chevron_left
chevron_right
Todo
Apuntes
Ejercicios
Exámenes
Prácticas
chevron_left
chevron_right

Resumen muy útil para el primer parcial

6 páginas

practicas

-

Prácticas Derive 6

He publicado nuevos practicas de 1º Cálculo: Prácticas Derive 6

Ejercicios-Practica-3.pdf
Guion-Practica-1.pdf
Guion-Practica-2.pdf
Guion-Practica-3.pdf
Libro-Derive-5-Analisis-Matematico.pdf
Modelo-Examen-Sept24.pdf

He publicado nuevos examenes de 1º Cálculo: Examen-Sep-2020.pdf

3 páginas

He publicado nuevos examenes de 1º Cálculo: Examen-Sep-2019.pdf

3 páginas

He publicado nuevos examenes de 1º Cálculo: Examen-Sep-2017.pdf

4 páginas

He publicado nuevos examenes de 1º Cálculo: Examen-Sep-2015.pdf

3 páginas

He publicado nuevos ejercicios de 1º Cálculo: Ejercicios-de-examenes.pdf

30 páginas

He publicado nuevos apuntes de 1º Cálculo: Apuntes-clase.pdf

14 páginas

LIBRO DE DONDE SACA LOS EJERCICIOS DEL EXAMEN

41 páginas
Anónimo

@Anónimo

He publicado nuevos apuntes de 1º Cálculo: Calculo.pdf

3 páginas
Anónimo

@Anónimo

He publicado nuevos apuntes de 1º Cálculo: ExCalculoParcial20Soluciones.pdf

7 páginas
Anónimo

@Anónimo

He publicado nuevos apuntes de 1º Cálculo: PECCalculoDic18IEAIIEITTSolX.pdf

5 páginas
Anónimo

@Anónimo

He publicado nuevos apuntes de 1º Cálculo: PECCalculoDic18IEAIIEITT.pdf

5 páginas
Anónimo

@Anónimo

He publicado nuevos apuntes de 1º Cálculo: PECCalculo9-Dic19IEAIIEITTSoluciones.pdf

5 páginas
Anónimo

@Anónimo

He publicado nuevos apuntes de 1º Cálculo: PECCalculo9-Dic19IEAIIEITTEnunciados.pdf

5 páginas
Anónimo

@Anónimo

He publicado nuevos apuntes de 1º Cálculo: ExFinalCalculoFeb21solucionesVF.pdf

21 páginas
Anónimo

@Anónimo

He publicado nuevos apuntes de 1º Cálculo: ExFinalCalculoFeb21.pdf

12 páginas
Anónimo

@Anónimo

apuntes

-

Transparencias

He publicado nuevos apuntes de 1º Cálculo: Transparencias

Transparencias-Temas-11-1219-12-2020sin-pausas.pdf
Transparencias-tema-619-11-2020sin-pausas.pdf
Transparencias-Tema-302-10-2020sin-pausas.pdf
Transparencias-Tema-915-12-2020sin-pausas.pdf
Transparencias-Tema-423-10-2020sin-pausas.pdf
Transparencias-Tema-812-12-2020sin-pausas.pdf
Anónimo

@Anónimo

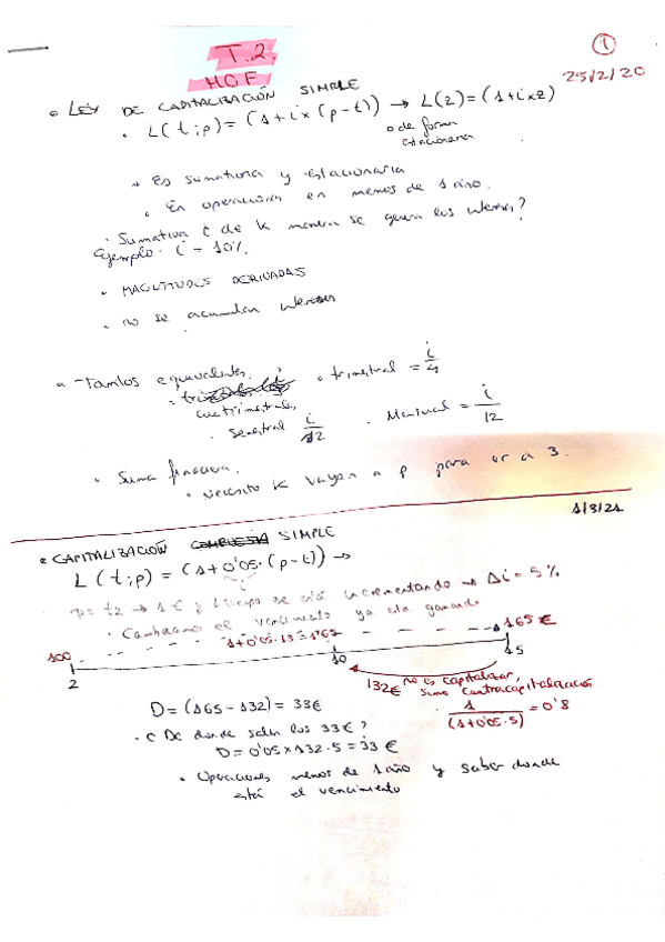
He publicado nuevos apuntes de 1º Cálculo: mof-carpesanocompressed-19.pdf

