Todo
Apuntes
chevron_left
chevron_right

Apuntes tema 0 cálculo (Conocimientos previos)

6 páginas

He publicado nuevos apuntes de 1º Cálculo: Intercuatrimestral-Calculo-I-Octubre-2012.pdf

2 páginas

apuntes

-

Todos los apuntes

He publicado nuevos apuntes de 1º Cálculo: Todos los apuntes

Tema-4-Sucesiones.pdf
Tema-10-Extremos-de-funciones-de-varias-variables-2022-03-04-075803.pdf
Tema-8-Derivadas-parciales-.pdf
Miniatura no disponible
Tema-12-Integral-de-linea-.pdf
Miniatura no disponible
Tema-11-integrales-multiples.pdf
Miniatura no disponible
Tema-9-Funciones-compuestas-e-implicitas.pdf

apuntes

-

Hojas B tema 9

He publicado nuevos apuntes de 1º Cálculo: Hojas B tema 9

Hojas-B.pdf
Anónimo

@Anónimo

apuntes

-

Apuntes Cálculo y hojas B

He publicado nuevos apuntes de 1º Cálculo: Apuntes Cálculo y hojas B

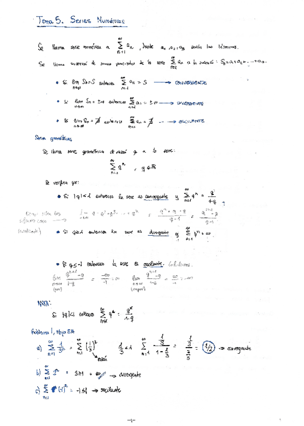
Tema-5-Series-de-Numeros-reales.pdf
Tema-9-Funciones-compuestas-e-implicitas.pdf
Tema-10-Extremos-de-una-funcion-escalar.pdf
Tema-7-Funciones-de-varias-variables.pdf
Tema-1-Limites-y-Continuidad.pdf
Tema-8-Derivadas-parciales-y-direccionales.pdf
¡Estás al día!

¡Estás al día!

Has visto todos los archivos