º Cálculo y Métodos Numéricos: Tema 1 - Números, sucesiones y series

Examen-2020.pdf
Examen-2021-1.pdf
Examen-2021-2.pdf
Examen-mate-1.pdf
Examen-parcial-2021.pdf
Examen-parcial-2023.pdf

ejercicios

-

Tema 1 - Ejercicios

He publicado nuevos ejercicios de 1º Cálculo y Métodos Numéricos: Tema 1 - Ejercicios

Induccion-sin-resultado.pdf
Induccion.pdf

apuntes

-

Tema 1 - Números, sucesiones y series

He publicado nuevos apuntes de 1º Cálculo y Métodos Numéricos: Tema 1 - Números, sucesiones y series

1.1-Numeros.pdf
1.2.1-Sucesiones.pdf
1.2.2-Limites-basicos.pdf
1.3-Series.pdf

He publicado nuevos examenes de 1º Cálculo y Métodos Numéricos: ejexamentema3-ALGUNOS-EJ-DE-EXAMENES-CON-SOLUCIONES.pdf

10 páginas

He publicado nuevos ejercicios de 1º Cálculo y Métodos Numéricos: ejinduccionconsolucion-RESOLUCION-DE-PROBLEMAS-2020.pdf

3 páginas

He publicado nuevos examenes de 1º Cálculo y Métodos Numéricos: Examen-resuelto-2-Parcial-EXAMEN-2019.pdf

7 páginas

He publicado nuevos ejercicios de 1º Cálculo y Métodos Numéricos: Resolucion-de-problemas-induccion.pdf

2 páginas

He publicado nuevos examenes de 1º Cálculo y Métodos Numéricos: MODELO-DE-EXAMEN-Tema-1-calculo-y-metodos-numericosRESUELTO-2017.pdf

5 páginas

He publicado nuevos ejercicios de 1º Cálculo y Métodos Numéricos: sucesionesseriesexamen-EJERCICIOS-CON-SOLUCIONES-ORIENTADAS.pdf

7 páginas

He publicado nuevos examenes de 1º Cálculo y Métodos Numéricos: Tema-1-calculo-y-numeros-DOS-EXAMENES-RESUELTOS-2019.pdf

8 páginas
Anónimo

@Anónimo

apuntes

-

EJERCICIOS CON SOLUCIONES - Tema 3

He publicado nuevos apuntes de 1º Cálculo y Métodos Numéricos: EJERCICIOS CON SOLUCIONES - Tema 3

Ejercicios.Areas-resueltos.2.pdf
Ejercicios.Areas-resueltos.pdf
Ejercicios.Calcilos-de-areas.2.pdf
Ejercicios.Calculos-de-areas.pdf
Primitivas-basicas.pdf
Resumen-Integracion.pdf
Anónimo

@Anónimo

apuntes

-

EJERCICIOS CON SOLUCIONES - Tema 2

He publicado nuevos apuntes de 1º Cálculo y Métodos Numéricos: EJERCICIOS CON SOLUCIONES - Tema 2

Ejercicio-resuelto-a-mano.pdf
tema2ejinterpolacion-EJERCICIOS-RESUELTOS.pdf
ejoptimizacion-Mere-Soluciones-1-al-6.pdf
ejoptimizacion-Mere.pdf
ejoptimizacionconsoluciones2-SOLUCION-FINAL.pdf
tema2ecuaciones2020-EJERCICIOS-RESUELTOS.pdf
Anónimo

@Anónimo

apuntes

-

EJERCICIOS CON SOLUCIONES - Tema 1

He publicado nuevos apuntes de 1º Cálculo y Métodos Numéricos: EJERCICIOS CON SOLUCIONES - Tema 1

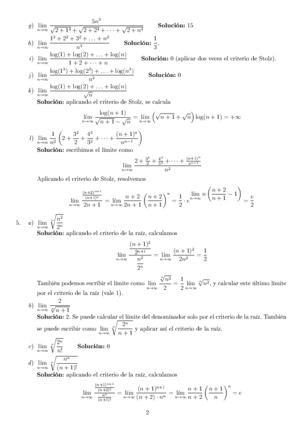
ej01sucserconsoluciones-EJERCICIOS-CON-SOLUCIONES.pdf
sucesionesseriesexamen-EJERCICIOS-CON-SOLUCIONES-ORIENTADAS.pdf
Ejercicio-de-induccion-con-solucion-1.pdf
Ejercicio-de-induccion-con-solucion-2.pdf

He publicado nuevos examenes de 1º Cálculo y Métodos Numéricos: EXAMEN-CALCULO-Y-METODOS-NUMERICOS-2017.pdf

2 páginas

He publicado nuevos examenes de 1º Cálculo y Métodos Numéricos: EXAMEN-RESUELTO-CALCULO-Y-METODOS-NUMERICOS.pdf

5 páginas

He publicado nuevos examenes de 1º Cálculo y Métodos Numéricos: EXAMEN-RESUELTO-CALCULO-Y-METODOS-NUMERICOS-2019.pdf

6 páginas

Todos los ejercicios que se hicieron o mandó Philipp en el curso 2021-22 en teoría

28 páginas

Ejemplo de un posible trabajo teórico final de la asignatura. Sirve para repasar el temario

33 páginas

apuntes

-

Apuntes Temas 1 y 2

He publicado nuevos apuntes de 1º Cálculo y Métodos Numéricos: Apuntes Temas 1 y 2

Tema-2.pdf
Tema-1.pdf

examenes

-

Talavera de la Reina (Philipp) (2021-22)

He publicado nuevos examenes de 1º Cálculo y Métodos Numéricos: Talavera de la Reina (Philipp) (2021-22)

Parcial-1-Noviembre-2021.pdf
Examen-Completo-Oridnaria-2021-22.pdf
Parcial-2-Ordinaria-2021-22.pdf
PreparacionExtraordinaria.pdf
SolucionParcial2Enero2022.pdf
SolucionParcial1Noviembre2021.pdf

Prácticas en matlab hechas con Philipp.

