Todo
Apuntes
Ejercicios
Exámenes
Prácticas
Trabajos
chevron_left
chevron_right

examenes

-

EXAMENES RESUELTOS

He publicado nuevos examenes de 1º Cálculo: EXAMENES RESUELTOS

DICIEMBRE-2011-2012-RESUELTO.pdf
ENERO-2010-2011-RESUELTO.pdf
ENERO-2013-2014-RESUELTO.pdf
FEBRERO-2015-2016-RESUELTO.pdf
JUNIO-2013-2014-RESUELTO.pdf
JUNIO-2014-2015-RESUELTO.pdf

apuntes

-

Cálculo Apuntes Informática

Apuntes de las prácticas informáticas. Probablemente los más útiles sean los últimos archivos, que son los más completos. Además en el primer archivo trae una explicación de como hacer gráficas en sagemath.

Miniatura no disponible
Apuntes-1.ipynb
Miniatura no disponible
Apuntes-2.ipynb
Miniatura no disponible
Apuntes-sesion-3.ipynb
Miniatura no disponible
Apuntes-Practica-4-Calculo.ipynb
Miniatura no disponible
Apuntes-sesion-5.ipynb

practicas

-

Cálculo Prácticas Informáticas

Estas son solo las actividades de las prácticas de uno de los grupos, pues siempre cambian en mayor o menor media las actividades de los diferentes grupos, aún así son actividades muy interesantes, pues los ejercicios se resuelven por los mismos métodos.

Miniatura no disponible
Practica-2.ipynb
Miniatura no disponible
Practica-3.ipynb
Miniatura no disponible
Practica-4-Calculo.ipynb
Miniatura no disponible
Practica-4.2.ipynb
Miniatura no disponible
Tarea-5.ipynb

Final Febrero 2026 Cálculo Informática Documento Word

word

ejercicios

-

BOLETINES RESUELTOS

He publicado nuevos ejercicios de 1º Cálculo: BOLETINES RESUELTOS

BOLETIN-4-SUCESIONES.pdf

He publicado nuevos apuntes de 1º Cálculo: APUNTES-TEMA-4-SUCESIONES.pdf

5 páginas

apuntes

-

APUNTES TEMA 1 CALCULO

He publicado nuevos apuntes de 1º Cálculo: APUNTES TEMA 1 CALCULO

Continuidad.pdf
Desarrollo-de-Taylor.pdf
Funciones.pdf
Infinitesimos-Equivalentes.pdf
Limites.pdf

examenes

-

Exámenes PROPUESTA Parcial I Cálculo

[ACTUALIZADO] 7 PROPUESTAS de EXÁMENES para CÁLCULO | Parcial I PD: Los anteriores contenían errores y hacían muchos de los ejercicios irresolubles al combinar expresiones y ejercicios desorganizadamente. Estos están actualizados y están perfectos para re

PropuestaParcial2025CalculoPT1.pdf
PropuestaParcial2025CalculoPT2.pdf
PropuestaParcial2025CalculoPT3.pdf
PropuestaParcial2025CalculoPT6.pdf
PropuestaParcial2025CalculoPT5.pdf
PropuestaParcial2025CalculoPT4.pdf

He publicado nuevos apuntes de 1º Cálculo: APUNTES-TEMA-3-NUMEROS-COMPLEJOS.pdf

2 páginas

practicas

-

SageMath

Prácticas de SageMath del 2022

Integracion.pdf
InterpolacionPolinomica.pdf
Derivacion.pdf
EcuacionesnoLineales.pdf

He publicado nuevos apuntes de 1º Cálculo: RepasoAreas.pdf

2 páginas

He publicado nuevos apuntes de 1º Cálculo: Bloque2.pdf

18 páginas

He publicado nuevos apuntes de 1º Cálculo: Series.pdf

5 páginas

He publicado nuevos apuntes de 1º Cálculo: Sucesiones.pdf

2 páginas

He publicado nuevos apuntes de 1º Cálculo: NumerosComplejos.pdf

2 páginas

He publicado nuevos examenes de 1º Cálculo: Conceptosclave.pdf

12 páginas

practicas

-

PRÁCTICAS DE SAGEMATH

He publicado nuevos practicas de 1º Cálculo: PRÁCTICAS DE SAGEMATH

Miniatura no disponible
Tarea-2-1.html
Miniatura no disponible
Tarea-2-1.ipynb
Miniatura no disponible
Tarea-1.ipynb
Miniatura no disponible
Tarea-1.html

