chevron_left
chevron_right
Todo
Apuntes
Ejercicios
Exámenes
Otros
publication
Trabajos
chevron_left
chevron_right

Colección de ejercicios y exámenes resueltos de cálculo

44 páginas

He publicado nuevos apuntes de 1º Cálculo: Calculo-Tema-3.pdf

2 páginas

He publicado nuevos ejercicios de 1º Cálculo: Problemas-Entregables-Calculo.pdf

2 páginas

He publicado nuevos ejercicios de 1º Cálculo: Problemas-Entregables-2-Calculo.pdf

2 páginas

He publicado nuevos apuntes de 1º Cálculo: Differential-Calculus.pdf

16 páginas

He publicado nuevos apuntes de 1º Cálculo: The-Geometry-Of-The-Euclidean-Space.pdf

5 páginas

Exámenes Parciales de Cálculo (Temas 1, 2 y 3) resueltos // Contiene ejercicios extra de otros exámenes de los cuáles se desconocía la fecha

5 páginas

Apuntes del tema 2 con ejercicios resueltos

5 páginas

Apuntes del tema 1 con ejercicios resueltos

5 páginas

He publicado nuevos ejercicios de 1º Cálculo: Problemas-Tema-2.pdf

18 páginas

Teoría del Tema 6 de Cálculo

7 páginas

Teoría del Tema 4 de Cálculo

9 páginas

Teoría del Tema 5 de Cálculo

8 páginas

Teoría del Tema 3 de Cálculo

26 páginas

Teoría del Tema 2 de Cálculo

14 páginas

Teoría del Tema 1 de Cálculo

20 páginas

Problemas resueltos y corregidos del Tema 1 de Cálculo

17 páginas

Apuntes de teoría del Tema 1 de Cálculo

12 páginas

examenes

-

Exámenes Otros años

He publicado nuevos examenes de 1º Cálculo: Exámenes Otros años

FINALEXAMJULY12019FINALVERSIONwithsolutions.pdf
FINALEXAMMAY2019withsolutions.pdf
FINALEXAMMAY2024WITHSOLUTIONS.pdf
MOCKEXAM2024WITHSOLUTIONS.pdf
MockFinalexam2021withsolutions.pdf
MOCKFINALEXAMMAY2022withallsolutions.pdf

examenes

-

Recopilación de Examenes Con Solución

He publicado nuevos examenes de 1º Cálculo: Recopilación de Examenes Con Solución

Final-2024.pdf
Final-mayo.-2023.pdf
Parcial-2023.pdf
Parcial-2024.pdf

He publicado nuevos apuntes de 1º Cálculo: tema-6-integrales-sobre-curvas-y-superficies.pdf

4 páginas

He publicado nuevos ejercicios de 1º Cálculo: tema-5-integrales-multiples-problemas.pdf

3 páginas

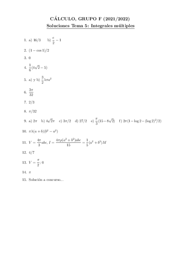
He publicado nuevos apuntes de 1º Cálculo: tema-5-integrales-multiples.pdf

3 páginas

He publicado nuevos ejercicios de 1º Cálculo: tema-4-extremos-de-funciones-escalares-problemas.pdf

3 páginas

He publicado nuevos apuntes de 1º Cálculo: tema-4-extremos-de-funciones-escalares.pdf

3 páginas

He publicado nuevos ejercicios de 1º Cálculo: tema-3-diferenciabilidad-de-funciones-escalares-problemas.pdf

4 páginas

He publicado nuevos apuntes de 1º Cálculo: tema-3-diferenciabilidad-de-funciones-escalares.pdf

5 páginas

He publicado nuevos ejercicios de 1º Cálculo: tema-2-funciones-escalares-limites-y-continuidad-problemas.pdf

1 página

He publicado nuevos apuntes de 1º Cálculo: tema-2-funciones-escalares-limites-y-continuidad.pdf

2 páginas

He publicado nuevos apuntes de 1º Cálculo: tema-1-introduccion-a-Rn-y-curvas-superficiales.pdf

2 páginas

ejercicios

-

EJERCICIOS CON SOLUCION T6

He publicado nuevos ejercicios de 1º Cálculo: EJERCICIOS CON SOLUCION T6

problemastema6.pdf
solucionestema6.pdf

ejercicios

-

EJERCICIOS CON SOLUCION T5

He publicado nuevos ejercicios de 1º Cálculo: EJERCICIOS CON SOLUCION T5

problemastema5.pdf
solucionestema5.pdf

ejercicios

-

EJERCICIOS CON SOLUCION T4

He publicado nuevos ejercicios de 1º Cálculo: EJERCICIOS CON SOLUCION T4

problemastema4.pdf

ejercicios

-

EJERCICIOS CON SOLUCION T3

He publicado nuevos ejercicios de 1º Cálculo: EJERCICIOS CON SOLUCION T3

problemastema3.pdf
solucionestema3.pdf

examenes

-

PARCIAL 2023 CON SOLUCION

He publicado nuevos examenes de 1º Cálculo: PARCIAL 2023 CON SOLUCION

e23parcial.pdf
solucionesparcial23calculo.pdf

examenes

-

PARCIAL 2024 CON SOLUCION

He publicado nuevos examenes de 1º Cálculo: PARCIAL 2024 CON SOLUCION

e24parcial.pdf
solucionesparcialcalculo23-24.pdf

He publicado nuevos examenes de 1º Cálculo: Examenes-resueltos-parciales..pdf

17 páginas

He publicado nuevos examenes de 1º Cálculo: Examenes-resueltos-globales..pdf

25 páginas

He publicado nuevos ejercicios de 1º Cálculo: Ej-Tema-6.-Integrales-de-superficie..pdf

