chevron_left
chevron_right
Todo
Apuntes
Ejercicios
Exámenes
Otros
PEC
Test
chevron_left
chevron_right

apuntes

-

TEMAS RESUMIDOS

He publicado nuevos apuntes de 1º Cálculo: TEMAS RESUMIDOS

T1-FUNCIONES-Y-GRAFICAS.pdf
T2-POLINOMIOS-DE-TAYLOR.pdf
T3-ECUACIONES-DIFERENCIALES-PRIMER-ORDEN.pdf
T4-APLICACIONES-DE-INTEGRAL.pdf
T5-CURVAS.pdf

examenes

-

EXAMENES RESUELTOS

He publicado nuevos examenes de 1º Cálculo: EXAMENES RESUELTOS

ENERO-2013-RESUELTO.pdf
ENERO-2014-RESUELTO.pdf
ENERO-2015-RESUELTO.pdf
SEPTIEMBRE-2013-RESUELTO.pdf
SEPTIEMBRE-2014-RESUELTO.pdf

He publicado nuevos examenes de 1º Cálculo: ENSAYO-EXAMEN-MAYO-2025.pdf

9 páginas

He publicado nuevos ejercicios de 1º Cálculo: EVALUACION-CONTINUA-II-SEMESTRE-2025.pdf

2 páginas

He publicado nuevos apuntes de 1º Cálculo: Resumen-Taylor-Teo-de-Rolle-&-Lagrange-Metodo-de-Newthon-Raphson-1er-Cuatri.pdf.pdf

2 páginas

He publicado nuevos apuntes de 1º Cálculo: Resumen-Estudio-de-Funciones-1er-Cuatri.pdf

2 páginas

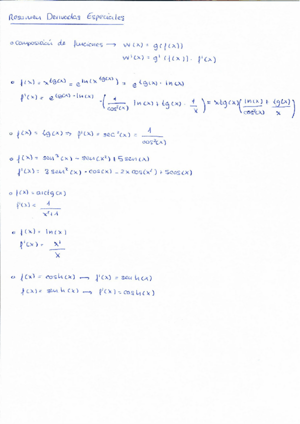
He publicado nuevos apuntes de 1º Cálculo: Resumen-Derivadas-Especiales-1er-Cuatri.pdf

1 página

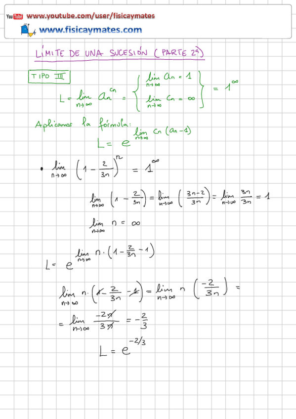
He publicado nuevos apuntes de 1º Cálculo: Resumen-Limites-1er-Cuatri.pdf

1 página

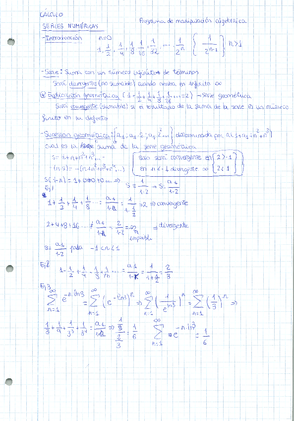
He publicado nuevos apuntes de 1º Cálculo: Resumen-Series-1er-Cuatri.pdf

