Cálculo
apuntes
-
TEMAS RESUMIDOS CALCULO
He publicado nuevos apuntes de 1º Cálculo: TEMAS RESUMIDOS CALCULO
examenes
-
EXAMENES RESUELTOS
He publicado nuevos examenes de 1º Cálculo: EXAMENES RESUELTOS
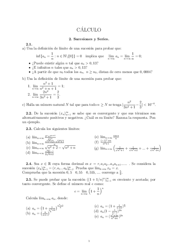
He publicado nuevos apuntes de 1º Cálculo: Sucesiones-TEMA-2-CALCULO-1.pdf
He publicado nuevos apuntes de 1º Cálculo: tema1-los-numeros-reales-apuntes.pdf
ejercicios
-
Ejercicios Todos
Todas las hojas de ejercicios
He publicado nuevos apuntes de 1º Cálculo: Induccion-conjuntos-y-funciones.pdf
apuntes
-
TODO sobre SERIES. Fragmento del SPEEDRUN de CÁLCULO
Video y Apuntes sobre Series del SPEEDRUN de CÁLCULO, todos los métodos de resolución explicados
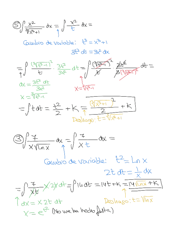
He publicado nuevos ejercicios de 1º Cálculo: INTEGRALES-CAMBIO-VARIABLE-1.pdf
examenes
-
Exámenes Resueltos 2024
He publicado nuevos examenes de 1º Cálculo: Exámenes Resueltos 2024
He publicado nuevos practicas de 1º Cálculo: 24-25-PRACTICA3-Continuidad-y-derivabilidad.pdf
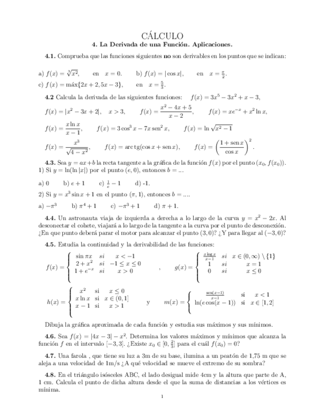
He publicado nuevos apuntes de 1º Cálculo: Chapter-5-The-derivative.pdf
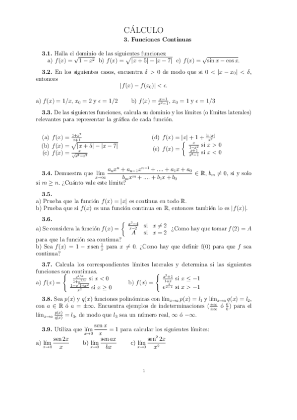
He publicado nuevos apuntes de 1º Cálculo: Chapter-4-Continuous-functions.pdf
He publicado nuevos apuntes de 1º Cálculo: Chapter-1-Real-Numbers.pdf
en este documento tienes todos los tipos de límites y cómo resolverlos ¡IMPRÍMELO Y.. A ESTUDIAR!
practicas
-
24-25 Prácticas resueltas
Práctica 1 del curso 24-25 resuelta
He publicado nuevos ejercicios de 1º Cálculo: Series-ResueltAs-estudiar-convergencia.pdf
He publicado nuevos apuntes de 1º Cálculo: Apuntes-Series-RESUMEN.pdf
He publicado nuevos apuntes de 1º Cálculo: Series-Resumen-esquema.pdf
He publicado nuevos apuntes de 1º Cálculo: ESQUEMA-CHULETA-SUCESIONES.pdf
practicas
-
Prácticas solucionadas 23/24
He publicado nuevos practicas de 1º Cálculo: Prácticas solucionadas 23/24
He publicado nuevos apuntes de 1º Cálculo: Tema-2-Sucesiones-Convergencia-divergencia-Sucesiones.pdf
Ejercicio de cuatro apartados de inducción resuelto
He publicado nuevos examenes de 1º Cálculo: XXHallar-punto-parabola.pdf
He publicado nuevos examenes de 1º Cálculo: XXFuncion-continua-f.pdf
He publicado nuevos examenes de 1º Cálculo: XXF-elevado-menos-uno.pdf
He publicado nuevos examenes de 1º Cálculo: EJ-7IntegralesImpropias.pdf
He publicado nuevos examenes de 1º Cálculo: EJ-6IntegralPrimitiva.pdf
He publicado nuevos examenes de 1º Cálculo: EJ-3EstudioDerivabilidad.pdf
He publicado nuevos examenes de 1º Cálculo: EJ-2SeriesSucesionesLimites.pdf
He publicado nuevos apuntes de 1º Cálculo: Ej-1InduccionInecuacionesValorAbsoluto.pdf
Intensivo Cálculo
¡Te ayudamos a superar el examen!
