Anónimo
Portada
Asignatura
Grado en Ingeniería Náutica y Transporte Marítimo (UCA)
Cálculo
Fecha de subida
04 ene 2023
Categoría
examenes
Etiquetas
Apuntes - Resumen-Calculo.pdf
pdf
20 páginas
116
0
Ejercicios - Integrales-resueltas-paso-a-paso.pdf
36 páginas
52
Exámenes - calculo-febrero-2024.pdf
8 páginas
44
Apuntes - CALCULO-TEMARIO.pdf
24 páginas
40
Apuntes - APUNTES-CALCULO.pdf
5 páginas
39
2
Ejercicios - Calculo-muchos-ejercicios.pdf
13 páginas
31
Apuntes - Examenes-Calculo-1part5.pdf
34 páginas
47
1
Apuntes - ejercicios-de-examen-calculo.pdf
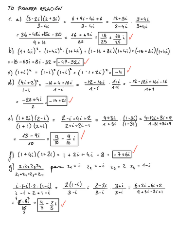
Exámenes - EXAMEN-ENERO-2023.jpg
jpg
Apuntes - Examenes-Calculo-1part4.pdf
50 páginas
Apuntes - Libro-de-integrales-resueltas.pdf
242 páginas
22
Apuntes - Apuntes-Calculo-I.pdf
128 páginas
41
Apuntes - Examenes-Calculo-1part3.pdf
29
Apuntes - Parametrizacion-de-curvas.pdf
9 páginas
27
Apuntes - NUMEROS-COMPLEJOS.pdf
2 páginas
16
Apuntes - Examenes-Calculo-1part2.pdf
20
Apuntes - Examenes-Calculo-1part1.pdf
34
Apuntes - FUNCIONES-VARIAS-V..pdf
11
Apuntes - integracion.pdf
16 páginas
15
Apuntes - Transformadas-de-laplace.pdf
40 páginas