Todo
Apuntes
Ejercicios
Exámenes
Prácticas
Test
Trabajos
chevron_left
chevron_right

Apuntes de integrales. Con ejemplos.

8 páginas

LO ESENCIAL DE CÁLCULO DE LOS TEMAS: 1,2,3 límites, derivadas, integrales, Taylor, teoremas, revoluciones...

10 páginas

apuntes

-

TEMAS RESUMIDOS

He publicado nuevos apuntes de 1º Cálculo: TEMAS RESUMIDOS

T1-FUNCIONES-Y-GRAFICAS.pdf
T2-POLINOMIOS-DE-TAYLOR.pdf
T3-ECUACIONES-DIFERENCIALES-PRIMER-ORDEN.pdf
T4-APLICACIONES-DE-INTEGRAL.pdf
T5-CURVAS.pdf

examenes

-

EXAMENES RESUELTOS

He publicado nuevos examenes de 1º Cálculo: EXAMENES RESUELTOS

1o-PARCIAL-17-18-RESUELTO.pdf
2o-PARCIAL-17-18-RESUELTO.pdf
EXAMEN-ENERO-2020.pdf
FINAL-ENERO-17-18-RESUELTO.pdf
FINAL-FEBRERO-17-18-RESUELTO.pdf

Problemas Tema 2 de cálculo. Taylor y Lagrange solucionados y explicados.

12 páginas

Derivadas y Aproximación de funciones con gráficas, ejemplos y teoría explicada.

26 páginas

Apuntes Tema 1 cálculo con problemas resueltos y gráficas.

11 páginas

He publicado nuevos apuntes de 1º Cálculo: Eje-6-Tema-2.pdf

3 páginas

He publicado nuevos apuntes de 1º Cálculo: Tema-1-funciones-generales.pdf

25 páginas

Mira bien el documento, te renta

3 páginas
Anónimo

@Anónimo

apuntes

-

Apuntes Necesarios

Todos los apuntes necesarios para aprobar.

Apuntes-Funciones-de-1-variable-derivadas-y-limites.pdf
Apuntes-Funciones-de-dos-variables.pdf
Apuntes-Integrales.pdf
Anónimo

@Anónimo

Ejemplo del boletín final de curso

5 páginas
Anónimo

@Anónimo

practicas

-

Todos los Boletines

Conjunto de boletines

Sesion-2.pdf
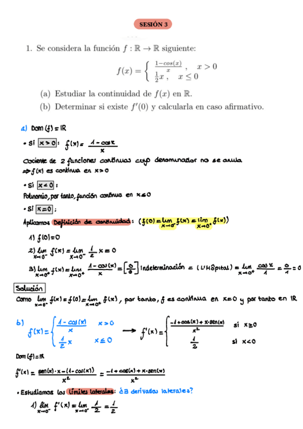
Sesion-3.pdf
Sesion-4.pdf
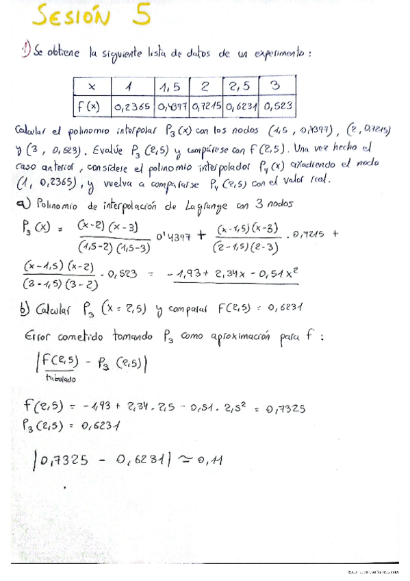
Sesion-5.pdf
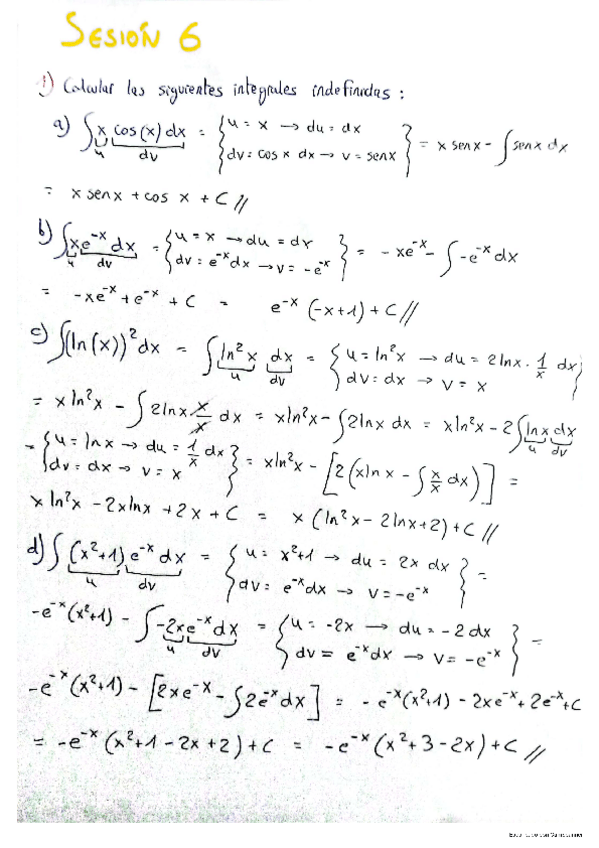
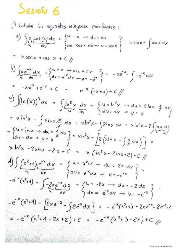
Sesion-6.pdf
Sesion-7.pdf

