chevron_left
chevron_right
Todo
Apuntes
Ejercicios
Exámenes
Prácticas
publication
Trabajos
chevron_left
chevron_right

Apuntes de todas las sesiones, maomeno explicado en castellano.

26 páginas
Anónimo

@Anónimo

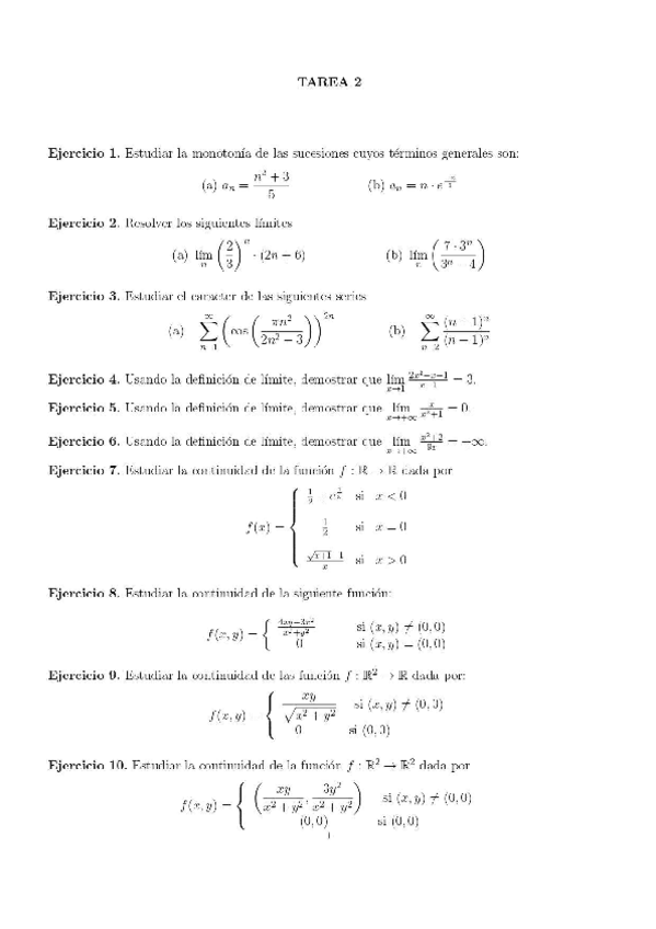
TAREA 2 25/26

6 páginas
Anónimo

@Anónimo

TAREA 3 25/26

9 páginas

apuntes

-

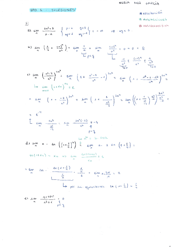
Cálculo - EPDs 1-11 Mathematica (9'4 de media))

Apuntes que me dió tiempo a coger en las EPDS de Mathematika. Está todo o casi todo de lo que se trabajó en clase esos días. Algunas cosas no están porque solo las pude coger en papel, pero si no están se hace de manera similar a lo subido

Miniatura no disponible
epd3calculo.nb
Miniatura no disponible
epd4calculo.nb
Miniatura no disponible
epd5calculo.nb
Miniatura no disponible
epd6calculo.nb
Miniatura no disponible
epd7calculo.nb
Miniatura no disponible
epd8calculo.nb

ejercicios

-

Cálculo - Tareas 2-6 (9'85 de media en tareas)

Las tareas 2 y 3 solo tengo la hoja de mathematica que usé para corregir porque entregué la tarea antes de escanearla, pero de las demás están ambas cosas. Perdón por la tarea 4 porque tiene apuntes en sucio al final para explicar o desarrollar cosas.

Tarea-4-Calculo.pdf
Tarea-5-Calculo.pdf
Tarea-6-Calculo.pdf
Miniatura no disponible
tarea2calculomathematika.nb
Miniatura no disponible
tarea3calculomathematika.nb
Miniatura no disponible
tarea4calculomathematika.nb
Anónimo

@Anónimo

TAREA 6

7 páginas
Anónimo

@Anónimo

Tarea 5

6 páginas

Apuntes para determinar la convergencia de una serie.

