Cálculo
Temario completo esquematizado de cálculo (cálculo multivariable y EDOs)
He publicado nuevos apuntes de 1º Cálculo: PolinomioTaylorApuntesejer.pdf
He publicado nuevos apuntes de 1º Cálculo: DerivadasDireccionalesApuntesejer.pdf
Esquemas de funciones de varias variables y de derivadas parciales de primer y segundo orden :)
¡PREPARA EL FINAL CON NOSOTROS! más de 200 alumnos ya lo hicieron por curso y ahora están disfrutando de las vacaciones de verano Curso impartido por Esther M.
ejercicios
-
Hojas Ejercicios Solucionadas Cálculo
He publicado nuevos ejercicios de 1º Cálculo: Hojas Ejercicios Solucionadas Cálculo
ejercicios
-
EJERCICIOS Y SOLUCIONES CÁLCULO 2022-2023
He publicado nuevos ejercicios de 1º Cálculo: EJERCICIOS Y SOLUCIONES CÁLCULO 2022-2023
He publicado nuevos examenes de 1º Cálculo: ARCOAULA-P2-2024-TURNO MAÑANA A.pdf
He publicado nuevos apuntes de 1º Cálculo: Calculo-Segundo-Parcial.-Ecuaciones-diferenciales.pdf
He publicado nuevos examenes de 1º Cálculo: ARCOAULA-P2-2024-TURNO-MANANA-B.pdf
He publicado nuevos apuntes de 1º Cálculo: TEORIA-DE-CALCULO-Y-EJERCICIOS.pdf
He publicado nuevos ejercicios de 1º Cálculo: Dominio-cilindrico.pdf
He publicado nuevos ejercicios de 1º Cálculo: Trayectorias-Ortogonales.pdf
He publicado nuevos ejercicios de 1º Cálculo: Dominio-Cilindrico.pdf
He publicado nuevos ejercicios de 1º Cálculo: Extremos-Condicionados.pdf
He publicado nuevos apuntes de 1º Cálculo: Calculo.-Integrales-dobles-y-triples.-Explicadas-paso-a-paso.pdf
apuntes
-
Apuntes cálculo con ejercicios
He publicado nuevos apuntes de 1º Cálculo: Apuntes cálculo con ejercicios
He publicado nuevos apuntes de 1º Cálculo: Apuntes-Calculo-Explicados.-Tema-1-y-2.-Funciones-de-varias-variables-y-derivacion..pdf
He publicado nuevos apuntes de 1º Cálculo: Calculo.-Tema-1.-Dominio-Limites-y-Continuidad.pdf