2 páginas

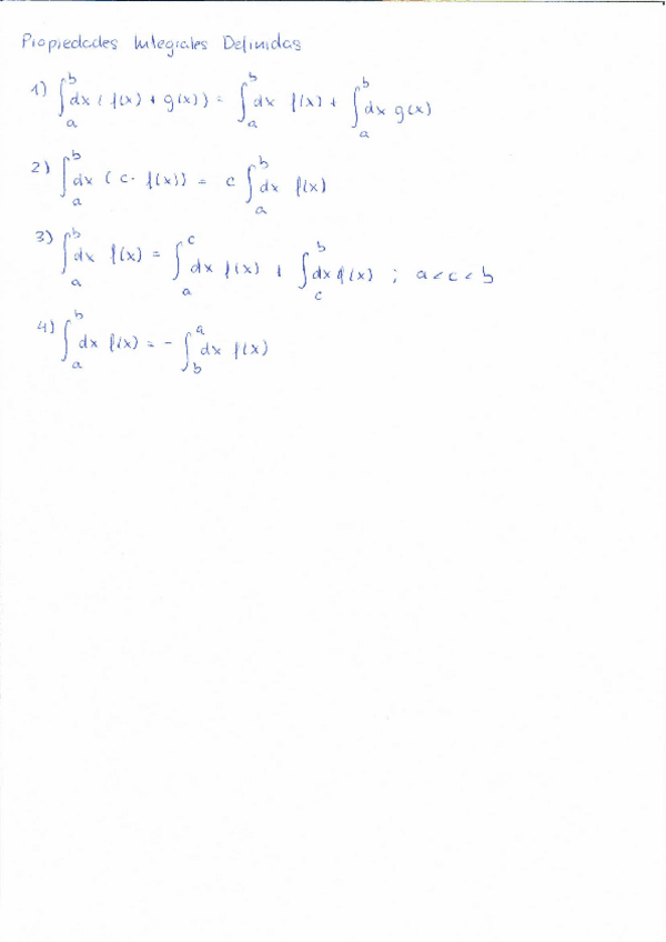
He publicado nuevos apuntes de 1º Cálculo: Resumen-Integrales-de-2-o-mas-Variables-2ndo-Cuatri.pdf

7 páginas

He publicado nuevos apuntes de 1º Cálculo: Resumen-Funciones-de-2-Variables-con-Vinculos.-Max-y-Min-2ndo-Cuatri.pdf

3 páginas

He publicado nuevos apuntes de 1º Cálculo: Resumen-Estudio-de-Funciones-de-2-Variables-2ndo-Cuatri.pdf

5 páginas

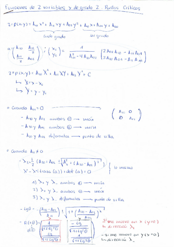
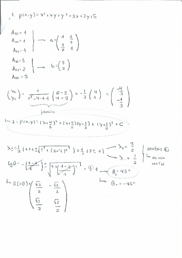
He publicado nuevos apuntes de 1º Cálculo: Resumen-de-Funciones-de-2-Variables-y-de-Grado-2.-Puntos-Criticos-2ndo-Cuatri.pdf

3 páginas

He publicado nuevos apuntes de 1º Cálculo: Resumen-Limites-de-2-Variables-2ndo-Cuatri.pdf

1 página

He publicado nuevos apuntes de 1º Cálculo: Resumen-Trayectoria-2ndo-Cuatri.pdf

4 páginas

He publicado nuevos apuntes de 1º Cálculo: Resumen-Integrales-2ndo-Cuatri.pdf

4 páginas

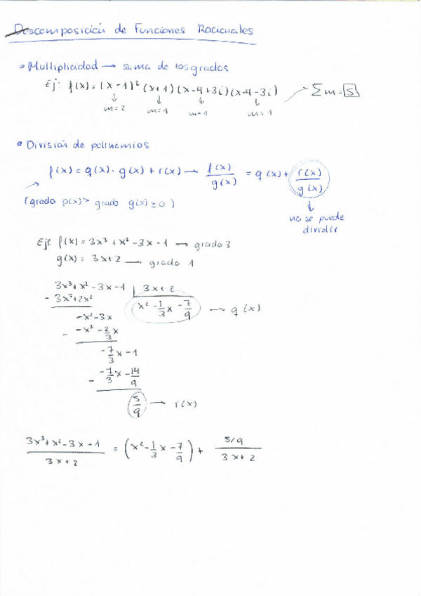
He publicado nuevos apuntes de 1º Cálculo: Resumen-Descomposicion-de-Funciones-Racionales-2ndo-Cuatri.pdf