3 páginas

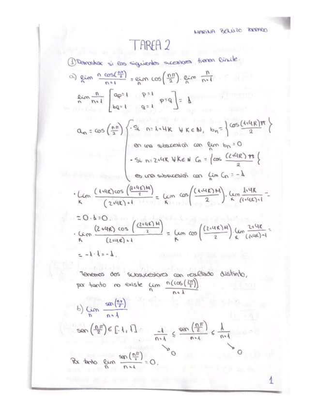
Tarea 2 2025

15 páginas
Anónimo

@Anónimo

He publicado nuevos apuntes de 1º Cálculo: Tarea-1-Calculo-2526.pdf

5 páginas

El resumen que necesitas para aprobar Mathematica

3 páginas

El resumen que necesitas para aprobar

14 páginas

He publicado nuevos trabajos de 1º Cálculo: Tarea-6-Calculo.pdf

21 páginas

He publicado nuevos trabajos de 1º Cálculo: Tarea-2-Calculo.pdf

9 páginas

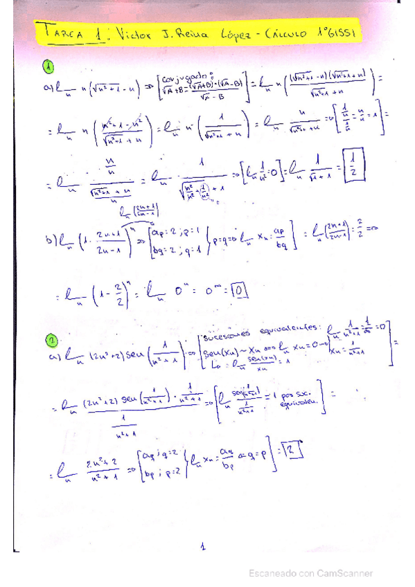
He publicado nuevos trabajos de 1º Cálculo: Tarea-1-Calculo.pdf

12 páginas

He publicado nuevos trabajos de 1º Cálculo: Tarea-5-Calculo.pdf

18 páginas

He publicado nuevos trabajos de 1º Cálculo: Tarea-3-Calculo.pdf

18 páginas

ejercicios

-

EPD 2023-2024

He publicado nuevos ejercicios de 1º Cálculo: EPD 2023-2024

EPD-1.pdf
EPD-2.pdf
EPD-4.pdf
EPD-5.pdf
EPD-6.pdf
EPD-8.pdf

ejercicios

-

Tareas 1-6 23/24

He publicado nuevos ejercicios de 1º Cálculo: Tareas 1-6 23/24

Tarea-1.pdf
Tarea-2.pdf
Tarea-3.pdf
Tarea-4.pdf
Tarea-5.pdf
Tarea-6.pdf

He publicado nuevos examenes de 1º Cálculo: Soluciones-Test.pdf

2 páginas
Anónimo

@Anónimo

He publicado nuevos examenes de 1º Cálculo: Examen-Mathematica-Calculo-Resuelto.pdf

5 páginas

He publicado nuevos trabajos de 1º Cálculo: CalculoTarea1.pdf

20 páginas

He publicado nuevos apuntes de 1º Cálculo: Resumen-comandos.pdf

2 páginas

He publicado nuevos apuntes de 1º Cálculo: Comandos Mathematica CÁLCULO.pdf

1 página

He publicado nuevos apuntes de 1º Cálculo: Súper Chuleta - Resumen CÁLCULO.pdf

5 páginas

He publicado nuevos practicas de 1º Cálculo: EPDs CÁLCULO Completas.pdf

46 páginas

He publicado nuevos apuntes de 1º Cálculo: Apuntes EB CÁLCULO Completos.pdf

35 páginas

ejercicios

-

TAREAS CÁLCULO CURSO 2022-23

He publicado nuevos ejercicios de 1º Cálculo: TAREAS CÁLCULO CURSO 2022-23

TAREA-1-CALCULO-22-23.pdf
TAREA-2-CALCULO-22-23.pdf
TAREA-3-CALCULO-22-23.pdf
TAREA-4-CALCULO-22-23.pdf
TAREA-6-CALCULO-22-23.pdf
TAREA-5-CALCULO-22-23.pdf

He publicado nuevos apuntes de 1º Cálculo: Cálculo - Eb.pdf

47 páginas

Tareas con anotaciones y correcciones tras la revisión.

61 páginas

He publicado nuevos apuntes de 1º Cálculo: Mathematicas-comandos.pdf

4 páginas

He publicado nuevos apuntes de 1º Cálculo: Teoria-calculo-resumen.pdf

7 páginas

apuntes

-

EPDS - CÁLCULO

He publicado nuevos apuntes de 1º Cálculo: EPDS - CÁLCULO

EPD-1-Calculo.pdf
EPD-2-Calculo.pdf
EPD-3-Calculo.pdf
EPD-4-Calculo.pdf
EPD-5-Calculo.pdf
EPD-6-Calculo.pdf

apuntes

-

MATHEMATICA CALCULO

Ejercicios resueltos con la herramienta Wolfram Mathematica sobre ejercicios vistos en las prácticas, además contiene un resumen sobre lo más importante relacionado con la herramienta y la asignatura