8 páginas

He publicado nuevos ejercicios de 1º Cálculo: Ej-Tema-5.-Integrales-de-linea..pdf

9 páginas

He publicado nuevos ejercicios de 1º Cálculo: Ej-Tema-4.-Integrales-multiples..pdf

8 páginas

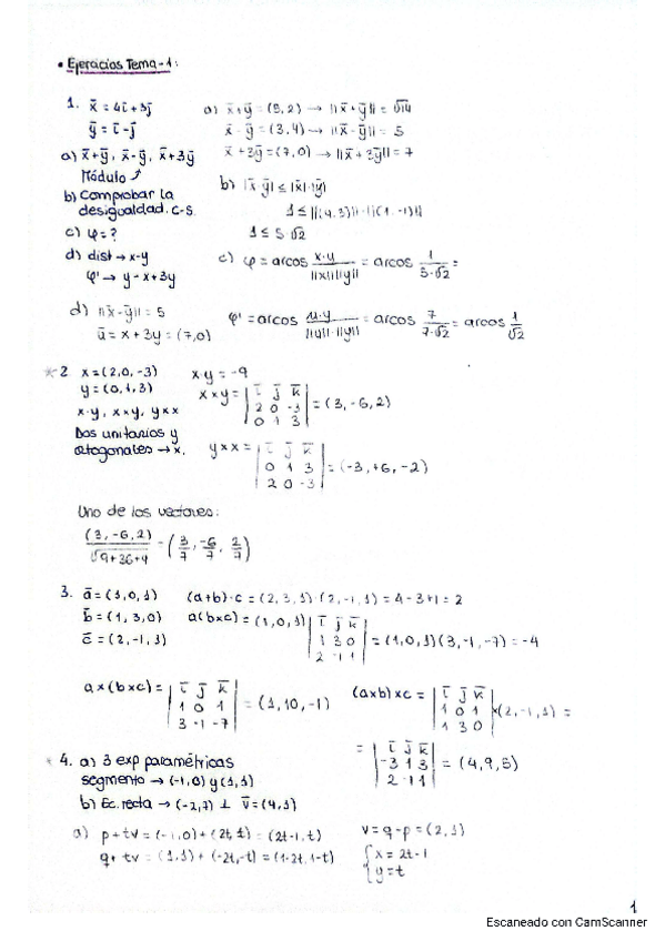
He publicado nuevos ejercicios de 1º Cálculo: Ej-Tema-2.-Calculo-diferencial..pdf

14 páginas

He publicado nuevos ejercicios de 1º Cálculo: Ej-Tema-1.-Conceptos-basicos..pdf

6 páginas

He publicado nuevos ejercicios de 1º Cálculo: Ej-Integrales..pdf

4 páginas

examenes

-

EXAMENES CON SOLUCIONES CALCULO

He publicado nuevos examenes de 1º Cálculo: EXAMENES CON SOLUCIONES CALCULO

e22parcialsol.pdf
e23parcial.pdf
e24parcial.pdf
solucionesparcial23calculo.pdf
solucionesparcialcalculo23-24.pdf

ejercicios

-

EJERCICIOS CON SOLUCIONES CALCULO

He publicado nuevos ejercicios de 1º Cálculo: EJERCICIOS CON SOLUCIONES CALCULO

problemastema3.pdf
solucionestema3.pdf
problemastema4.pdf
solucionestema4.pdf
problemastema5.pdf
solucionestema5.pdf

He publicado nuevos apuntes de 1º Cálculo: Tema-4-Integrales-dobles-y-triples.pdf

10 páginas

He publicado nuevos apuntes de 1º Cálculo: Tema-5-Integrales-de-curvas-y-superficie-1.pdf

11 páginas

He publicado nuevos apuntes de 1º Cálculo: Tema-2-Diferenciabilidad.pdf

21 páginas

He publicado nuevos apuntes de 1º Cálculo: Tema-3-Maximos-y-minimos.pdf

5 páginas

He publicado nuevos apuntes de 1º Cálculo: Tema-1-Geometria-euclidiana.pdf

9 páginas

He publicado nuevos apuntes de 1º Cálculo: Resumen-Calculo.pdf

10 páginas

Esquema de temas 1-6 de cálculo

2 páginas

ejercicios

-

ejercicios resueltos por temas

He publicado nuevos ejercicios de 1º Cálculo: ejercicios resueltos por temas

soluciones-ejercicios-integrales-de-campos.pdf
soluciones-ejercicios-integrales-multiples.pdf
soluciones-ejercicios-extremos-de-funciones.pdf
soluciones-ejercicios-diferenciabilidad.pdf

Resumen de toda la teoría de cálculo para el exámen final

14 páginas

Tema 6 Integrales de superficie (cálculo)

1 página

Apuntes resumidos tema 5 cálculo

2 páginas

Apuntes resumidos tema 4 cálculo

2 páginas

apuntes

-

apuntes por temas profesora cristina martínez

He publicado nuevos apuntes de 1º Cálculo: apuntes por temas profesora cristina martínez

tema-3-diferenciabilidad.pdf
tema-5-integrales-multiples.pdf
tema-4-extremos-de-funciones.pdf
tema-2-limites-y-continuidad.pdf
tema-1-curvas-y-superficies.pdf
Anónimo

@Anónimo

He publicado nuevos apuntes de 1º Cálculo: Resumen-tema-3.pdf

3 páginas