Practica 2 calculo

1 página

apuntes

-

APUNTES TEMA 2 CALCULO

He publicado nuevos apuntes de 1º Cálculo: APUNTES TEMA 2 CALCULO

Integral-de-Riemann.pdf
Metodos-de-Integracion.pdf
Teorema-Fundamental-del-Calculo-Integral.pdf
Anónimo

@Anónimo

He publicado nuevos examenes de 1º Cálculo: examen-derivadas-resuelto2425.pdf

2 páginas

CODIGO PRACTICA 1 CAL

2 páginas
Anónimo

@Anónimo

He publicado nuevos examenes de 1º Cálculo: Examende-devaridas-resuelto.pdf

2 páginas

He publicado nuevos examenes de 1º Cálculo: Examen-Derivadas-e-Integrales-2023.pdf

2 páginas

He publicado nuevos examenes de 1º Cálculo: Parcial-Calculo.pdf

2 páginas

Dos tipos de excepciones de integrales en Calculo que piden en el primer parcial o prueba. Integral con denominador sin raíces reales y ln+arctg.

3 páginas

He publicado nuevos examenes de 1º Cálculo: EXAMENES-CALCULO-ULTIMOS-ANOS.pdf

14 páginas
Anónimo

@Anónimo

Ejercicios resueltos de la relación 1

41 páginas

TEOREMAS EXAMEN

7 páginas

ejercicios

-

Relaciones

He publicado nuevos ejercicios de 1º Cálculo: Relaciones

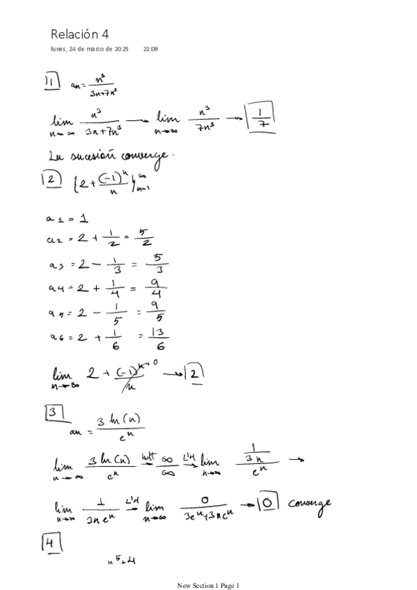
Relacion-4.pdf
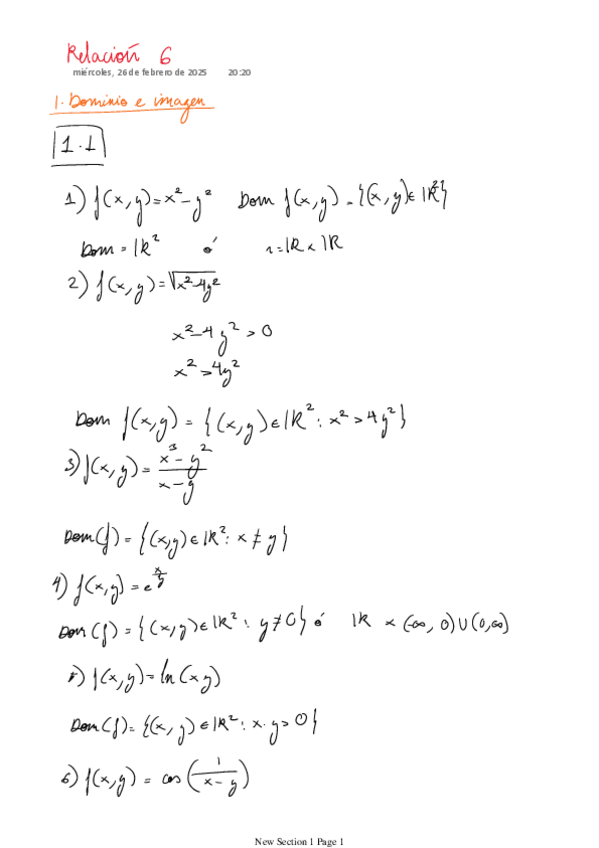
Relacion-6.pdf
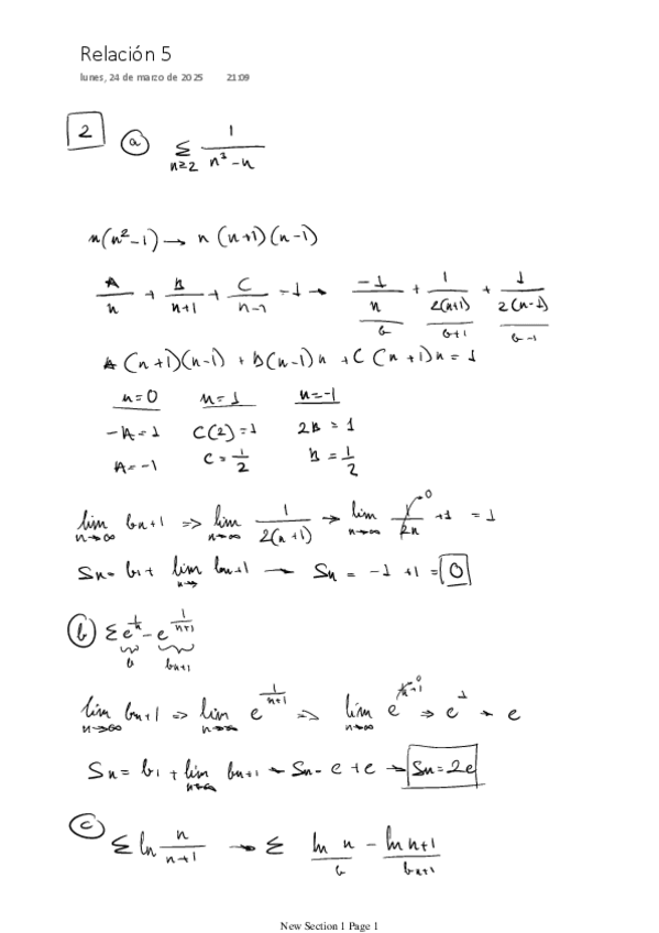
Relacion-5.pdf
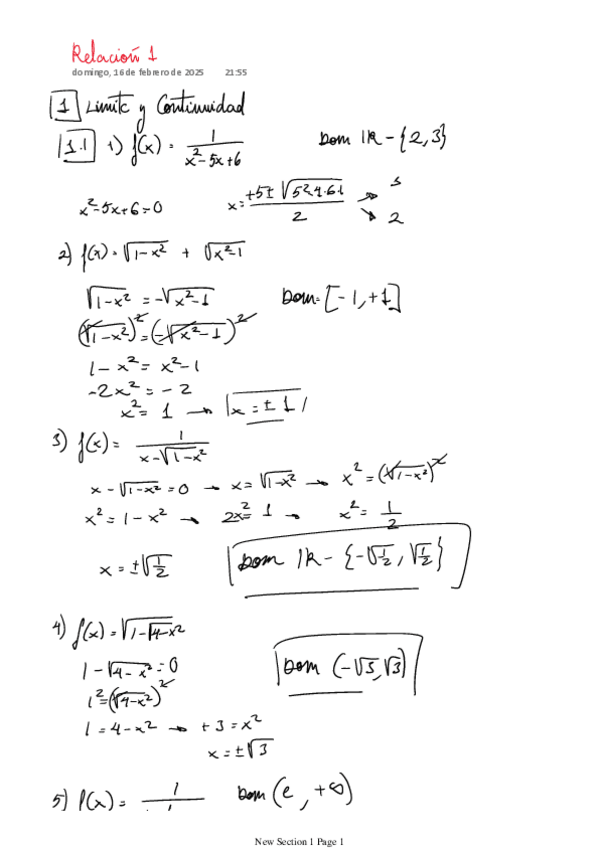
Relacion-1.pdf

He publicado nuevos apuntes de 1º Cálculo: RESUMEN-TODO-CALCULO-CON-EJEMPLOS-RESUELTOS.pdf