He publicado nuevos apuntes de 1º Cálculo: Apuntes-Ejercicios.pdf

48 páginas

Examen Ingeniería Eléctrica del estilo de los exámenes de Abel

5 páginas

He publicado nuevos apuntes de 1º Cálculo: Series-de-Taylor.pdf

5 páginas

He publicado nuevos trabajos de 1º Cálculo: Trabajo-de-calculo.pdf

22 páginas

He publicado nuevos ejercicios de 1º Cálculo: Ejs.-estudiar-Chelo.pdf

8 páginas

He publicado nuevos apuntes de 1º Cálculo: ESQUEMA-RESUMEN-TEMAS-CALCULO.pdf

9 páginas

He publicado nuevos apuntes de 1º Cálculo: TEMA-6-CALCULO.pdf

4 páginas

He publicado nuevos apuntes de 1º Cálculo: TEMA-5-CALCULO.pdf

8 páginas

He publicado nuevos apuntes de 1º Cálculo: TEMA-4-CALCULO.pdf

11 páginas

He publicado nuevos apuntes de 1º Cálculo: TEMA-3-CALCULO.pdf

11 páginas

He publicado nuevos apuntes de 1º Cálculo: TEMA-2-CALCULO.pdf

19 páginas

He publicado nuevos apuntes de 1º Cálculo: TEMA-1-CALCULO.pdf

10 páginas

ejercicios

-

EJERCICIOS CÁLCULO BOLETIN 7

He publicado nuevos ejercicios de 1º Cálculo: EJERCICIOS CÁLCULO BOLETIN 7

Ejercicio-1.pdf
Ejercicio-2.pdf
Ejercicio-3.pdf
Ejercicio-5.pdf
Ejercicio-6.pdf

ejercicios

-

EJERCICIOS CÁLCULO BOLETIN 5

He publicado nuevos ejercicios de 1º Cálculo: EJERCICIOS CÁLCULO BOLETIN 5

Ejercicio-1.pdf
Ejercicio-2.pdf
Ejercicio-4.pdf
Ejercicio-5.pdf
Ejercicio-6.pdf
Ejercicio-7.pdf

ejercicios

-

EJERCICIOS CÁLCULO BOLETIN 5 ADICIONAL

He publicado nuevos ejercicios de 1º Cálculo: EJERCICIOS CÁLCULO BOLETIN 5 ADICIONAL

Ejercicio-1.pdf
Ejercicio-4.pdf
Ejercicio-5.pdf
Ejercicio-8.pdf
Ejercicio-9.pdf

ejercicios

-

EJERCICIOS CÁLCULO BOLETIN 3

He publicado nuevos ejercicios de 1º Cálculo: EJERCICIOS CÁLCULO BOLETIN 3

Ejercicio-1.pdf
Ejercicio-2.pdf
Ejercicio-3.pdf
Ejercicio-5.pdf
Ejercicio-6.pdf
Ejercicio-7.pdf

ejercicios

-

EJERCICIOS CÁLCULO BOLETIN 2

He publicado nuevos ejercicios de 1º Cálculo: EJERCICIOS CÁLCULO BOLETIN 2

Ejercicio-1.pdf
Ejercicio-3.pdf
Ejercicio-4.pdf
Ejercicio-6.pdf
Ejercicio-7.pdf
Ejercicio-8.pdf

ejercicios

-

EJERCICIOS CÁLCULO BOLETIN 2 ADICIONAL

He publicado nuevos ejercicios de 1º Cálculo: EJERCICIOS CÁLCULO BOLETIN 2 ADICIONAL