6 páginas

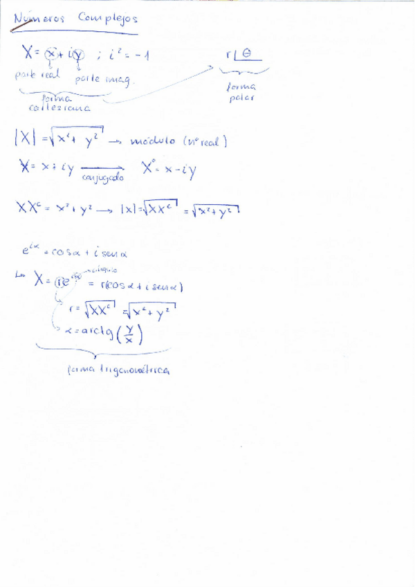
He publicado nuevos apuntes de 1º Cálculo: Resumen-Numeros-Complejos-2ndo-Cuatri.pdf

4 páginas

He publicado nuevos apuntes de 1º Cálculo: Integrales-dobles.pdf

3 páginas

He publicado nuevos apuntes de 1º Cálculo: Limites-funciones-de-dos-variables.pdf

3 páginas

He publicado nuevos apuntes de 1º Cálculo: Apuntes-maximos-minimos-y-silla-Calculo.pdf

3 páginas

He publicado nuevos ejercicios de 1º Cálculo: ENTREGABLE-2DO-CUATRI.pdf

6 páginas

Formulario muy resumido con lo basico para ir al examen final y resolver los entregables del 2do cuatri

4 páginas

No estan hechas todas las derivadas, ya que para el ejercicio solo nos pedian las señaladas en rojo, aunque hay algunas más hechas

5 páginas

He publicado nuevos ejercicios de 1º Cálculo: ENTREGABLE-1ER-CUATRI.pdf

14 páginas

He publicado nuevos ejercicios de 1º Cálculo: ENSAYO-INTEGRALES-Y-COMPLEJOS.pdf

1 página

He publicado nuevos ejercicios de 1º Cálculo: ENTREGABLE-INTEGRALES.pdf

10 páginas

Ensayo del segundo trimestre resuelto

7 páginas

He publicado nuevos test de 1º Cálculo: Soluciones-Evaluacion-Continua-II-Calculo.pdf

2 páginas

apuntes

-

Calculus Fest

He publicado nuevos apuntes de 1º Cálculo: Calculus Fest

Calculus-fesf-1erCuatri.pdf
Apuntes-varios-Calculo.pdf

examenes

-

Ensayos Examen

He publicado nuevos examenes de 1º Cálculo: Ensayos Examen

Ensayo-Examen-20-mar-3.pdf
Ensayo-Examen-2024.pdf
Miniatura no disponible
Ensayo-Examen-I-2024.pdf
Miniatura no disponible
Ensayo-Examen-1erCuatri.pdf
Enunciados-Ensayo-Examen-23.pdf

ejercicios

-

Ejercicios

He publicado nuevos ejercicios de 1º Cálculo: Ejercicios

Ejercicios-29-abril.pdf
Lista-ejercicios-Septiembre.pdf
Miniatura no disponible
Ejercicios-Febrero.pdf
Lista-ejercicios-Febrero.pdf

He publicado nuevos ejercicios de 1º Cálculo: Ensayo-integrales-de-area-correccion.pdf

2 páginas

examenes

-

Exámenes 1er semestre

He publicado nuevos examenes de 1º Cálculo: Exámenes 1er semestre

Examen-Prueba-2-De-Noviembre.pdf
Examen-Prueba-15-Diciembre.pdf

He publicado nuevos apuntes de 1º Cálculo: Resumen-Funciones-Integrales-y-Taylor.pdf