apuntes
-
Curso Completo
He publicado nuevos apuntes de 1º Cálculo: Curso Completo
apuntes
-
EXAMENES
He publicado nuevos apuntes de 1º Cálculo: EXAMENES
ejercicios
-
DERIVADAS Y FUNCIONES
He publicado nuevos ejercicios de 1º Cálculo: DERIVADAS Y FUNCIONES
apuntes
-
DERIVADAS Y FUNCIONES
He publicado nuevos apuntes de 1º Cálculo: DERIVADAS Y FUNCIONES
examenes
-
EXÁMENES
He publicado nuevos examenes de 1º Cálculo: EXÁMENES
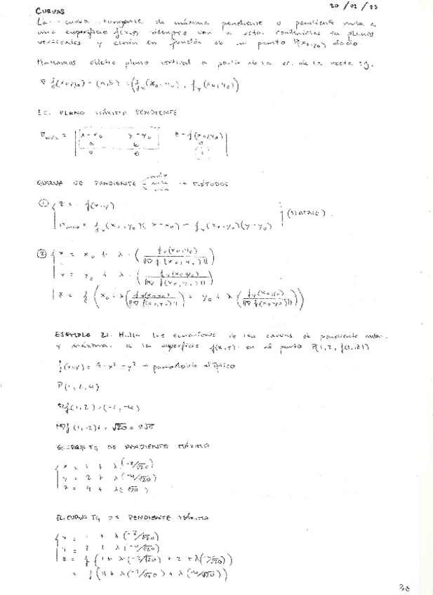
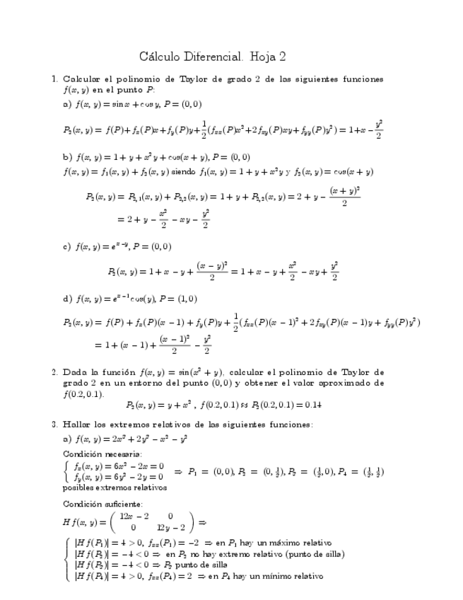
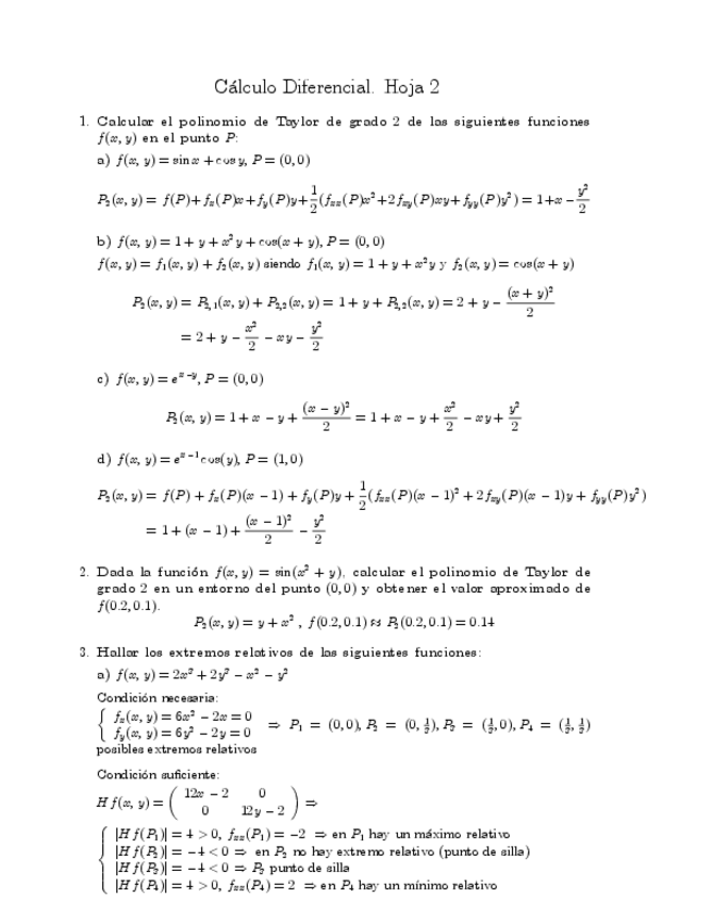
He publicado nuevos ejercicios de 1º Cálculo: Hoja-de-Ejercicios-1-CD2023.pdf
He publicado nuevos ejercicios de 1º Cálculo: Soluciones-Hoja-2-CD.pdf
He publicado nuevos ejercicios de 1º Cálculo: Soluciones-Hoja-1-CD.pdf
He publicado nuevos apuntes de 1º Cálculo: Repaso-derivadas-parciales-23-SOL.pdf
He publicado nuevos ejercicios de 1º Cálculo: Hoja-de-Ejercicios-2-CD2023.pdf
He publicado nuevos apuntes de 1º Cálculo: REPASO-DE-FUNCIONES-DE-UNA-VARIABLE.pdf
RESUELTO PASO A PASO POR ARCOAULA
He publicado nuevos apuntes de 1º Cálculo: Bloque-2-ecuaciones-diferenciales.pdf
He publicado nuevos apuntes de 1º Cálculo: integrales-multiples-y-volumenes.pdf
He publicado nuevos apuntes de 1º Cálculo: ecuaciones-diferenciales.pdf
He publicado nuevos apuntes de 1º Cálculo: funciones-de-varias-variables-y-extremos.pdf
apuntes
-
Cálculo
He publicado nuevos apuntes de 1º Cálculo: Cálculo
apuntes completos de integrales, todo lo que entra en el segundo parcial
He publicado nuevos examenes de 1º Cálculo: Todos-los-examenes-de-calculo-2018-2022-con-soluciones.pdf
He publicado nuevos ejercicios de 1º Cálculo: Ejercicios-resueltos-integrales-dobles.pdf
apuntes
-
Apuntes cálculo por semanas
He publicado nuevos apuntes de 1º Cálculo: Apuntes cálculo por semanas