Ejercicio-1.pdf
Ejercicio-2.pdf
Ejercicio-3.pdf
Ejercicio-4.pdf
Ejercicio-5.pdf

ejercicios

-

EJERCICIOS CÁLCULO BOLETIN 1

He publicado nuevos ejercicios de 1º Cálculo: EJERCICIOS CÁLCULO BOLETIN 1

Ejercicio-1.pdf
Ejercicio-2.pdf
Ejercicio-3.pdf
Ejercicio-4.pdf
Ejercicio-5.pdf
Ejercicio-6.pdf

He publicado nuevos apuntes de 1º Cálculo: Tema-2.pdf

13 páginas

He publicado nuevos apuntes de 1º Cálculo: Tema-1.pdf

12 páginas

He publicado nuevos apuntes de 1º Cálculo: Tema-4.pdf

7 páginas

He publicado nuevos apuntes de 1º Cálculo: Tema-3.pdf

12 páginas

He publicado nuevos apuntes de 1º Cálculo: Tema-6.-Integrales-dobles.pdf

7 páginas

He publicado nuevos apuntes de 1º Cálculo: Teoremas.pdf

5 páginas

He publicado nuevos apuntes de 1º Cálculo: Tema-5.pdf

15 páginas

He publicado nuevos apuntes de 1º Cálculo: Apuntes-teoricos-2024.pdf

27 páginas

He publicado nuevos apuntes de 1º Cálculo: Apuntes-teoricos-2024.pdf

27 páginas

Todo el temario de la asignatura + ejercicios de cada tema.

31 páginas

He publicado nuevos apuntes de 1º Cálculo: 6.-integracion-varias-variables.pdf

3 páginas

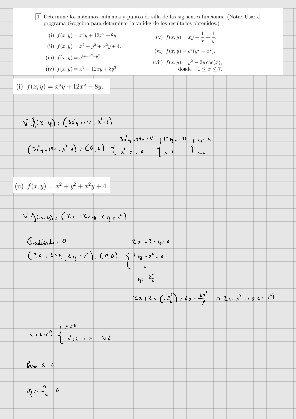
He publicado nuevos apuntes de 1º Cálculo: 5.-Optimizacion-funciones.pdf

7 páginas

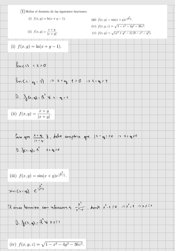
He publicado nuevos apuntes de 1º Cálculo: 4.-Funciones-de-varias-variables.pdf

6 páginas

He publicado nuevos apuntes de 1º Cálculo: 3.-Integracion.pdf

7 páginas

He publicado nuevos apuntes de 1º Cálculo: 2.-Derivacion.pdf

12 páginas

He publicado nuevos apuntes de 1º Cálculo: 1.-Funciones.pdf

6 páginas

He publicado nuevos apuntes de 1º Cálculo: Teoremas241107165819.pdf

2 páginas

He publicado nuevos apuntes de 1º Cálculo: Temo-6250108165448.pdf

2 páginas

He publicado nuevos apuntes de 1º Cálculo: T4-Funciones-varios-variables241214202308.pdf

2 páginas

He publicado nuevos apuntes de 1º Cálculo: T3-apuntes-limpio241214193701.pdf

3 páginas

He publicado nuevos apuntes de 1º Cálculo: calculo-T2241028195925.pdf

8 páginas

He publicado nuevos apuntes de 1º Cálculo: Calculo-T1241211164603.pdf

3 páginas

He publicado nuevos apuntes de 1º Cálculo: Calculo-Resumen-Apuntes-2425.pdf

18 páginas

He publicado nuevos apuntes de 1º Cálculo: Tema-12y3--ejers.pdf

18 páginas

apuntes

-

APUNTES DE CLASE

He publicado nuevos apuntes de 1º Cálculo: APUNTES DE CLASE

TEMA-1-FUNCIONES.pdf
TEMA-2-DERIVACION.pdf
TEMA-3-INTEGRACION.pdf
TEMA-4-FUNCIONES-DE-VARIAS-VARIABLES.pdf
TEMA-5-OPTIMIZACION-DE-FUNCIONES.pdf
TEMA-6-INTEGRACION-EN-VARIAS-VARIABLES.pdf

He publicado nuevos apuntes de 1º Cálculo: Metodologia-y-formulas-Todo-lo-necesario-para-hacer-los-ejercicios.pdf

12 páginas

ejercicios

-

Sesiones

He publicado nuevos ejercicios de 1º Cálculo: Sesiones

Sesion-5.pdf
Sesion-2.pdf
Sesion-1.pdf
Sesion-3.pdf
Sesion-4.pdf
Sesion-7.pdf

apuntes

-

EJERCICIOS RESUELTOS 24/25

Corregidos por el profesor

LISTA-1-REVISION-DE-FUNCIONES.pdf
LISTA-2-DERIVADA-DE-FUNCIONES-Y-OPTIMIZACION.pdf