9 páginas

He publicado nuevos examenes de 1º Cálculo y Métodos Numéricos: PDF-Scanner-17-12-21-7.pdf

11 páginas

examenes

-

Talavera de la Reina (Philipp) (2020-21)

He publicado nuevos examenes de 1º Cálculo y Métodos Numéricos: Talavera de la Reina (Philipp) (2020-21)

Parcial-2-07-01-2021.pdf
Parcial-1-24-11-2020.pdf
Recuperacion-Parcial-1-07-01-2021.pdf
Parcial-1-Junio-2021.pdf

examenes

-

Talavera de la Reina (Philipp) (2019-20)

He publicado nuevos examenes de 1º Cálculo y Métodos Numéricos: Talavera de la Reina (Philipp) (2019-20)

Parcial-Diciembre-2019.pdf
Anónimo

@Anónimo

He publicado nuevos apuntes de 1º Cálculo y Métodos Numéricos: PDF-Scanner-20-10-21-9.pdf

5 páginas

He publicado nuevos ejercicios de 1º Cálculo y Métodos Numéricos: LHopital.pdf

4 páginas

He publicado nuevos ejercicios de 1º Cálculo y Métodos Numéricos: Derivadas.pdf

5 páginas
Anónimo

@Anónimo

apuntes

-

TRABAJOS GUIADOS

He publicado nuevos apuntes de 1º Cálculo y Métodos Numéricos: TRABAJOS GUIADOS

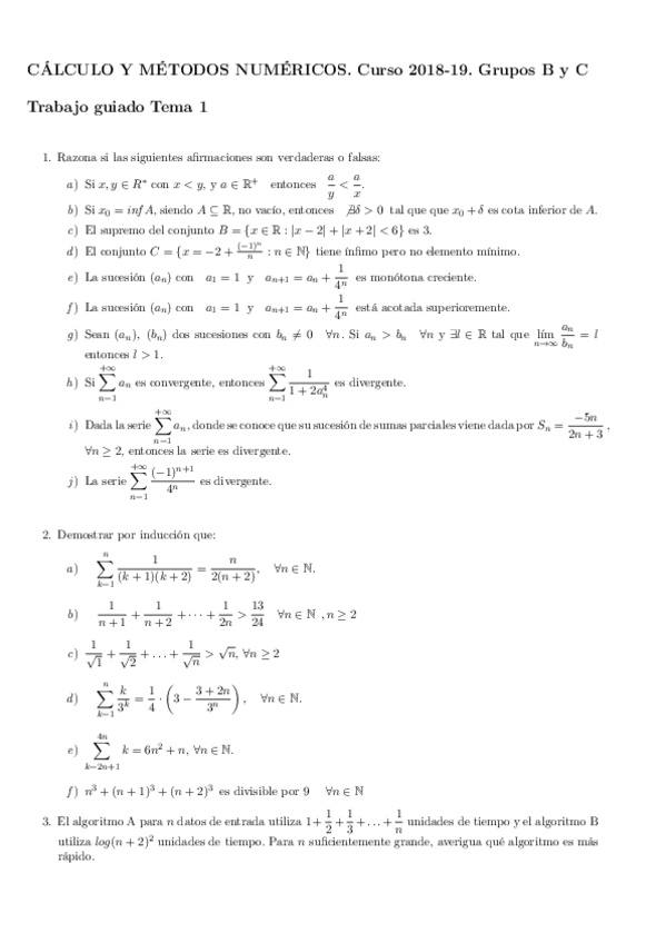
TrabajoGuiado2BC1819.pdf
tg3BC1819.pdf
TRABAJO-GUIADO-1.pdf
Anónimo

@Anónimo

ejercicios

-

EJERCICIOS (TODOS LOS TEMAS)

He publicado nuevos ejercicios de 1º Cálculo y Métodos Numéricos: EJERCICIOS (TODOS LOS TEMAS)

ejerciciosresueltosintegracionnumerica.pdf
ejoptimizacion1con.pdf
ejercicioscontinuidad.pdf
ejoptimizacionconsoluciones2.pdf
ejerciciostaylorcon1314.pdf
ejprimitivas.pdf
Anónimo

@Anónimo

examenes

-

Examenes

He publicado nuevos examenes de 1º Cálculo y Métodos Numéricos: Examenes

c1dic2013.pdf
control3cymn17062014.pdf
controltema1cymnCnov2013.pdf
c1enero2014.pdf
control1cymn17062014.pdf
controltema1cymnA7nov2013.pdf

He publicado nuevos apuntes de 1º Cálculo y Métodos Numéricos: CAL 2 - Límites y Sucesiones.pdf

19 páginas

He publicado nuevos apuntes de 1º Cálculo y Métodos Numéricos: CAL 4 - Series.pdf

6 páginas

He publicado nuevos apuntes de 1º Cálculo y Métodos Numéricos: CAL 1 - Conjuntos Numéricos- Numeros Complejos y Definiciones.pdf

20 páginas

He publicado nuevos apuntes de 1º Cálculo y Métodos Numéricos: MACRO RESUMEN CALCULITO.pdf

62 páginas

He publicado nuevos apuntes de 1º Cálculo y Métodos Numéricos: CAL 3 - Funciones- Derivadas, Teoremas....pdf

17 páginas
¡Estás al día!

¡Estás al día!

Has visto todos los archivos