chevron_left
chevron_right
Todo
Apuntes
chevron_left
chevron_right

He publicado nuevos apuntes de 1º Cálculo: Apuntes-de-calculo-modulo-I.pdf

11 páginas

He publicado nuevos apuntes de 1º Cálculo: Bloque-4.pdf

16 páginas

He publicado nuevos apuntes de 1º Cálculo: Resumenbloque3.pdf

3 páginas

He publicado nuevos apuntes de 1º Cálculo: Bloque-3.pdf

23 páginas

He publicado nuevos apuntes de 1º Cálculo: Bloque-2.pdf

34 páginas

He publicado nuevos apuntes de 1º Cálculo: Ejercicios-examen-integrales.pdf

22 páginas

He publicado nuevos apuntes de 1º Cálculo: INtegrales-dobles.pdf

28 páginas

He publicado nuevos apuntes de 1º Cálculo: Aplicaciones-de-las-integrales.pdf

27 páginas

He publicado nuevos apuntes de 1º Cálculo: Tipos-de-integrales.pdf

27 páginas

apuntes

-

13 ENERO 2017

He publicado nuevos apuntes de 1º Cálculo: 13 ENERO 2017

13-ENERO-2017.pdf
16-JUNIO-2017.pdf
23-ENERO-2018.pdf
23-NOVIEMBRE-2018.pdf
eExCalculo-18-19.pdf
Enero2020cast.pdf

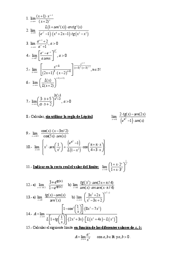
He publicado nuevos apuntes de 1º Cálculo: CLASELIMITESCALCULOI.pdf

1 página
Anónimo

@Anónimo

He publicado nuevos apuntes de 1º Cálculo: seminario.pdf

22 páginas
Anónimo

@Anónimo

apuntes

-

integrales

He publicado nuevos apuntes de 1º Cálculo: integrales

15731242704853633953262575044472.jpg
15731242873362584052948088368246.jpg
Anónimo

@Anónimo

apuntes

-

Primer parcial

He publicado nuevos apuntes de 1º Cálculo: Primer parcial

image.jpg
image.jpg

apuntes

-

Examenes Resueltos

He publicado nuevos apuntes de 1º Cálculo: Examenes Resueltos

Exparcial2015.pdf
ExCálculo-220116.pdf
ExCálculo-130117.pdf
¡Estás al día!

¡Estás al día!

Has visto todos los archivos