MATHEMATICA-RESUMEN.pdf
CAL-Tarea2-MATHEMATICA.pdf
MATHEMATICA-EPD9.pdf
MATHEMATICA-EPD6.pdf
MATHEMATICA-EPD5.pdf
MATHEMATICA-EPD4.pdf

He publicado nuevos apuntes de 1º Cálculo: Tarea-4-22-23.pdf

11 páginas

He publicado nuevos apuntes de 1º Cálculo: Tarea-2-22-23.pdf

7 páginas

He publicado nuevos apuntes de 1º Cálculo: Tarea-3-22-23.pdf

15 páginas

Revisar ejercicios 6 y 7

6 páginas

He publicado nuevos apuntes de 1º Cálculo: Calculo.pdf

115 páginas

He publicado nuevos apuntes de 1º Cálculo: Calculo.pdf

5 páginas

He publicado nuevos apuntes de 1º Cálculo: Calculo.pdf

111 páginas

He publicado nuevos apuntes de 1º Cálculo: Resumen-Teoria-Examen-Calculo.pdf

9 páginas

He publicado nuevos apuntes de 1º Cálculo: Apuntes-Mathematica.pdf

3 páginas
Anónimo

@Anónimo

Para Vosotros Jugadores

7 páginas

apuntes

-

Tareas Hechas (2022-2023)

Las tareas no están de 10, pero os pueden servir para repasar algunos resultados y mejorar para el examen de tarea.

Tarea1.pdf
Tarea-2o.pdf
Tarea-3o.pdf
TAREA-4o-DE-CALCULO-sin-el-ejercicio-2.pdf
Tarea-5o.pdf
Tarea-6.pdf

He publicado nuevos apuntes de 1º Cálculo: TEORIA-CALCULO.pdf

16 páginas
Anónimo

@Anónimo

ejercicios

-

Tareas RESUELTAS

He publicado nuevos ejercicios de 1º Cálculo: Tareas RESUELTAS

Tarea1ENUNCIADO.pdf
Tarea1SOLUCION.pdf
Tarea2ENUNCIADO.pdf
Tarea2SOLUCIONES.pdf
Tarea3ENUNCIADO.pdf
Tarea3SOLUCION.pdf

apuntes

-

Tareas de calculo (hechas 2021-2022)

He publicado nuevos apuntes de 1º Cálculo: Tareas de calculo (hechas 2021-2022)

Tarea-5.pdf
Tarea-4.pdf
Tarea-2.pdf
Tarea-6.pdf
Tarea-3.pdf
Anónimo

@Anónimo

He publicado nuevos apuntes de 1º Cálculo: .pdf

9 páginas
Anónimo

@Anónimo

He publicado nuevos apuntes de 1º Cálculo: TAREA-4.pdf

17 páginas
Anónimo

@Anónimo

He publicado nuevos apuntes de 1º Cálculo: TAREA-3.pdf

12 páginas
Anónimo

@Anónimo

He publicado nuevos apuntes de 1º Cálculo: MATHEMATICA.pdf

4 páginas

trabajos

-

reina_lopez_victor_jesus_tarea1

He publicado nuevos trabajos de 1º Cálculo: reina_lopez_victor_jesus_tarea1

reinalopezvictorjesustarea1.pdf

He publicado nuevos apuntes de 1º Cálculo: Areas-volumenes-y-diferenciales.pdf

1 página

He publicado nuevos apuntes de 1º Cálculo: Mathematica.pdf

2 páginas

apuntes

-

Resúmenes por sesiones con ejemplos

He publicado nuevos apuntes de 1º Cálculo: Resúmenes por sesiones con ejemplos

Sesion10.pdf
Sesion6.pdf
Sesion9.pdf
Sesion4.pdf
Sesion1.pdf
Sesion3.pdf

He publicado nuevos apuntes de 1º Cálculo: Calculo-Megasheetcheat.pdf

6 páginas

He publicado nuevos apuntes de 1º Cálculo: EPD1.pdf

1 página

ejercicios

-

RESUELTAS Tareas 1 y 2 - 2020

He publicado nuevos ejercicios de 1º Cálculo: RESUELTAS Tareas 1 y 2 - 2020

RESUELTATarea12020.pdf

apuntes

-

Cálculo

He publicado nuevos apuntes de 1º Cálculo: Cálculo

Sesion-03.pdf
Sesion-04.pdf
Sesion-10.pdf
Sesion-08.pdf
Sesion-07.pdf
Sesion-01.pdf