2 páginas

He publicado nuevos apuntes de 1º Cálculo: Series-Resumen.pdf

1 página

He publicado nuevos apuntes de 1º Cálculo: Manual-de-formulas-y-tablas.pdf

281 páginas

He publicado nuevos apuntes de 1º Cálculo: 12-de-sept.-2023.pdf

3 páginas

He publicado nuevos apuntes de 1º Cálculo: 07-de-sept.-2023.pdf

3 páginas
Anónimo

@Anónimo

He publicado nuevos apuntes de 1º Cálculo: 05-de-sept.-2023.pdf

3 páginas

apuntes

-

Apuntes Cálculo

He publicado nuevos apuntes de 1º Cálculo: Apuntes Cálculo

Apuntes-Calculo-Tema-4.pdf
Apuntes-Calculo-Tema-5.pdf
Apuntes-Calculo-Tema-3.pdf
Apuntes-Calculo-Tema-1-y-2.pdf

He publicado nuevos pec de 1º Cálculo: Entregable-Calculo-2-Cuatri.pdf

5 páginas

apuntes

-

Apuntes Cálculo Segundo Cuatri

He publicado nuevos apuntes de 1º Cálculo: Apuntes Cálculo Segundo Cuatri

Calculo-Vectorial.pdf
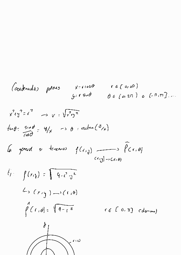
Cambio-de-coordenadas-limites-y-continuidad.pdf
Derivadas-direccionales-Tema-Derivadas.pdf
Ejs-ultima-clase.pdf
Funciones-de-2-Variables.pdf
Funciones-de-3-o-mas-Variables.pdf

He publicado nuevos otros de 1º Cálculo: GUIA-DOCENTE-Calculo.pdf

4 páginas

apuntes

-

Exámenes y test

He publicado nuevos apuntes de 1º Cálculo: Exámenes y test

calculoIECNov2018.pdf
calculoIECFeb2018.pdf
Anónimo

@Anónimo

He publicado nuevos examenes de 1º Cálculo: sol-exJul2022.pdf

6 páginas

He publicado nuevos apuntes de 1º Cálculo: Numeros-complejos-apuntes-de-clase.pdf

10 páginas

apuntes

-

Tema 1

He publicado nuevos apuntes de 1º Cálculo: Tema 1

1.pdf
1.pdf
Anónimo

@Anónimo

examenes

-

Exámenes

He publicado nuevos examenes de 1º Cálculo: Exámenes

sol-exParDec2019.pdf
sol-exJan2020.pdf

He publicado nuevos apuntes de 1º Cálculo: Calculo-2019.pdf

72 páginas

apuntes

-

Resúmenes

He publicado nuevos apuntes de 1º Cálculo: Resúmenes

calcI-2015-16-infapuntes-series.pdf
AnalisisIV.pdf
varcomI2018-19apuntes-series-de-potencias.pdf
varcomI2018-19apuntessucesiones-series.pdf
seriesnumericas.pdf
calcI-2014-15-inf-apuntes-series.pdf

otros

-

Libros

He publicado nuevos otros de 1º Cálculo: Libros

spivak.pdf
M.pdf
perez-calculo1.pdf
pepe-aranda.pdf

otros

-

James Stewart con soluciones

He publicado nuevos otros de 1º Cálculo: James Stewart con soluciones

1.pdf
3.pdf
3.pdf
3.pdf
2.pdf
4.pdf

examenes

-

Examenes

He publicado nuevos examenes de 1º Cálculo: Examenes

Calculo-Ing.pdf
Calculo-Ing.pdf
Calculo-Ing.pdf

Todo lo necesario para poder entender la asignatura

46 páginas

examenes

-

Examenes Resueltos 2013 a 2015

He publicado nuevos examenes de 1º Cálculo: Examenes Resueltos 2013 a 2015

1SEP14.pdf
2SEP13.pdf
29ENE14.pdf
29ENE15.pdf
30ENE13.pdf
¡Estás al día!

¡Estás al día!

Has visto todos los archivos