chevron_left
chevron_right
Todo
Apuntes
Ejercicios
Exámenes
chevron_left
chevron_right

examenes

-

Cálculo. Exámenes RESUELTOS✅

He publicado nuevos examenes de 1º Cálculo: Cálculo. Exámenes RESUELTOS✅

Calculo Parcial 2021-2022.pdf
Calculo Final 2021-2022.pdf
Calculo. Mayo 2016-2017.pdf
Calculo. Parcial 2 2016-2017.pdf
Calculo. Parcial 1 2016-2017.pdf
Calculo. Junio 2015-2016.pdf

ejercicios

-

ENTREGAS

He publicado nuevos ejercicios de 1º Cálculo: ENTREGAS

JIMENEZCHILLON-ENTREGA1.pdf
JIMENEZCHILLON-ENTREGA2.pdf
JIMENEZCHILLON-ENTREGA3.pdf
JIMENEZCHILLON-ENTREGA4.pdf
JIMENEZ-CHILLON-ENTREGA-5.pdf
JIMENEZ-CHILLON-ENTREGA-6.pdf

apuntes

-

Cálculo

He publicado nuevos apuntes de 1º Cálculo: Cálculo

TEMA-1-LOS-NUMEROS-REALES.pdf
TEMA-6-INTEGRACION.pdf
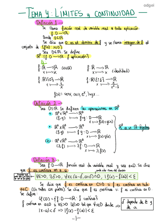
TEMA-4-LIMITES-Y-CONTINUIDAD.pdf
TEMA-2-SUCESIONES.pdf
RESUMEN-LIMITES.pdf
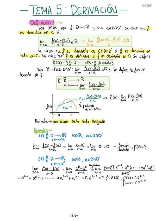
TEMA-5-DERIVABILIDAD.pdf

He publicado nuevos ejercicios de 1º Cálculo: ejscalculo.pdf

65 páginas
¡Estás al día!

¡Estás al día!

Has visto todos los archivos