10 páginas

He publicado nuevos apuntes de 1º Cálculo: Examen-17-11-2023.pdf

2 páginas

He publicado nuevos examenes de 1º Cálculo: Examen-31-01-2023.pdf

2 páginas

He publicado nuevos examenes de 1º Cálculo: Examen-15-01-2024.pdf

3 páginas

He publicado nuevos examenes de 1º Cálculo: Examen-6-4-2023.pdf

3 páginas

He publicado nuevos examenes de 1º Cálculo: Examen-7-6-2023.pdf

3 páginas

ejercicios

-

Relación de ejercicios Bloque II

#ejercicios

Boletin-sucesiones.pdf
Miniatura no disponible
Boletin-series.pdf
Boletin-Calculo-varias-variables.pdf
Boletin-Calculo-integral.pdf

ejercicios

-

funciones de dos variables

He publicado nuevos ejercicios de 1º Cálculo: funciones de dos variables

relacion-6.pdf
calculo-optimizacion.pdf
CALCULO-boletin-7.pdf
Examen-junio-2024.pdf

examenes

-

exámenes hechos

He publicado nuevos examenes de 1º Cálculo: exámenes hechos

examen-calculo-febrero-2024.pdf

Teoría de integración de varias variables

3 páginas

Teoría de funciones de varias variables, incluidos la ficha con todos los ejercicios resueltos

11 páginas

apuntes

-

Bloque II

#apuntes

Miniatura no disponible
Tema-4-sucesiones.pdf
Miniatura no disponible
Tema-5-series.pdf
Tema-6-Calulo-diferencial-de-varias-variables.pdf
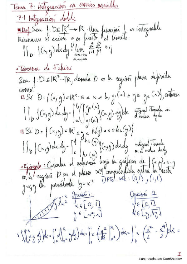
Tema-7-Calculo-integral-de-varias-variables.pdf

apuntes

-

Tema 5. Series

He publicado nuevos apuntes de 1º Cálculo: Tema 5. Series

Tema-5.-Series.pdf

He publicado nuevos ejercicios de 1º Cálculo: Relacion-de-problemas-Numeros-complejos.pdf

Miniatura no disponible
6 páginas

apuntes

-

Bloque I

He publicado nuevos apuntes de 1º Cálculo: Bloque I

Miniatura no disponible
Tema-1-Calculo-diferencial-de-funciones.pdf
Miniatura no disponible
Tema-2-Calculo-integral-de-funciones.pdf

Teoría de sucesiones, incluidos la ficha con todos los ejercicios resueltos + los que hay de examenes anteriores

6 páginas

He publicado nuevos apuntes de 1º Cálculo: Tema-7.-Calculo-integral-de-varias-variables.pdf

4 páginas

He publicado nuevos apuntes de 1º Cálculo: Tema-6.-Analisis-de-funciones-de-varias-variables.pdf

10 páginas

Ejercicios 4 sobre sucesiones. Esta todo hecho por mí cualquier fallo que encontreis comentadmelo..

5 páginas

Ejercicios resueltos de la relación 7

8 páginas

Ejercicios resueltos de la relación 6

17 páginas

He publicado nuevos apuntes de 1º Cálculo: Tema-5.-Series.pdf

7 páginas

He publicado nuevos apuntes de 1º Cálculo: Tema-4.-Sucesiones.pdf

2 páginas

Resumen del temario de las prácticas de Cálculo

6 páginas

Ejercicios resueltos de los temas 4, 5, 6 y 7 de cálculo

16 páginas

Resúmen de los temas 4, 5, 6 y 7de cálculo, con múltiples definiciones y propiedades además de mucha teoría

11 páginas

Teoría de sucesiones, incluidos la ficha con todos los ejercicios resueltos

3 páginas

He publicado nuevos apuntes de 1º Cálculo: apuntes-bloque-1-calculo.pdf

12 páginas

Apuntes de toda la teoría de Sagemath

9 páginas

He publicado nuevos ejercicios de 1º Cálculo: BOLETIN-4.pdf

2 páginas

apuntes

-

Apuntes completos con ejercicios resueltos

He publicado nuevos apuntes de 1º Cálculo: Apuntes completos con ejercicios resueltos

Tema-1-con-ejercicios-resueltos.pdf
Tema-2.pdf
Tema-3.pdf
Tema-4.pdf
Tema-5.pdf
Tema-7.pdf