1 página
Anónimo

@Anónimo

He publicado nuevos apuntes de 1º Cálculo: mof-carpesanocompressed-18.pdf

1 página
Anónimo

@Anónimo

He publicado nuevos apuntes de 1º Cálculo: mof-carpesanocompressed-17.pdf

1 página
Anónimo

@Anónimo

He publicado nuevos apuntes de 1º Cálculo: mof-carpesanocompressed-16.pdf

1 página
Anónimo

@Anónimo

He publicado nuevos apuntes de 1º Cálculo: mof-carpesanocompressed-15.pdf

1 página
Anónimo

@Anónimo

He publicado nuevos apuntes de 1º Cálculo: mof-carpesanocompressed-14.pdf

1 página
Anónimo

@Anónimo

He publicado nuevos apuntes de 1º Cálculo: mof-carpesanocompressed-13.pdf

1 página
Anónimo

@Anónimo

He publicado nuevos apuntes de 1º Cálculo: mof-carpesanocompressed-12.pdf

1 página
Anónimo

@Anónimo

He publicado nuevos apuntes de 1º Cálculo: mof-carpesanocompressed-11.pdf

1 página
Anónimo

@Anónimo

He publicado nuevos apuntes de 1º Cálculo: mof-carpesanocompressed-9.pdf

1 página
Anónimo

@Anónimo

He publicado nuevos apuntes de 1º Cálculo: mof-carpesanocompressed-10.pdf

1 página
Anónimo

@Anónimo

He publicado nuevos apuntes de 1º Cálculo: mof-carpesanocompressed-8.pdf

1 página
Anónimo

@Anónimo

He publicado nuevos apuntes de 1º Cálculo: mof-carpesanocompressed-6.pdf

1 página
Anónimo

@Anónimo

He publicado nuevos apuntes de 1º Cálculo: mof-carpesanocompressed-7.pdf

1 página
Anónimo

@Anónimo

He publicado nuevos apuntes de 1º Cálculo: mof-carpesanocompressed-5.pdf

1 página
Anónimo

@Anónimo

He publicado nuevos apuntes de 1º Cálculo: mof-carpesanocompressed-4.pdf

1 página
Anónimo

@Anónimo

He publicado nuevos apuntes de 1º Cálculo: mof-carpesanocompressed-3.pdf

1 página
Anónimo

@Anónimo

He publicado nuevos apuntes de 1º Cálculo: mof-carpesanocompressed-2.pdf

1 página
Anónimo

@Anónimo

He publicado nuevos apuntes de 1º Cálculo: mof-carpesanocompressed-1.pdf

1 página
Anónimo

@Anónimo

He publicado nuevos apuntes de 1º Cálculo: mof-carpesanocompressed-20.pdf

1 página
Anónimo

@Anónimo

He publicado nuevos apuntes de 1º Cálculo: mof-ejerc-lapiz-39.pdf

1 página
Anónimo

@Anónimo

He publicado nuevos apuntes de 1º Cálculo: mof-ejerc-lapiz-38.pdf

1 página
Anónimo

@Anónimo

He publicado nuevos apuntes de 1º Cálculo: mof-ejerc-lapiz-37.pdf

1 página
Anónimo

@Anónimo

He publicado nuevos apuntes de 1º Cálculo: mof-ejerc-lapiz-36.pdf

1 página
Anónimo

@Anónimo

He publicado nuevos apuntes de 1º Cálculo: mof-ejerc-lapiz-35.pdf

1 página
Anónimo

@Anónimo

He publicado nuevos apuntes de 1º Cálculo: mof-ejerc-lapiz-34.pdf

1 página
Anónimo

@Anónimo

He publicado nuevos apuntes de 1º Cálculo: mof-ejerc-lapiz-33.pdf

1 página
Anónimo

@Anónimo

He publicado nuevos apuntes de 1º Cálculo: mof-ejerc-lapiz-31.pdf

1 página
Anónimo

@Anónimo

He publicado nuevos apuntes de 1º Cálculo: mof-ejerc-lapiz-32.pdf

1 página
Anónimo

@Anónimo

He publicado nuevos apuntes de 1º Cálculo: mof-ejerc-lapiz-40.pdf

1 página
Anónimo

@Anónimo

He publicado nuevos apuntes de 1º Cálculo: mof-ejerc-lapiz-29.pdf

1 página
Anónimo

@Anónimo

He publicado nuevos apuntes de 1º Cálculo: mof-ejerc-lapiz-27.pdf

1 página
Anónimo

@Anónimo

He publicado nuevos apuntes de 1º Cálculo: mof-ejerc-lapiz-28.pdf

1 página
Anónimo

@Anónimo

He publicado nuevos apuntes de 1º Cálculo: mof-ejerc-lapiz-26.pdf

1 página
Anónimo

@Anónimo

He publicado nuevos apuntes de 1º Cálculo: mof-ejerc-lapiz-25.pdf

1 página
Anónimo

@Anónimo

He publicado nuevos apuntes de 1º Cálculo: mof-ejerc-lapiz-24.pdf

1 página
Anónimo

@Anónimo

He publicado nuevos apuntes de 1º Cálculo: mof-ejerc-lapiz-23.pdf

1 página
Anónimo

@Anónimo

He publicado nuevos apuntes de 1º Cálculo: mof-ejerc-lapiz-22.pdf

1 página
Anónimo

@Anónimo

He publicado nuevos apuntes de 1º Cálculo: mof-ejerc-lapiz-21.pdf

1 página
Anónimo

@Anónimo

He publicado nuevos apuntes de 1º Cálculo: mof-ejerc-lapiz-30.pdf

1 página
Anónimo

@Anónimo

He publicado nuevos apuntes de 1º Cálculo: mof-ejerc-lapiz-19.pdf

1 página
Anónimo

@Anónimo

He publicado nuevos apuntes de 1º Cálculo: mof-ejerc-lapiz-18.pdf

1 página